CONTENIDO
Prólogo
1 Para los ratos libres
2 Para los jóvenes físicos
3 Una hoja de periódico
4 Otros 75 problemas y experimentos
5 Ilusiones ópticas
6 Distribuciones y transposiciones difíciles
7 Cortes y cosidos hábiles
8 Problemas con cuadrados
9 Problemas acerca del trabajo
10 Problemas acerca de compras y precios
11 El peso y la pesada
12 Problemas acerca de relojes
13 Problemas acerca de los medios de transporte
14 Cálculos inesperados
15 Situaciones embarazosas
16 Problemas de los "Viajes de Gulliver"
17 Cuentos acerca de números enormes
18 Acertijos numéricos
19 Aritmética divertida
20 Sabe usted contar
21 Cálculos rápidos
22 Cuadrados mágicos
23 Juegos y trucos aritméticos
24 De un trazo
25 Acertijos geométricos
26 Sin regla graduada
27 Trucos y pasatiempos fáciles

Bajar documento Parte 1 Bajar documento Parte 2 Bajar documento Parte 3 Bajar documento Parte 4 Bajar documento Parte 5 Bajar documento Parte 6 Bajar documento Parte 7 Bajar documento Parte 8


Capítulo 23

JUEGOS Y TRUCOS ARITMETICOS

El dominó
  1. Una cadena de 28 fichas
    Por qué las 28 fichas del dominó se pueden colocar, cumpliendo las reglas del juego, en una cadena continua?
    Solución

  2. El principio y el fin de la cadena
    Cuando las 28 fichas del dominó se colocaron formando cadena, en uno de los extremos de ésta resultó haber 5 puntos.
    ¿Cuántos puntos había en el otro extremo?
    Solución

  3. Un truco con el dominó
    Un camarada suyo coge una de las fichas del dominó y le propone a usted que, con las 27 restantes, forme una cadena. continua, afirmando que esto siempre es
    posible, cualquiera que sea la ficha quitada. 1,.1 se va a otra habitación para no ver la cadena que usted hace. `
    Usted empieza su tarea y se convence de que el camarada tenía razón: con las 27 fichas puede formar una cadena. Pero su sorpresa es aún mayor cuando su camarada, sin salir de la habitación contigua y sin ver la cadena que usted ha hecho, le dice desde allí, el número de. puntos que hay en sus extremos.
    ¿Cómo puede saberlos Y, por qué está seguro de que con 27 fichas cualesquiera del dominó se puede formar una cadena continua?
    Solución

  4. El cuadrado
    La fig. 269 representa un cuadrado formado con las fichas del dominó, cumpliendo las reglas del juego. Los lados de este cuadrado tienen la misma longitud, pero las sumas de los puntos que hay en ellos son distintos: la fila superior y la columna de la izquierda contienen cada una 44 puntos, las otras dos, una 59 y la otra 32.
    Figura 269

    ¿ Podría usted hacer un cuadrado de este tipo en el cual todos los lados contengan igual número de puntos, es decir, 44 ?
    Solución

  5. Los siete cuadrados
    Cuatro fichas de dominó pueden elegirse de tal modo que con ellas pueda hacerse un cuadrado, en el que cada uno de los lados contenga la misma suma de puntos. Una muestra puede verse en la fig. 270: sumando los puntos que hay en cada lado del cuadrado, se obtiene 11 en todos los casos.
    Figura 270

    Disponiendo de un juego de dominó completo, ¿podría usted hacer, al mismo tiempo, siete cuadrados de este tipo? No se exige que la suma de los puntos de un lado sea la misma en todos los cuadrados. Lo único que hace falta es que cada cuadrado tenga en sus cuatro lados el mismo número de puntos.
    Solución

  6. Cuadrados mágicos hechos con el dominó
    La fig. 271 muestra un cuadrado de 18 fichas de dominó que llama la atención, porque la suma de los puntos de cualquiera de sus filas, columnas o diagonales es la misma: 73. Los cuadrados de este tipo se llaman mágicos desde muy antiguo. Le proponemos a usted que haga con fichas de dominó varios cuadrados mágicos de a 18 fichas, pero cuyas filas, columnas y diagonales de otra suma de puntos. 13 es la suma mínima que pueden dar las filas de un cuadrado mágico formado con 18 fichas.
    La suma máxima es 23.
    Figura 271

    Solución

  7. Una progresión de fichas de dominó
    En la fig. 272 pueden verse seis fichas de dominó, colocadas según las reglas del juego, que se distinguen entre sí en que el número de puntos de las fichas (es decir, de las dos mitades de cada ficha) aumenta sucesivamente en una unidad: la serie comienza en el 4 y consta de los números de puntos siguientes: 4; 5; 6; 7; 8; 9.
    Figura 272

    Una serie de números que aumentan (o disminuyen) sucesivamente en una misma cantidad, se llama «progresión aritmética». En nuestra serie cada número es mayor que el precedente en una unidad; pero en una progresión, la diferencia existente entre sus números puede ser cualquiera otra.
    El problema consiste en componer varias progresiones más, con seis fichas cada una.
    Solución

  8. «El juego de las 15» o «taquin»
    La popular cajita con 15 fichas cuadradas, numeradas, tiene una historia interesante, que pocos de los jugadores sospechan. La referiremos con las palabras del matemático alemán, investigador de este juego, W. Arens.
    «Hace cerca de medio siglo -a finales de los años 70 del siglo pasado- apareció en los Estados Unidos el «juego de las 15»; se propagó rápidamente y, debido al incalculable número de jugadores asiduos que atrajo, se convirtió en una verdadera calamidad social.
    Lo mismo ocurrió por este lado del océano, en Europa. Aquí podían verse las cajitas con las 15 fichas incluso en manos de los pasajeros de los tranvías de caballos. Los dueños de oficinas y tiendas, desesperados por la afición de sus empleados a este juego, se vieron obligados a prohibirlo durante las horas laborales. Los propietarios de establecimientos de diversión aprovechaban esta manía para organizar grandes concursos. Este juego penetró hasta en las salas solemnes del reichstag alemán. «Como si fuera ahora veo en el reichstag a señores honorables mirando atentamente las cajitas cuadradas que tenían en sus manos» -recuerda el conocido geógrafo y matemático S. Günther, que era diputado durante los años de la epidemia del juego.
    En París este juego halló acogida al cielo raso, en los bulevares, y pronto se propagó de la capital a todas las provincias. «No había ni una sola casita de campo en donde no anidara esta araña, esperando una víctima propensa a caer en sus redes» -escribía un autor francés.
    En el año 1880 llegó, por lo visto, la fiebre del juego a su punto culminante. Pero poco después de esto, el tirano era derribado y vencido por las armas de las matemáticas. La teoría matemática del juego descubrió que de los numerosísimos problemas que pueden proponerse, sólo tienen solución la mitad; la otra mitad es imposible de resolver, cualesquiera que sean los procedimientos que se sigan.
    Quedó claro por qué algunos problemas no cedían ni a los mayores esfuerzos y por qué los organizadores de concursos se atrevían a ofrecer premios enormes a los que los resolvieran. En este sentido superó a todos e1 inventor del juego, que le propuso al editor de un periódico neoyorquino, para el suplemento dominical, un problema irresoluble con un premio de 1000 dólares por su solución; y como el editor se quedó dudando, el inventor dijo que estaba dispuesto a aportar la suma señalada de su propio bolsillo. El inventor fue Samuel (Sam) Lloyd, que, además, se hizo muy conocido como autor de problemas ingeniosos y de multitud de acertijos. Sin embargo, es interesante el hecho de que no pudo patentar en Norteamérica el juego que había inventado. Según las instrucciones, para obtener la patente debía presentar el «modelo práctico» para llevar a cabo la partida de prueba; Lloyd le propuso al empleado de la oficina de patentes resolver un problema, y cuando este último le preguntó si dicho problema tenía solución, el inventor tuvo que responder: «No, esto es imposible desde el punto de vista matemático». «En este caso -replicó e1 empleado - no puede haber modelo práctico y, sin él, no hay patente». Lloyd se conformó con esta resolución, pero, si hubiera podido prever el éxito sin precedentes de su invento, es probable que hubiera sido más exigente».
    Figura 273
    A continuación vamos a citar la exposición que hace el propio inventor del juego acerca de algunos datos de su historia:
    «Los antiguos habitantes del reino del ingenio -escribe Lloyd - recuerdan como a principios de los años 70 hice yo que todo el mundo se rompiera la cabeza con una cajita, que contenía fichas móviles y que recibió el nombre de «juego de las 15». El orden de las 15 fichas en la cajita cuadrada era correcto, pero las fichas 14 y 15 estaban trocadas como muestra la ilustración que se adjunta (fig. 274).
    Figura 274

