 |
| |
|
| 10. Regresión Lineal |
10.1 Regresión lineal y múltiple. |
| |
|
Dos o más variables pueden estar involucradas en el análisis de regresión y correlación.
Si solamente están involucradas dos variables, se dice que la técnica es una
regresión o correlación simple.
Cuando están implicadas tres o más variables, se tratará de una regresión o correlación múltiple.22
Y = a + b X |
| |
10.2 Variables Independiente, Dependiente).
En la terminología de la regresión, la variable que se va a predecir se llama variable dependiente.La o las variables que se usan para predecir el valor de la variable dependiente se llaman independientes.
Por ejemplo, para analizar el efecto de gastos de publicidad sobre ventas deportivas del un club de fútbol, el deseo del gerente de mercadotecnia, de predecir las ventas, nos sugiere que
“ventas” sea la variable dependiente. Los gastos de publicidad serían la
variable independiente que se usa para poder precisar las ventas. En
notación estadística, y representa la variable dependiente y x la variable independiente.
 En un problema de regresión simple, existe solamente
una variable independiente y una variable dependiente.
 La regresión
múltiple implica dos o más variables independientes y una variable
dependiente.22 |
| |
10.3 Ecuación lineal.
Y = a
+ b X
En donde a es a intersección Y; esto es, el
punto en que la recta y el eje Y se intersectan; y b es la pendiente de la recta,
la cual es el cambio en Y, y por cada cambio unitario en X. La tarea de obtener
una ecuación de regresión implica el cálculo de los valores para a y b. 22 |
| |
|
10.4 Diagrama de dispersión “Nube de puntos”.
Un diagrama de dispersión proporciona una imagen visual del tipo de relación involucrada y sugiere el tipo de ecuación que mejor se ajustará a los datos.
La forma usual de construir un diagrama de dispersión es localizar los valores de la variable independiente X sobre el eje horizontal y los de la variable dependiente Y sobre el eje vertical; así se forma un plano bidimensional con X y Y.
Cada par de observaciones de X y Y (X,Y) está representado mediante un punto en el plano.
Se puede observar en la gráfica que una ecuación de regresión lineal no es el mejor ajuste para los datos representados por estos puntos.
No es la mejor elección debido a que cuando los valores de la variable independiente X son pequeños, un aumento en el valor X va acompañado por un incremento por un decremento en Y.
Aparentemente una curva en forma de campana se ajustaría mejor a los datos. |
| |
|
 |
| |
|
10.5 Cuadrados mínimos.
El criterio de mínimos al cuadrado implica que la recta elegida para ajustar los puntos del diagrama de dispersión sea tal que la suma de los cuadrados de las distancias verticales
entre los puntos y la recta sea lo más pequeño posible.22
Los valores para los coeficientes de a y b son: |
| |
|
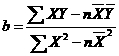
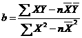
Pendiente de la Ecuación
Intersección en Y |
| |
|
10.6 Ejemplo de Regresión.
En una empresa se realizaron las siguientes investigaciones durante los periodos del 1987 al 1992,
con sus respectivas ganancias.
(Levin, Estadísticas para la administración). |
| |
|
 |
| |
|
Calculamos
la media de las investigaciones y las ganancias (X y Y).
La media de X y Y se realiza sumando la cantidad de datos entre los años, esto nos
da X media= 5, y Y media = 30
1.- Substituya
la siguiente formula para encontrar b. |
| |
|

 |
| |
|
| 2.- Substituya la siguiente formula para encontrar a. |
| |
|

 |
| |
|
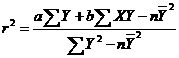
10.7 Coeficiente de correlación
El coeficiente de correlación es un número que nos mide el grado de relación entre la variable dependiente y la independiente, dicho número se representa por r2 y se encuentra entre 0 y 1. Valores próximos al 1 nos indican “buena” relación y valores menores de .5 o .6 nos indica que no hay buena relación. |
| |
|
| 3.- Substituya
la siguiente formula para encontrar r2 (Coeficiente de correlación). |
| |
|

 |
| |
|
Esto se interpreta como: “ El cambio o variación en la variable independiente influye en un 82% en el cambio en la variable dependiente". En otras palabras: La variación en la investigación y desarrollo influye en un 82% en la variación en las ganancias".
Como construir la tabla para calcular la ecuación de regresión:
XY se encuentra con la multiplicación entre X y Y.
X2 Se encuentra con la multiplicación al cuadrado de X.
Y2 Se encuentra con la multiplicación al cuadrado de Y.
Yc Se encuentra con la siguiente formula Y= a + b (x).
Es importante saber que la ecuación de regresión es una ecuación de predicción y que contiene un grado de error, para calcular este error, sustituimos los valores originales de la inversión (x) en la ecuación y la comparamos con los valores reales de las ganancias, el error se aprecia en la siguiente tabla.
Sustituyendo los valores tenemos:
Y = 20 + 2 (2)= 24,
Y = 20 + 2 (3)= 26.
E = Y-Yc , Error de Y- Y Calculada |
| |
|
 |
| |
|