    El problema consistía en, moviendo sucesivamente las fichas, ponerlas en orden, corrigiendo la posición de las fichas 14 y 15.
    El premio de 1000 dólares ofrecido por la primera solución correcta de este problema no lo consiguió nadie, a pesar de que se intentó sin descanso resolverlo. Se contaban graciosas historias de comerciantes que se olvidaban de abrir sus tiendas y de empleados honorables que se pasaban toda la noche debajo de un farol callejero, buscando la solución. Nadie quería renunciar a la búsqueda de la solución, porque todos estaban seguros de que les aguardaba el éxito. Se dice que los pilotos, distraídos con el juego, encallaban los barcos, los maquinistas se olvidaban de parar el tren en las estaciones, los granjeros abandonaban sus arados».
    * * *

    Ahora daremos a conocer a nuestro lector los rudimentos de la teoría de este juego. En su forma general esta teoría es muy complicada y está íntimamente relacionada con una de las partes del álgebra superior («teoría de los determinantes»). Nosotros nos limitaremos solamente a ciertos razonamientos expuestos por V. Arens.
    El problema del juego consiste de ordinario en que, valiéndose de los movimientos sucesivos que permite hacer la existencia de un campo libre, hay que hacer que las 15 fichas, colocadas al principio de cualquier modo, queden ordenadas según sus números, es decir, en el ángulo superior izquierdo estará la ficha 1, a su derecha, la 2, después, la 3 y luego, en el ángulo superior derecho, la 4; en la fila siguiente se encontrarán, de izquierda a derecha, las 5, 6, 7 y 8 y así sucesivamente. Esta ordenación normal definitiva se da en la fig. 273.
    Figúrese ahora que las 15 fichas se encuentran en el mayor desorden. Por medio de una serie de movimientos siempre se puede trasladar la ficha 1 al lugar que ocupa en la figura.
    De igual modo, sin tocar la ficha 1, se puede hacer que la ficha 2 ocupe el puesto inmediato de la derecha. Después, sin tocar las fichas 1 y 2, se pueden colocar las 3 y 4 en sus puestos normales; si casualmente no se hallan en las dos últimas columnas, es fácil trasladarlas primeramente a esta zona y luego, haciendo una serie de traslaciones, lograr el resultado apetecido. Ahora la fila superior 1, 2, 3, 4 ya está puesta en orden y en las siguientes manipulaciones con las fichas no tocaremos esta fila. Por este mismo procedimiento procuraremos poner en orden la segunda fila: 5, 6, 7 y 8; es fácil convencerse de que esto siempre se puede conseguir. Después, en el espacio correspondiente a las dos últimas filas, hay que poner en la posición normal las fichas 9 y 13; esto también se logra siempre. Ninguna de las fichas 1, 2, 3, 4, 5, 6, 7, 8, 9, y 13, puestas ya en orden, vuelven a moverse; queda un pequeño espacio de seis campos, de los cuales uno está libre y los otros cinco ocupados por las fichas 10, 11, 12, 14 y 15 en orden arbitrario. Dentro de los límites de este espacio de seis puestos siempre pueden ponerse en sus lugares normales las fichas 10, 11 y 12. Cuando esto se ha conseguido, las fichas 14 y 15 resultan colocadas en la última fila en orden normal o en orden inverso (fig. 274). Por este procedimiento, que el lector puede comprobar en la práctica, llegamos al siguiente resultado.
    Cualquiera que sea la colocación inicial de las fichas, éstas pueden ponerse en el orden representado en la fig. 273, posición I, o en el orden que indica la fig. 274, posición II.
    Si una colocación determinada, que llamaremos S para simplificar, puede transformarse en la posición I, es evidente que también será posible la transformación inversa, es decir, la posición I en la posición S. Esto se explica porque todos los pasos de las fichas son reversibles: si, por ejemplo, en el esquema I podemos colocar la ficha 12 en el campo libre, este mismo paso podemos darlo al revés haciendo el movimiento contrario.
    Tenemos, pues, dos series de colocaciones tales, que de las posiciones de una de ellas se puede pasar a la posición normal I y de las posiciones de la otra, a la posición II. Y viceversa, de la colocación normal puede obtenerse cualquiera de las posiciones de la primera serie, y de la colocación II, cualquier posición de la segunda serie. Finalmente, si se tienen dos posiciones cualesquiera pertenecientes a una misma serie, de la una se puede pasar a la otra y viceversa.
    Y, continuando por este camino, ¿no podrían unificarse las posiciones I y II? Puede demostrarse de un modo riguroso (aunque no entraremos en por menores) que de una de estas dos posiciones es imposible pasar a la otra, cualquiera que sea el número de pasos que se den. Por esta razón, el número enorme de posiciones posibles de las fichas se descompone en dos series independientes: 1º, aquella de cuyas posiciones se puede pasar a la posición normal I, es decir, la de las posiciones resolubles; y 2a, aquella de cuyas posiciones puede pasarse a la posición II y de las que, por consiguiente, en modo alguno puede pasarse a la posición normal, es decir, éstas son las posiciones por cuya resolución se ofrecían premios enormes.
    ¿Cómo puede saberse si una posición dada pertenece a la primera serie o a la segunda? Un ejemplo aclarará esto.
    Consideremos la colocación representada en la fig. 275.
    Figura 275

    La primera fila de fichas está en orden, lo mismo que la segunda, a excepción de la última ficha (9). Esta ficha ocupa el puesto que en la posición normal pertenece a la 8. La ficha 9 está por lo tanto, antes que la 8: este adelantamiento del orden normal se llama «desorden». Acerca de la ficha 9 decimos: aquí existe un desorden. Si continuamos observando las fichas, descubrimos otro adelantamiento en la ficha 14, que está colocada tres puestos antes (las fichas 12, 13 y 11) de su posición normal: aquí hay tres desórdenes (la ficha 14 está antes que la 12; la 14, delante de la 13; y la 14, antes que la 11). En total contamos ya 1 + 3 = 4 desórdenes. Después, la ficha 12 está colocada antes que la 11 y lo mismo ocurre con la ficha 13, que está antes que la 11. Esto da dos desórdenes más. En total tenemos seis desórdenes. De un modo semejante se establece el número total de desórdenes que hay en cada colocación, después de dejar libre el último puesto en el ángulo inferior derecho. Si el número total de desórdenes es par, como en el caso que hemos examinado, de la colocación dada puede pasarse a la posición final normal, en otras palabras, la colocación pertenecerá a la serie de las que puedan resolverse. Pero si el número de desórdenes es impar, la colocación dada pertenecerá a la segunda serie, es decir, a la de las imposibles de resolver (el desorden nulo se considera par).
    Gracias a la claridad que introdujeron en este juego las matemáticas, ahora es ya completamente incomprensible el apasionamiento febril y el interés que despertó en su tiempo. Las matemáticas crearon una teoría exhaustiva de este juego, una teoría que no deja ni un solo punto dudoso. E1 resultado del juego depende no de determinadas casualidades ni del ingenio, como en otros juegos, sino de factores puramente matemáticos, que los predeterminan con absoluta fidelidad.
    Ocupémonos ahora de los problemas de este campo.
    He aquí algunos problemas resolubles ideados por Loyd, el inventor del juego.
    Primer problema
    Partiendo de la colocación representada en la fig. 274, poner las fichas en el orden correcto, pero con el campo libre en el ángulo superior izquierdo (fig. 276).
    Figura 276

    Segundo problema
    Partiendo de la colocación que se ve en la fig. 274, déle a la caja un giro de un cuarto de vuelta a la derecha y mueva las fichas hasta que tomen la posición que indica la fig. 277.
    Figura 277

    Tercer problema
    Moviendo las fichas según las reglas del juego, convierta la caja en un cuadrado mágico, a saber: coloque las fichas de tal modo, que la suma de sus números sea la misma en todas las direcciones e igual a 30.
    Solución

  9. «E1 juego de las 11»
    En este juego participan dos jugadores. Se colocan en la mesa 11 cerillas (o granos, chinas, etc.). El primer jugador coge una, dos o tres de ellas, las que quiera. Después, el segundo jugador coge también una, dos o tres cerillas, según desee. Luego vuelve a coger el primer jugador y así sucesivamente. No se pueden coger más de tres cerillas de una vez. E1 que coge la última cerilla, pierde.
    Cómo deberá jugar usted para ganar siempre?
    Solución

  10. «El juego de las 15»
    Ahora no se trata del «juego de las 15», que consiste en mover fichas cuadradas, numeradas, dentro de una cajita. El juego que proponemos es de otro tipo y se parece más al juego de los ceros y los unos. Juegan dos jugadores sucesivamente. El primer jugador escribe una cifra cualquiera, del 1 al 9, en uno de los cuadrados de la cuadrícula que se representa a continuación
    Cuadro 33

    El segundo jugador escribe otra cifra, eligiendo el cuadrado de tal forma, que el primer jugador, en el turno siguiente, no pueda terminar una fila de tres cifras (la fila puede ser transversal o diagonal) con una suma igual a 15.
    Gana el jugador que termina en uno de sus turnos una fila con la suma 15 o que llena el último cuadrado de toda la cuadrícula.
    ¿Qué piensa usted, existe algún procedimiento de ganar siempre en este juego?
    Solución

  11. «El juego de las 32»
    Juegan dos jugadores. Ponen en la mesa 32 cerillas. El que empieza coge una, dos, tres o cuatro cerillas. Después, el otro coge también las cerillas que quiere, pero no más de cuatro. Luego el primero vuelve a coger no más de cuatro cerillas y así sucesivamente. El que coge la última cerilla gana el juego.
    Como ve, este juego es fácil. Pero es además interesante, porque el que empieza. el juego puede ganar siempre, si calcula bien el número de cerillas que debe coger.
    ¿Podría usted decir cómo debe jugar para ganar?
    Solución

  12. Lo mismo, pero al contrario
    El «juego de las 32» se puede modificar: el que coge la última cerilla no gana, sino que, por el contrario, pierde.
    ¿Cómo hay que jugar en este caso para ganar?
    Solución

  13. «E1 juego de las 27»
    Este juego es parecido al anterior. También toman parte en él dos jugadores y, del mismo modo, cogen por turno no más de cuatro cerillas. Pero el final es distinto: se considera ganador el que, al terminar el juego, tiene un número par de cerillas.
    Aquí también lleva ventaja el que empieza. Este, calculando bien sus jugadas, puede ganar siempre. ¿En qué consiste el secreto para no perder en el juego?
    Solución

  14. De otra forma
    En el «juego de las 27» se puede poner también la condición inversa, es decir, que se considere vencedor aquel, que, una vez terminado el juego, resulte tener un número impar de cerillas. ¿Cuál será en este caso el procedimiento para no perder?
    Solución

  15. Viaje matemático
    En este juego pueden participar varias personas. Para esto hay que hacer lo siguiente:
    1) un tablero para el juego (de cartón):
    2) un dado (de madera) y
    3) varias fichas, una para cada jugador.
    El tablero se recorta, en forma de cuadrado, de una hoja de cartón. Es preferible que sea de grandes dimensiones. E1 cuadrado debe dividirse en 10 * 10 casillas, las cuales se numeran del 1 a 100, como muestra el dibujo en pequeño de la fig. 278.
    Figura 278

    El dado, de 1 cm de altura aproximadamente, se corta de una varilla de madera de sección cuadrangular; sus caras se alisan con papel de lija y se marcan con las cifras del 1 al 6 (lo mejor es representar estas cifras por puntos, lo mismo que en las fichas del dominó).
    De fichas pueden servir redondelitos o cuadrados de cartón de distintos colores u otros objetos cualesquiera.
    Los participantes, después de coger sus fichas respectivas, comienzan el juego echando el dado sucesivamente. El que saca 6 puntos empieza a moverse por las casillas del tablero, poniendo su ficha en la número 6. Cuando le llega su turno de echar otra vez el dado, adelanta su ficha en tantas casillas como puntos salen. A1 llegar a una casilla en la cual comienza una flecha, la ficha deberá seguir dicha flecha hasta el fin, unas veces hacia adelante y otras hacia atrás.
    El que llega primero a la centésima casilla, gana la partida.
    Solución

  16. Piense un número
    Haga atentamente todas las operaciones que aquí se dicen con el número que haya pensado y yo le diré el resultado de sus cálculos.
    Si el resultado es otro, compruebe sus cálculos y se convencerá de que el error es suyo y no, mío.
    N° 1
    Piense un número menor que 10(y que no sea cero)
    Multiplíquelo por 3,
    A1 resultado, añádale 2.
    Multiplique por 3 lo obtenido
    A1 producto súmele el número pensado.
    Tache la primera cifra del total.
    Divida por 4 lo obtenido.
    Añádale 19 al resultado.
    (Ahora tendrá 21)
    Nº 2
    Piense un número menor que 10 (y que no sea cero)
    Multiplíquelo por 5.
    Duplique el producto.
    A1 resultado, añádale 14.
    De esta suma reste 8.
    Tache la primera cifra del resto.
    Divida por 3 lo que queda.
    Añádele 10 al cociente.
    (Ahora tendrá 12)
    Nº 3
    Piense en un número menor de 10 (y que no sea cero)
    Añádele 29
    Quite la última cifra de la suma.
    Multiplique lo que queda por 10.
    Súmele 4 al producto.
    Multiplique lo obtenido por 3.
    Réstele 2 al resultado.
    (Ahora tendrá 100)
    Nº 4
    Piense un número menor que 10 (y que no sea cero)
    Multiplíquelo por 5.
    Duplique lo obtenido.
    Reste del resultado el número que pensó.
    Sume las cifras de la diferencia obtenida.
    Al total, añádale 2.
    Eleve al cuadrado la suma.
    Réstele 10 al número obtenido
    Divida la diferencia por 3.
    (Ahora tendrá 37)
    Nº 5
    Piense un número menor que 10 (y que no sea cero)
    Multiplíquelo por 25.
    Añádale 3
    Lo obtenido, multiplíquelo por 4
    Tache la primera cifra de este producto
    Eleve al cuadrado el número que queda
    Sume las cifras del resultado obtenido
    Añádale 7
    (Ahora tendrá 16)
    Nº 6
    Piense un número de dos cifras
    Súmele 7
    Reste de 110 esta suma
    Al resto, añádale 15
    A1 total, súmele el número pensado
    Divida por dos el número obtenido
    Reste 9 del resultado
    Multiplique por 3 la diferencia
    (Ahora tendrá 150)
    Nº 7
    Piense un número menor que 100
    Súmele 12
    Reste de 130 esta suma
    Añádale 5 a la diferencia
    Al total, añádale el número pensado
    Reste 120 de la suma obtenida
    Multiplique por 7 la diferencia
    Réstele 1 al producto
    Divida por 2 el resto
    Súmele 30 al cociente
    (Ahora tendrá 40)
    Nº 8
    Piense un número cualquiera(que no sea cero)
    Duplíquelo.
    Añádale 1 al número obtenido.
    Multiplique por 5 el nuevo resultado.
    Deseche todas las cifras, menos la última.
    Multiplique por sí misma la cifra que queda.
    Sume las cifras del resultado.
    (Ahora tendrá 7)
    Nº 9
    Piense un número menor que 100
    Súmele 20.
    El número obtenido réstelo de 170.
    Reste 6 de lo que quede.
    Súmele a la diferencia el número pensado.
    Sume las cifras del número obtenido.
    Multiplique esta suma por sí misma.
    Réstele 1 al total.
    Divida por 2 la cantidad obtenida.
    Súmele 8 al cociente.
    (Ahora tendrá 48)
    Nº 10
    Piense un número de tres cifras
    Escriba a su derecha este mismo número.
    Divida por 7 el número que resulte.
    Divida el cociente por el número pensado.
    Divida por 11 la cantidad obtenida.
    Duplique el resultado.
    Sume las cifras del número que obtiene.
    (Ahora tendrá 8)
    Solución

  17. Vamos a adivinar
    Juguemos ahora, amigo lector, a adivinar: usted pensará números, y yo los adivinaré. No importa que los lectores sean miles ni que estén leyendo este libro en cualquier lugar, a millares de kilómetros de mí, el número que tenga en su mente lo adivinaré de todos modos.
    Empecemos.
    Piense la cifra que quiera. Pero no confunda las palabras «cifra» y «número»: cifras sólo hay 10, del 0 al 9; los números son, en cambio, una cantidad infinita. Así, pues, piense cualquier cifra. ¿La ha pensado ya? Bien, multiplíquela por 5; pero no se equivoque, de lo contrario no resultará bien el juego.
    ¿Ha multiplicado ya por 5?... ¿Sí?, pues multiplique por 2 lo que haya obtenido. ¿Lo ha hecho?... Súmele 7 al producto.
    Ahora táchele la primera cifra al número obtenido; deje solamente la última cifra.
    ¿Ya está?... Súmele 4 a lo que haya quedado. Réstele 3. Añádale 9.
    ¿Ha hecho todo lo que he dicho?... Pues, ahora 1e diré cuánto ha obtenido.
    Ha obtenido 17.
    ¿No es así? Si quiere lo hacemos otra vez. ¡Venga!
    ¿Ha pensado la cifra?... Triplíquela. Lo que haya resultado vuélvalo a triplicar. Ahora, súmele al número obtenido la cifra que haya pensado.
    ¿Lo ha hecho?... Añádale 5 a lo obtenido. Tache en la suma resultante todas las cifras, menos la última. ¿Las ha tachado? ... Súmele 7 a lo que quede. Réstele 3 y añádale 6.
    ¿Quiere que le diga qué número tiene ahora en su imaginación?
    El 15.
    ¿He acertado? Si no he acertado, la culpa es de usted. Por lo visto, se ha equivocado en alguna de las operaciones.
    Si quiere que probemos por tercera vez, yo no tengo inconveniente.
    ¿Ha pensado la cifra? ... Duplíquela. Lo que haya obtenido, vuelva a duplicarlo. Duplique otra vez el nuevo resultado. Añada la cifra pensada. Vuelva a añadir la cifra pensada. Súmele 8. Tache todas las cifras, menos la última. Al número que queda réstele 3. Después, súmele 7.
    Ahora tendrá usted 12.
    Yo podría acertar cuántas veces fuera necesario, sin equivocarme nunca. ¿Cómo lo hago?
    Debe pensar usted que todo lo que está aquí impreso lo escribí yo varios meses antes de que este libro viese la luz y, por lo tanto, mucho antes de que usted pensara sus números. Esto demuestra que el número que yo acierto no depende en nada del que usted piensa.
    Pero, ¿cuál es el secreto?
    Solución

  18. Adivinar un número de tres cifras
    Piense un número de tres cifras. Sin enseñármelo, duplique su primera cifra; de las demás cifras prescinda por ahora. A lo que haya resultado, súmele 5. Lo obtenido multiplíquelo por 5, añádale la segunda cifra del número que pensó y multiplique por 10 el resultado. A1 número recién obtenido súmele la tercera cifra del número pensado y dígame lo que ha obtenido. Inmediatamente le diré qué número pensó usted.
    Pondré un ejemplo. Supongamos que pensó usted el número 387.
    Haga con él las operaciones siguientes: Duplique la primera cifra: 3 * 2 = 6. Súmele 5. 6 + 5 = 11. Multiplique por 5. 11 * 5 = 55. Añada la segunda cifra: 55 + 8 = 63. Multiplique por 10. 63 * 10 = 630. Sume la tercera cifra: 630 + 7 = 637. Usted me dice que ha obtenido el número 637, y yo le digo el número que usted pensó. ¿Cómo lo adivino?
    Solución

  19. Truco numérico
    Piense un número. Súmele 1. Multiplique por 3. Vuelva a sumarle 1. Añada el número pensado. Dígame el resultado que ha obtenido. Cuando usted me diga el resultado final de todas estas operaciones, yo le restaré 4, dividiré el resto por 4 y obtendré el número que usted había pensado. Por ejemplo, usted piensa el número 12. Le añade 1, y obtiene 13. Lo multiplica por 3, y resultan 39. Le suma 1, y tendrá 40. Le añade el número pensado: 40 + 12 = 52. Cuando usted me dice que ha obtenido el número 52, yo le resto 4, y la diferencia, 48, la divido por 4. Obtengo 12, que es el número que usted había pensado. ¿Por qué se acierta siempre de este modo?
    Solución

  20. ¿Cómo adivinar la cifra tachada?
    Pídale a un compañero que piense un número cualquiera de varias cifras y que haga lo siguiente: que escriba el número pensado, que cambie como quiera el orden de sus cifras, que reste el número menor del mayor, que tache una de las cifras del resto (que no sea cero), y que le diga las demás cifras en un orden cualquiera. En respuesta, usted le dice cuál es la cifra tachada. Ejemplo. Su compañero piensa el número 3857. Después hace lo siguiente:
    3857,
    8735,
    8735 - 3857 = 4878.
    Después de tachar la cifra 7, él le dice a usted las demás cifras en el orden, por ejemplo, siguiente: 8, 4, 8. Por estas cifras puede usted hallar la tachada. ¿Qué debe hacer para esto?
    Solución

  21. ¿Cómo adivinar el día y el mes de nacimiento?
    Propóngale a un compañero que escriba en una hoja de papel el día del mes en que nació y que haga las operaciones siguientes: que duplique el número escrito, que multiplique por 90 lo obtenido, que le sume 73 al producto, que multiplique por 5 la suma, y que, al total., le añada el número de orden del mes en que nació. El le dice a usted el resultado final de todas las operaciones y usted le dice a él la fecha en que nació. Ejemplo. Su compañero nació el 17 de agosto, es decir, el día 17 del mes 8. El hace lo siguiente:

    17 * 2 = 34.
    34 * 10 = 340
    340 + 73 = 413,
    413 * 5 = 2065
    2065 + 8 = 2073.

    Su compañero le dice a usted el número 2073 y usted le dice a él la fecha en que nació. ¿Cómo puede usted hacer esto?
    Solución

  22. ¿Cómo se adivina la edad del interlocutor:?
    Usted puede adivinar la edad que tiene su interlocutor, si le pide que haga lo siguiente:

    • que escriba, una detrás de otra, dos cifras que se diferencien entre sí en másde 1; que escriba entre ellas una tercera cifra cualquiera;
    • que invierta el orden de las cifras del número así obtenido;
    • que reste el número menor del mayor;
    • que ponga las cifras del resto en orden inverso;
    • que le sume este nuevo número al resto anterior;
    • que le añada a esta suma la edad que tiene.

    Su interlocutor le dice a usted el resultado final de todas las operaciones, y usted le dice la edad que él tiene.
    Ejemplo. Su interlocutor tiene 23 años. Hace lo siguiente:

    • 25,
    • 275,
    • 572,
    • 572 - 275 = 297,
    • 297 + 792 = 1089,
    • 1089 + 23 = 1112.

    Su interlocutor le dice a usted el número 1112,, y usted, partiendo de esto, halla la edad que él tiene.
    ¿Cómo puede usted hacerlo?
    Solución

  23. ¿Cómo adivinar el número de hermanos y hermanas?
    Usted puede adivinar cuántos hermanos y hermanas tiene un camarada suyo, si le pide que haga lo siguiente:

    • que añada 3 al número de hermanos;
    • que multiplique por 5 el número obtenido;
    • que a este producto le sume 20;
    • que multiplique la suma por 2;
    • que al resultado le añada el número de hermanas y que a esta suma le agregue 5.

    Su camarada le dice a usted el resultado final de estas operaciones, y usted le dice cuántos hermanos y hermanas tiene él.
    Ejemplo. Su compañero tiene cuatro hermanos y siete hermanas. El hace lo siguiente:

    • 4 + 3 = 7,
    • 7 x 5 = 35,
    • 35 + 20 = 55,
    • 55 x 2 = 110,
    • 117 + 5 = 122.

    Su camarada le dice a usted que ha obtenido el número 122, y usted le dice cuántos hermanos y hermanas tiene él.
    ¿Cómo puede usted hacer esto?
    Solución

  24. Truco con la guía de teléfonos
    Este truco no es menos sorprendente y se hace como sigue.
    Propóngale a un compañero suyo que escriba cualquier número de tres cifras diferentes. Supongamos que escribe el número 648. Dígale que ponga las cifras del número elegido en orden inverso y que del número mayor reste el menor (Si el resto tiene sólo dos cifras (99), se escribe con un cero delante (099).). El escribirá lo siguiente:

    • 846
    • -648
    • 198

    Pídale ahora que ponga también en orden inverso las cifras de esta diferencia y que sume los dos números. Su compañero escribirá:

    • 198
    • +891
    • 1089

    Estas operaciones las hará sin que usted las vea, de manera que pensará que usted no sabe el resultado total.
    Entonces, usted le da una guía de teléfonos, y le dice que la abra por la página cuyo número coincide con las tres primeras cifras del resultado final. Su camarada la abrirá por la página 108 y quedará en espera de lo que usted diga. Usted le pide que, en esta página, cuente de arriba abajo (o de abajo arriba) tantos apellidos de abonados como indica la última cifra del número total (es decir, del número 1089). El busca al abonado que hace nueve, y usted le dice cómo se llama este abonado y cuál es el número de su teléfono.
    Su sabiduría, como es natural, asombrará a su compañero, ya que él eligió el primer número que se le ocurrió, y usted acertó sin titubear el apellido del abonado y el número de su teléfono.
    ¿En qué consiste el secreto de este truco?
    Solución

  25. ¿Cómo adivinar una ficha de dominó?
    Este es un truco aritmético basado en el cálculo. Supongamos que un compañero suyo se guarda en el bolsillo una ficha cualquiera de dominó. Usted puede adivinar qué ficha es ésta, si él hace, sin equivocarse, unas operaciones fáciles. Figúrese, por ejemplo, que la ficha que ocultó es la 6 - 3.
    Pídale a su compañero que duplique uno de estos números (por ejemplo, el 6):

    • 6 * 2 = 12.
    • Al número duplicado, que le sume 7; 12 + 7 = 19.
    • Después, que multiplique por 5 el número obtenido: 19 * 5 = 95.
    • A este producto, que le sume el otro número de la ficha de dominó (es decir, el3): 95 + 3 = 98.

    Su compañero le dice a usted este resultado final, y usted le resta mentalmente 35 y conoce la ficha que él guardó:
    98 - 35 = 63, es decir, la ficha 6 - 3.
    ¿Por qué resulta así y por qué hay que restar siempre 35?
    Solución

  26. Una memoria sorprendente
    Algunos ilusionistas llaman la atención con su extraordinaria memoria: recuerdan largas series de palabras, números, etc. Cualquiera de ustedes puede también admirar a sus camaradas con un truco semejante. He aquí como hay que hacerlo.
    Prepare 50 tarjetas de papel y escriba en ellas los números y las letras que se indican en la tabla siguiente.
    Cuadro 34

    Cuadro 35
    En cada tarjeta habrá escrito, de este modo, un número de bastantes cifras y, en el ángulo superior izquierdo, un símbolo constituido por una letra latina o una letra y una cifra. Estas tarjetas repártalas en sus compañeros y dígales que usted se acuerda perfectamente del número que hay escrito en cada una de las tarjetas. Que le digan a usted solamente el símbolo de la tarjeta, y usted dirá en el acto el número que hay escrito en ella. A usted le dicen, por ejemplo, «E4», y usted responde inmediatamente:
    -El número 10 928 224.
    Como los números son de muchas cifras y suman, en total medio ciento, su arte debe, naturalmente, admirar a los presentes. No obstante, usted no se ha aprendido de memoria los 50 largos números. E1 problema se resuelve de un modo mucho más fácil. ¿Cuál es el secreto de este truco?
    Solución

  27. Una memoria extraordinaria
    Después de escribir en une hoja de papel una larga fila de cifras -20-25 cifras- declara usted que puede repetirla, sin equivocarse, cifra a cifra. Y en efecto, lo hace usted, a pesar de que en la sucesión de cifras no se nota ninguna regularidad.
    ¿Cómo puede usted hacer estor
    Solución

  28. Unos dados mágicos
    Haga varios cubos de papel (por ejemplo, cuatro) y marque sus caras con cifras situadas como muestra la fig. 279. Con estos cubos podrá usted hacerle a sus amigos un truco aritmético interesante.
    Figura 279


    Pídales a sus compañeros que, en ausencia de usted, pongan los cubos uno encima de otro, formando columna, en las posiciones que quieran. Después de esto, usted entra en la habitación, echa una ojeada a la columna de cubos y halla inmediatamente a qué es igual la suma de todas las cifras que hay en las caras tapadas de los cuatro cubos. Por ejemplo, en el caso que representa la figura, usted dice 23. Es fácil convencerse de que esto es cierto.
    Solución

  29. Un truco con tarjetas
    Haga siete tarjetas como las que se ven en la fig. 280. Escriba en ellas los números y hágales los cortes rectangulares tal como están en las muestras indicadas. Una de las tarjetas se deja en blanco, pero en ella también se hacen cortes.
    Figura 280

    Al copiar los números en las tarjetas hay que prestar mucha atención para no equivocarse.
    Cuando haya hecho esto, entréguele las seis tarjetas con números a un compañero suyo y pídale que piense en uno cualquiera de los números escrito en ellas. Después, dígale que le devuelva a usted todas aquellas tarjetas en que figure el número pensado.
    Una vez recibidas las tarjetas, las coloca usted cuidadosamente unas encima de otras, las cubre con la tarjeta en blanco y suma mentalmente los números que se ven a través de las ventanillas. El número que ` resulta es el pensado.
    Lo más probable es que ni usted mismo pueda descubrir el secreto del truco. Este se basa en un modo especial de elegir los números que figuran en las tarjetas. El fundamento de esta elección es bastante complicado y no voy a detenerme en él. En otro libro mío («Problemas recreativos»), dedicado a lectores con mejor preparación matemática, puede usted hallar una explicación detallada de este nuevo truco y de sus variantes más curiosas.
    ¿Cómo adivinar la suma de unos números que no se han escrito?
    Usted se compromete a predecir la suma de tres números, de los cuales sólo se ha escrito uno. Este truco se hace así. Se le dice a un compañero que escriba un número con tantas cifras como quiera: éste será el primer sumando.
    Supongamos que él escribe el número 84 706. En este caso, dejando sitio libre para los sumandos segundo y tercero, se escribe a priori la suma de los tres números:
    1 er sumando

    84706

    2º sumando
    3 er sumando
    Suma

    184705



    Después de esto su camarada escribe el segundo sumando (que debe tener tantas cifras como el primero), y usted escribe el tercer sumando:
    1 er sumando

    84706

    2º sumando

    30485

    3 er sumando

    69514

    Suma

    184705


    Es fácil convencerse de que la suma se predijo bien.
    ¿En qué consiste el secreto de este truco?
    Solución

  30. Predicción de la suma
    Las supersticiones numéricas, lo mismo que los prejuicios de otros tipos, eran muy frecuentes en la Rusia de antes de la revolución. Como ejemplo de las consecuencias absurdas a que puede conducir la propensión a estas supersticiones, citaremos el caso de Iliá Teglev, héroe de la narración de Turguéniev «Pon ... pon ...», que basándose en una coincidencia casual de números, cree ser un Napoleón no reconocido. Este personaje se suicida, y en uno de sus bolsillos se descubre una hoja de papel con los cálculos siguientes:

    Napoleón nació el 15 de agosto de 1769 Iliá Teglev nació el 7 de enero de 1811
    Año

    1769

    Año

    1811

    Día

    15

    Día

    7

    Mes (Agosto es el mes 8)

    8

    Mes (Enero es el mes 1)

    1

    Total

    1792

    Total

    1819

    1 1
    7 8
    9 1
    2 9
    Total 19 Total 19
    Napoleón murió el 5 de mayo de 1825 Iliá Teglev murió el 21 de julio de 1834
    Año

    1825

    Año

    1834

    Día

    5

    Día

    21

    Mes (mayo es el mes 5)

    5

    Mes (julio es el mes 7)

    7

    Total

    1835

    Total

    1862

    1

    1

    8

    8

    3

    6

    5

    2

    Total

    17

    Total

    17



    Adivinaciones numéricas semejantes se pusieron en boga a comienzos de la primera guerra mundial. Entonces, por medio de ellas se pretendía predecir cómo terminaría. En 1916 los periódicos suizos descubrieron a sus lectores el siguiente «misterio» acerca (le la suerte de los emperadores de Alemania y Austria-Hungaría:
    Guillermo II Francisco José
    Año de nacimiento 1859 1830
    Año de la coronación 1888 1848
    Edad 57 86
    Años en el trono 28 68
    Total 3832 3832

    Como puede ver, las sumas son iguales y cada una de ellas es el doble del año 1916. De esto se deduce que este año, fatal para ambos emperadores, predecía una derrota.
    En este caso nos encontramos no con una coincidencia casual, sino, simplemente, con una majadería. La gente, cegada por la superstición, no se dio cuenta de que con sólo modificar ligeramente el orden de los renglones en los cálculos desaparecía por completo su carácter misterioso.
    Ponga los renglones en este orden:

    • año de nacimiento,

    • edad,

    • año de la coronación,

    • años en el trono.
    Y ahora piense: ¿qué año debe obtenerse si al de nacimiento de una persona se le añade su edad? Está claro que resultará el año en que se hace el cálculo. El mismo año debe obtenerse si al año de la coronación de un emperador se le suman los años que lleva en el trono. Por esto, es fácil comprender por qué la suma de estos cuatro números daba, para ambos emperadores, el mismo total, es decir, el doble del año 1916. Otra cosa no se podía esperar.
    Lo que acabamos de decir puede utilizarse para hacer un interesante truco numérico. Dígale a un compañero suyo, que no conozca este sencillo secreto, que escriba en un papel, sin que usted lo vea, los cuatro números siguientes:

    • el año en que nació,

    • el año en que empezó a trabajar en la fábrica, (o que ingresó en la escuela,etc),

    • su edad, y

    • el número de años que lleva trabajando en la fábrica (o estudiando en laescuela, etc).
    Aunque usted no conozca ninguno de los cuatro números escritos, no le costará trabajo adivinar su suma: lo único que tendrá que hacer es duplicar el año en que se hace el truco.
    Si repite el truco, su secreto puede ser fácilmente descubierto. Para dificultar esto, introduzca entre los cuatro sumandos varios más, que usted conozca; si opera con discreción, la suma resultará distinta cada vez y descubrir el secreto será más difícil.
Solución

Capítulo 23
SOLUCIONES
El dominó

  1. Una cadena de 28 fichas
    Para simplificar los problemas prescindamos por ahora de las siete fichas dobles, es decir, de las 0 - 0, 1 - 1, 2 - 2, etc. Quedan 21 fichas, en las cuales cada número de puntos se repite seis veces. Por ejemplo, 4 puntos (en un campo) figuran en las seis fichas siguientes:

    4 - 0; 4 - l; 4 - 2; 4 - 3; 4 - 5; 4 - 6.

    Como puede verse, cada número de puntos se repite un número par de veces. Está claro que las fichas de este juego se pueden poner una al lado de otra, de modo que estén juntos los campos de igual número de puntos, hasta que se acaben todas las fichas. Y cuando ya se ha hecho esto, es decir, cuando nuestras 21 ficha están dispuestas formando una cadena continua, entre las juntas
    0 - 0, 1 - 1, 2 - 2, etc.

    colocamos las siete fichas dobles que habíamos apartado. Después de esto las 28 fichas del dominó resultan puestas en cadena, cumpliendo las reglas del juego.
    Volver

  2. El principio y el fin de la cadena
    Es fácil demostrar que la cadena formada con las 28 fichas del dominó debe terminar con el mismo número de puntos que comienza. En efecto, si no ocurriera así, los números de puntos que resultaran estar en los extremos de la cadena se repetirían un número impar de veces (puesto que dentro de la cadena los puntos forman parejas). Pero, como sabemos, en el juego completo de fichas de dominó cada número de puntos se repite ocho veces, es decir, un número de veces par. Por consiguiente, la suposición que hemos hecho, de que los números de puntos que hay en los extremos sean distintos, es incorrecta: estos números de puntos deben ser iguales. (Los razonamientos de este tipo reciben en matemáticas el nombre de «demostraciones por reducción al absurdo»).
    De la propiedad que acabamos de demostrar de la cadena de fichas se deduce la consecuencia siguiente: una cadena de 28 fichas siempre puede cerrarse y obtener un anillo. Es decir, el juego completo de fichas de dominó puede colocarse, cumpliendo las reglas del juego, no sólo formando una cadena con los extremos libres, sino también formando un anillo cerrado.
    Los lectores pueden preguntarse: ¿por cuántos procedimientos diferentes puede hacerse esta cadena o anillo? Sin entrar en los pesados pormenores del cálculo, diremos que el número de procedimientos distintos de formar la cadena (o el anillo) con las 28 fichas es enorme: superior a 7 billones. El número exacto es:
    7 959 229 931 520
    (éste es el resultado de multiplicar los factores siguientes: 213 * 38 * 5 * 7 * 4231).
    Volver

  3. Un truco con el dominó
    La solución de este acertijo se desprende de lo dicho anteriormente. Como ya sabemos, las 28 fichas del dominó siempre pueden colocarse de manera que formen un anillo cerrado; por lo tanto, si de este anillo se quita una ficha tendremos que:
    1) las 27 fichas restantes formarán una cadena continua, cuyos extremos no se cierran;
    2) los números de puntos de los extremos de esta cadena son precisamente los que hay en la ficha que se quitó.
    Por esto, si escondemos una ficha del dominó, podemos predecir los números de puntos que habrá en los extremos de la cadena que se forme con las demás fichas.
    Volver

  4. El cuadrado
    La suma de los puntos de todos los lados del cuadrado que se busca debe ser igual a 44 * 4 = 176, es decir, 8 más que la suma total de los puntos que tiene el juego completo de fichas de dominó (168).
    Figura 281

    Ocurre esto, claro está, porque los números de puntos que ocupan los vértices del cuadrado se suman dos veces. Esto determina cuál debe ser la suma de los puntos que haya en los vértices del cuadrado: 8. Así se simplifica un poco la búsqueda del orden en que hay que colocar las fichas, aunque el encontrarlo, a pesar de todo, es bastante difícil. La solución se da en la fig. 281.
    Volver

  5. Los siete cuadrados
    Damos dos de las muchas soluciones posibles de este problema.
    Figura 282

    En la primera solución (fig. 282 arriba) tenemos:
    1 cuadrado con la suma 3 2 cuadrados con la suma 9
    1 cuadrado con la suma 6 1 cuadrado con la suma 10
    1 cuadrado con la suma 8 1 cuadrado con la suma 16

    En la segunda solución (fig. 282, abajo):
    2 cuadrados con la suma 2 4 cuadrados con la suma 10
    1 cuadrado con la suma 8 2 cuadrados con la suma 12

    Volver

  6. Cuadrados mágicos hechos con el dominó
    En la fig. 283 se da una muestra de cuadrado mágico en la cual la suma de los puntos en cada fila, columna o diagonal es 18.
    Figura 283

    Volver


  7. Una progresión de fichas de dominó
    Como ejemplo citamos dos progresiones en las cuales la diferencia es 2:
    a) 0-0; 0-2; 0-4; 0-6; 4--4 (ó 3-5); 5-5 (ó 4-6).
    b) 0-1; 0-3 (ó 1-2); 0-5 (ó 2-3); 1-6 (ó 3-4); 3-6 (ó 4-5); 5-6.
    Progresiones de seis fichas se pueden hacer en total 23. Sus fichas iniciales son las siguientes:
    a) para las progresiones con diferencia 1:
    0-0, 1-1, 2-1, 2-2, 3-2
    0-1, 2-0, 3-0, 3-1, 2-4
    1-0, 0-3, 0-4, 1-4, 3-5
    0-2, 1-2, 1-3, 2-3, 3-4
    b) para las progresiones con diferencia 2:
    0-0, 0-2,0-1.
    Volver

  8. «El juego de las 15» o «taquin»
    Primer problema
    La colocación dada por el problema puede obtenerse, partiendo de la posición inicial, por medio de los 44 pasos siguientes:
    14 11 12 8 7 6 10 12 8 7
    4 3 6 4 7 14 11 15 13 9
    12 8 4 10 8 4 14 11 15 13
    9 12 4 8 5 4 8 9 13 14
    10 6 2 1

    Segundo problema
    La colocación dada por el problema se obtiene dando los siguientes 39 pasos:
    14 15 10 6 7 11 15 10 13 9
    5 1 2 3 4 8 12 15 10 13
    9 5 1 2 3 4 8 12 15 14
    13 9 5 1 2 3 4 8 12

    Tercer problema
    El cuadrado mágico con suma 30 se obtiene después de dar la serie de pasos siguientes:
    12 8 4 3 2 6 10 9 13 15
    14 12 8 4 7 10 9 14 12 8
    4 7 10 9 6 2 3 10 9 6
    5 1 2 3 6 5 3 2 1 13
    14 3 2 1 13 14 3 12 15 3

    Volver

  9. «El juego de las 11»
    Si usted es mano, debe coger dos cerillas; quedan nueve. Cualquiera que sea el número de cerillas que coja el segundo jugador, usted deberá dejar en la mesa, después de su segunda jugada, sólo cinco cerillas; se comprende fácilmente que esto siempre es posible. Y cuando su adversario haya cogido las cerillas que quiera de esas cinco, usted le deja una y gana. Si a usted no le toca hacer la primera jugada, sólo podrá ganar si su adversario desconoce el secreto de cómo hay que jugar para ganar siempre.
    Volver

  10. «El juego de las 15»
    Si se quiere ganar con seguridad hay que empezar con la cifra 5. ¿En qué casilla hay que escribirla? Veamos, uno a continuación de otro, los tres casos posibles.
    1. E1 cinco se escribe en la casilla de en medio.
    Cuadro36

    Cualquiera que sea la casilla que elija su compañero de juego, usted podrá escribir en la casilla que quede libre en la misma fila.
    15 - 5 - x (donde x es la cifra escrita por su adversario). El número 15 - 5 - x, o sea, 10 - x, es, claro está, menor que 9.
    2. El cinco se escribe en una de las casillas de los ángulos.
    Cuadro 37

    Su compañero elige la casilla x o la casilla y. Si él escribe la cifra x, usted deberá escribir y = 10 - x; si escribe y, usted responderá con la cifra x = 10 - y. En ambos casos ganará usted.
    3. El cinco se escribe en la casilla de en medio de la columna extrema.
    Cuadro 38

    Su compañero podrá ocupar una de las cuatro casillas x, y, z, t.
    A la cifra x responderá usted con y = 10 - z; a la y, con x = 10 - y; a la z, con t = 10 - z, y a la t, con z = 15 - t. En todos los casos ganará.
    Volver

  11. «El juego de las 32»
    E1 simple secretó que hay que saber para no perder nunca en este juego, se descubre con bastante facilidad si se intenta jugar una partida al revés, es decir, empezando por el final. No es difícil darse cuenta de que si en su penúltima jugada le deja a su adversario cinco cerillas en la mesa, ganará usted con toda seguridad, porque él no puede coger más de cuatro cerillas y, por consiguiente, usted puede coger después todas las demás. Pero, ¿qué hay que hacer para estar seguro de que en la penúltima jugada podrán dejarse cinco cerillas? Para esto en la jugada precedente hay que dejarle al adversario 10 cerillas exactamente: entonces, por muchas que él coja siempre quedarán seis por lo menos, y usted después siempre podrá dejarle cinco. Y, ¿qué hay que hacer para lograr que al compañero le queden 10 cerillas para coger? En la jugada anterior hay que dejar en la mesa 15 cerillas.
    Así, restando cada vez cinco cerillas, nos enteramos de que antes hay que dejar en la mesa 20, y con anterioridad, 25, y, finalmente, la primera vez, 30 cerillas, es decir, al comenzar el juego hay que coger dos cerillas.
    Por lo tanto, el secreto para ganar siempre es: la primera vez hay que coger dos cerillas; luego, después que su compañero haya cogido varias, se cogen las cerillas necesarias para que en la mesa queden 25; la vez siguiente se dejan en la mesa 20 cerillas, luego 10, y finalmente cinco. La última cerilla será siempre para usted.
    Volver

  12. Lo mismo, pero al contrario
    Si la condición del juego es la inversa, o sea, que el que coja la última cerilla pierde, en la penúltima jugada deberá dejar en la mesa seis cerillas. Entonces, cualquiera que sea la cantidad que coja su compañero, no podrá dejarle a usted menos de dos ni más de cinco, es decir, en cualquier caso, podrá usted dejarle a él en la jugada siguiente la última cerilla. Para esto, en la jugada precedente hay que dejar en la mesa 11 cerillas, y en las jugadas anteriores a ésta, 16, 21, 26, y 31 cerillas respectivamente.
    Así, pues, usted empieza cogiendo una sola cerilla, y en las siguientes jugadas le va dejando a su adversario 26, 21, 16, 11 y 6 cerillas; la última cerilla le tocará a él inevitablemente.
    Volver

  13. «El juego de las 27»
    Aquí es más difícil hallar el procedimiento de ganar siempre que en el «juego de las 32».
    Hay que partir de los dos razonamientos siguientes:
    1. Si al final de la partida tiene usted un número impar de cerillas, deberá dejarle a su adversario cinco cerillas, con lo que estará seguro de ganar el juego. En efecto, en la siguiente jugada su compañero le dejará a usted cuatro, tres, dos o una cerilla; si le deja cuatro, usted coge tres y gana; si le deja tres, cogerá las tres y ganará; y si le deja dos, cogerá una y también ganará.
    2. Si cuando la partida está próxima a terminar usted tiene un. número par de cerillas, deberá dejarle a su adversario seis o siete. Efectivamente, veamos como transcurre después la partida. Si su adversario le deja seis cerillas, en la jugada siguiente coge usted una y, teniendo ya un numero de cerillas impar, puede dejarle tranquilamente cinco cerillas a su compañero, con las cuales él perderá la partida inevitablemente. Si él le deja a usted no seis cerillas, sino cinco, usted coge cuatro y gana. Si le deja cuatro, usted coge todas y gana. Si le deja tres, usted coge dos y gana. Y, finalmente, si le deja dos, también gana usted. Menos de dos no le puede dejar.
    Ahora ya no es difícil hallar el procedimiento para ganar siempre. Este procedimiento consiste en que, si usted tiene un número impar de cerillas, debe dejarle sobre la mesa a su adversario un número de ellas que sea igual a un múltiplo de 6 menos una unidad, a saber, 5, 11, 17 ó 23; y si tiene usted un número par de cerillas, deberá dejarle a su adversario un número de cerillas que sea múltiplo de 6 ó mayor que él en una unidad, es decir, 6 ó 7, 12 ó 13, 18 ó 19, 24 ó 25. El cero puede considerarse como número par; por esto, al empezar la partida deberá usted coger dos o tres de las 27 cerillas, y después proceder de acuerdo con lo antedicho.
    Llevando la partida de este modo, ganará usted con toda seguridad. Pero procure que su adversario no coja el hilo del juego.
    Volver

  14. De otra forma
    Si la condición del juego es la inversa y se considera ganador el que tenga un número impar de cerillas, deberá usted proceder del modo siguiente: si tiene usted un número par de cerillas, déjele a su adversario un número de ellas que sea menor que un múltiplo de 6 en una unidad; y si tiene un número impar, déjele a él un número de cerillas que sea múltiplo de 6 ó mayor que él en una unidad. Esto debe conducir inevitablemente a que gane usted. Al empezar el juego tiene usted cero cerillas (es decir, un número que se considera par); por lo tanto, en la primera jugada coja cuatro cerillas y déjele a su adversario 23.
    Volver

  15. Viaje matemático
    Se explica en el mismo texto
    Volver

  16. Piense un número
    Caso N° 1. Si el número pensado es a, las operaciones que se hacen al principio son:

    (3a + 2) * 3 + a = 10a + 6.

    Se obtiene un resultado de dos cifras, la primera de las cuales es el número pensado, y la segunda es 6.
    Tachando la primera cifra se excluye el número pensado.
    Lo demás se comprende sin dificultad.
    Los casos de adivinación N°2, N°3, N°5 y N°8 son diversas variantes del caso que acabamos de analizar.
    En los casos N°4, N°6, N°7 y N°9 se utiliza otro procedimiento para eliminar el número pensado.
    Por ejemplo, en el N°9 las operaciones que se hacen al principio son:

    170 - (a + 20) - 6 + a = 114.

    Lo demás no es difícil de comprender.
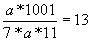
    Para adivinar el N°10 se emplea un procedimiento especial. Escribir a la derecha de un número de tres cifras el mismo número, equivale a multiplicar dicho número por 1001 (por ejemplo, 356 * 1001 = 356 356). Pero 1001 = 7 * 11 * 13. Por esto, si el número pensado es a, las operaciones que se hacen al principio son:


    El resto es comprensible.
    Como puede ver, la adivinación se basa en todos los casos en excluir el número pensado al hacer las operaciones. Sabiendo esto, procure usted mismo idear varios ejemplos nuevos de adivinanza.
    Volver

  17. Vamos a adivinar
    Para comprender en qué consiste la adivinación en estos casos, fíjese en las operaciones que yo le digo que haga con las cifras pensadas.
    En el primer ejemplo usted empezó multiplicando por 5 la cifra; después multiplicó por 2 lo obtenido. Es decir, multiplicó usted la cifra por 2 * 5, o sea, por 10, y todo número multiplicado por 10 da un resultado que termina en cero. Sabiendo esto, yo le pido que le añada 7; ahora ya sé que el número que tiene en su mente es de dos cifras: la primera la desconozco, pero la segunda sé que es 7. La cifra que desconozco le pido que la tache. ¿Qué número tiene ahora en su pensamiento? El 7, claro está. Yo podría decirle ya este número, pero como soy astuto, para que pierda usted la pista le pido que sume y reste a este siete diversos números, cosa que yo también hago mentalmente. Y por fin, le digo que ha obtenido usted 17. Este número tiene que resultarle a usted cualquiera que sea la cifra que piense.
    La segunda vez sigo ya otro camino al hacer la adivinación, de lo contrario descubriría usted demasiado pronto en qué consiste el secreto. Yo hago que empiece usted por triplicar la cifra pensada, luego le pido que vuelva a triplicar el resultado y que al número obtenido le añada la cifra que pensó. ¿Qué debe resultarle a usted en fin de cuentas? Es fácil de comprender, porque todo lo hecho equivale a multiplicar la cifra pensada por 3 * 3 + 1, es decir, por 10. Y otra vez sé que resulta un número de dos cifras, cuya segunda cifra es cero. Y después hago lo mismo que antes: digo que le sume a este número cualquier cifra y que tache a continuación la primera, que para mí es desconocida; queda la cifra que conozco, con la cual se hacen varias operaciones para borrar las huellas.
    Tercer caso. Aquí también se hace lo mismo, pero de otra forma. Yo le digo que duplique la cifra pensada, que lo obtenido vuelva a duplicarlo, que duplique también este segundo resultado y que a lo que salga le sume dos veces la cifra que pensó. ¿Qué da todo estoy Da la cifra pensada multiplicada por 2 * 2 * 2 + 1 + 1, es decir, por 10. Lo demás se comprende fácilmente. Incluso si el número que usted pensó es 1 ó 0, el truco no falla.
    Ahora ya puede hacer usted, tan bien como yo, estos experimentos con aquellos amigos suyos que no hayan leído este libro. También podrá usted idear sus propios procedimientos para adivinar. Esto no es difícil.
    Volver

  18. Adivinar un número de tres cifras
    Fijémonos otra vez en las operaciones que se hicieron con cada cifra. La primera cifra se multiplicó primero por 2, luego por 5 y después por 10, es decir, en total por 2 * 5 * 10 = 100. La segunda cifra se multiplicó por 10. La tercera se añadió sin variación alguna. Además, a todo esto se le sumó 5 * 5 * 10, o sea, 250.
    Por lo tanto, si al número obtenido se le resta 250, quedará: la primera cifra multiplicada por 100, más la segunda multiplicada por diez, más la tercera. En resumen, queda precisamente el número pensado.
    De esto se deduce claramente lo que hay que hacer para adivinar el número pensado: al resultado de todas las operaciones hay que restarle 250. Lo que queda es el número de que se trata.
    Volver

  19. Truco numérico
    Fijándose atentamente en las operaciones hechas, es fácil advertir que el adivinador debe obtener el número pensado multiplicado por 4, más 4. Por lo tanto, si se restan estos 4 y se divide lo demás por 4, se obtiene el número pensado.
    Volver

  20. ¿Cómo adivinar la cifra tachada?
    El que sabe cómo se deduce la condición de divisibilidad por 9, conoce que la suma de las cifras de cualquier número da, cuando se divide por 9, el mismo resto que el propio número. Dos números formados con las mismas cifras, pero colocadas en otro orden, deben, por esta razón, dar los mismos restos si se dividen por 9. Por consiguiente, si de uno de estos números se resta el otro, la diferencia será divisible por 9 (porque la diferencia de los restos iguales es nula).
    Sobre la base de lo expuesto puede usted saber que su compañero obtuvo, como resultado de la resta, un número cuyas cifras dan una suma múltiplo de 9. Como las cifras que él le dijo a usted son 8, 4, 8 y dan la suma 20, la cifra tachada tiene que ser, evidentemente, 7, que sumada a 20 da un número divisible por 9.
    Volver

  21. ¿Cómo adivinar el día y el mes de nacimiento?
    Para saber la fecha que se busca hay que restarle 365 al resultado final; en este caso, las dos últimas cifras de la diferencia indicarán el número de orden del mes, y las que están delante de ellas, el del día. En nuestro ejemplo

    2073 - 365 = 1708.

    Por el número 17-08 deducimos la fecha: 17/VIII. La razón de por qué esto es así se comprende si el número de orden del mes se designa por K, y el del día, por N, y se hacen con ellos las operaciones que se requieren.
    Obtenemos (2K * 10 + 73) * 5 + N = 100K + N + 365.
    Está claro que al restar 365 debemos obtener un número que contenga K centenas y N unidades.
    Volver

  22. ¿Cómo se adivina la edad del interlocutor?
    Haciendo varias veces las operaciones, se nota fácilmente que a la edad hay que añadirle siempre un mismo número, a saber, 1089. Por esto, si del número total que le dicen a usted se resta 1089, debe obtenerse la edad buscada.
    Si el truco se hace varias veces, para evitar que el secreto sea descubierto se puede variar la última operación proponiendo, por ejemplo, dividir por 9 el número 1089 y sumar la edad al cociente.
    Volver

  23. ¿Cómo adivinar el número de hermanos y hermanas?
    Para saber el número de hermanos y hermanas hay que restar 75 del resultado final. En nuestro ejemplo

    122 - 75 = 47.

    La primera cifra de la diferencia es el número de hermanos, la segunda, el de hermanas.
    En efecto, si el número de hermanos es a y el de hermanas es b, las operaciones conducen a la expresión

    [(a + 3) * (5 + 20)] * 2 + b + 5 = 10a + b + 75,

    y en el resto deberá obtenerse un número de dos cifras a y b unidades.
    Este truco puede hacerse si se tiene la seguridad de que el número de hermanas no es mayor que nueve.
    Volver

  24. Truco con la guía de teléfonos
    El secreto de este truco consiste sencillamente en que usted sabía de antemano el resultado final de las operaciones hechas por su compañero: cualquiera que sea el número de tres cifras con que se hagan las operaciones enumeradas, el resultado que se obtenga será siempre el mismo: 1089. De esto es fácil convencerse haciendo la prueba. Mirar previamente la guía de teléfonos y aprenderse el nombre y el apellido del abonado que figura en el renglón noveno (por abajo o por arriba) de la página 108, ya no es cosa difícil.
    Volver

  25. ¿Cómo adivinar una ficha de dominó?
    Veamos lo que se hizo con el primer número. Primero lo multiplicamos por 2, después por 5, y en total por 10. Además, le sumamos el número 7, que después multiplicamos por 2; es decir, le añadimos 7 * 5 = 35.
    Por lo tanto, si al resultado le restamos 35, quedarán tantas decenas como puntos hay en una de las mitades de la ficha. La suma de los puntos de la otra mitad da la segunda cifra del resultado.
    Ahora está claro por qué las cifras del resultado dan de una sola vez los dos números de puntos.
    Volver

  26. Una memoria sorprendente
    El secreto de este truco consiste en que el símbolo de la tarjeta -la letra y la cifra le indica a usted el número que hay escrito en ella.
    Ante todo debe recordar usted que la letra A significa 20; la B, 30; la C, 40; la D, 50 y la E, 60. Por esto, la letra junto con la cifra que lleva al lado significa cierto número. Por ejemplo, A1 significa 21; C3, 43; E5, 65.
    Conociendo este número y siguiendo la regla que veremos a continuación, puede usted formar el número de muchas cifras que figura en la tarjeta. Pondremos un ejemplo para demostrar como se hace esto.
    Supongamos que el símbolo nombrado es E4, es decir, 64. Con este número hace usted lo siguiente:
    Primero, suma sus cifras: 6 + 4 = 10.
    Segundo, lo duplica:
    64 * 2 = 128.
    Tercero, de la cifra mayor resta la menor:
    6 - 4 = 2.
    Cuarto, multiplica entre sí las dos cifras:
    6 * 4 = 24.
    Y los resultados obtenidos los escribe unos a continuación de otros:
    10 128 224.
    Este es el número que hay escrito en la tarjeta.
    Las operaciones que hay que hacer se pueden representar así

    + 2 - *

    es decir, suma, duplicación, resta y multiplicación.
    Otros ejemplos.
    El símbolo de la tarjeta es D3.
    ¿Qué número hay escrito en ella?
    D3 = 53,
    5 + 3 = 8,
    53 * 2 = 106,
    5 - 3 = 2
    5 * 3 = 15
    El número es el 8 106 215.
    El símbolo de la tarjeta es B8. ¿Qué número hay escrito en ella?
    B8 = 38
    3 + 8 = 11
    38 * 2 = 76,
    8 - 3 = 5,
    8 * 3 = 24.
    El número es 1 176 524.
    Para no cansar la memoria, puede usted ir diciendo las cifras a medida que las obtiene o irlas escribiendo despacio en el encerado.
    Como descubrir el ardid que usted utiliza no es fácil, este truco suele desconcertar bastante al público.
    Volver

  27. Una memoria extraordinaria
    El secreto es simple hasta más no poder: usted escribe sucesivamente los números de los teléfonos de varios amigos suyos.
    Volver

  28. Unos dados mágicos
    Todo consiste en el orden en que están dispuestos los números en las caras de cada dado. Los números están colocados de manera que la suma de los que hay en las caras opuestas de cada dado es igual siempre a siete (compruébelo en la fig. 279). Por esto la suma de los números que hay en las caras superiores e inferiores de los cuatro dados que forman la columna es igual a 7 * 4 = 28. Restándole a 28 el número que hay escrito en la cara superior del dado que hay en lo alto, se puede hallar sin temor a equivocación la suma de los números que hay en las siete caras que no se ven de los dados de la columna.
    Volver

  29. Un truco con tarjetas
    Se explica en el texto
    Volver

  30. ¿Cómo adivinar la suma de unos números que no se han escrito?
    Si a un número de cinco cifras se le suman 99 999, es decir, 100 000 - 1 , delante del número aparece un uno y la última cifra disminuye en una unidad. En esto se funda el truco. Sumándole mentalmente 99 999 al primer sumando

    84 706
    +99 999
    escribe usted la suma futura de los tres sumandos: 184 705. Lo único que tiene que hacer ahora es procurar que el segundo y el tercer sumandos juntos sumen 99 999. Para esto, al escribir el tercer sumando, restará usted mentalmente de nueve cada una de las cifras del segundo sumando. En nuestro ejemplo el segundo sumando es 30 485; por lo que usted escribirá 69 514. Y como
    30 485
    +69 594
    -------
    99 999
    el resultado escrito a priori tiene que ser exacto inevitablemente.
    Volver
Hosted by www.Geocities.ws

1