|
 |
| |
|
| 11. Funciones de Distribución Normal y Binomial |
11.1 Introducción. |
| |
|
Esta distribución es frecuentemente utilizada en las aplicaciones estadísticas.
Su propio nombre indica su extendida utilización, justificada por la frecuencia
o la normalidad con la que los ciertos fenómenos tienden a parecerse en su
comportamiento a esta distribución.
Muchas variables aleatorias continuas presentan una función de densidad cuya gráfica
tiene forma de campana.
En otras ocasiones, al considerar distribuciones binomiales, tipo B(n,p), para
un mismo valor de p y de valores de n cada vez mayores, se ve que sus polígonos
de frecuencias se aproximan a una forma en forma de campana.
En resumen, la importancia de la distribución normal se debe principalmente a
que hay muchas variables asociadas a fenómenos naturales que siguen el modelo
de la normal.
- Caracteres morfológicos de individuos (personas, animales, plantas,…) de una
especie.
Por ejemplo: tallas, pesos, envergaduras, diámetros, perímetros,…
- Caracteres fisiológicos, por ejemplo: efecto de una misma dosis de un
fármaco, o de una misma cantidad de abono.
- Caracteres sociológicos, por ejemplo: consciente intelectual, grado de
adaptación a un medio.
- Errores cometidos al medir ciertas magnitudes.
- Valores estadísticos maestrales, por ejemplo: la media.
- Otras distribuciones como la binomial o la Poisson
son aproximaciones normales.
Y en general cualquier característica que se obtenga como suma de mucho
factores. |
| |
11.2 Función De Densidad.
Empleando cálculos bastante
laboriosos, puede demostrarse que el modelo de la función de densidad que
corresponde a tales distribuciones viene dando por la fórmula.
|
| |
Función De Una Distribución
Puede tomar cualquier valor
(- ∞ ,+ ∞ )
Son más probables los valores cercanos a uno central que llamados media
Conforme nos separamos de ese valor µ , la
probabilidad va decreciendo de igual forma a derecha e izquierda (es
simétrica). Conforma nos separamos de ese valor µ , la probabilidad
va decreciendo de forma más o menos rápida dependiendo de un parámetro s, que es la desviación típica. 2 |
| |
|
11. 3 Distribución Normal
Esta distribución es frecuentemente utilizada en las aplicaciones estadísticas. Su
propio nombre indica su extendida utilización, justificada por la frecuencia o
normalidad con la que ciertos fenómenos tienden a parecerse en su
comportamiento a esta distribución.
Muchas variables aleatorias continuas presentan una función de densidad cuya gráfica
tiene forma de campana.
En otras ocasiones, al considerar distribuciones binomiales, tipo B(n,p), para un
mismo valor de p y valores de n cada vez mayores, se ve que sus polígonos de
frecuencias se aproximan a una curva en "forma de campana".
En resumen, la importancia de la distribución normal se debe principalmente a que
hay muchas variables asociadas a fenómenos naturales que siguen el modelo de la
normal.
Caracteres morfológicos de individuos (personas, animales, plantas,…) de una especie, p. Ejemplo: Tallas, pesos, envergaduras, diámetros, perímetros…
Caracteres fisiológicos, por ejemplo; efecto de una
misma dosis de un fármaco, o de una misma cantidad de abono.
Caracteres sociológicos, por ejemplo: consumo de
cierto producto por un mismo grupo de individuos, puntuaciones de examen.
Caracteres psicológicos, por ejemplo: cociente intelectual, grado de adaptación a un medio, Errores cometidos al medir ciertas magnitudes.
Valores estadísticos maestrales, por ejemplo: la media.
Otras distribuciones como la binomial o la de Poisson son aproximaciones normales…
Y en general cualquier característica que se obtenga como suma de muchos factores. 21 |
| |
|
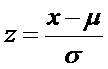
Distribución normal estandarizada
Donde:
z es la variable estandarizada
x es la variable normal
m es la media poblacional
s es la desviación estándar de la población.
Propiedades o características de la Distribución Normal.
- Es simétrica.
- El área bajo la curva es 1.
- Se usan tablas, Excel o fórmulas para calcular las probabilidades.
Ejemplo:
¿Qué porcentaje de atletas de varios equipos de
básquetbol tienen un porcentaje de grasa mayor de 19, sabiendo que la media es
de 16 con una desviación estándar de 3.6?
• Solución: Usando la fórmula de la normal estandarizada:
X= 19, σ = 3.6, μ = 16, obtenemos: z= (19-16)/3.6, entonces z= 0.8333, buscamos en la tabla y encontramos que el porcentaje de atletas con grasa corporal arriba de 19 es del 20.22% |
| |
|
Áreas bajo la curva de la Distribución de Probabilidad Normal
Las probabilidades de la variable aleatoria se determinan con las áreas bajo la curva. Las probabilidades de ciertos intervalos que más se usan son:
- El 68.26 % de las veces, una variable aleatoria normal asume un valor entre más o menos una desviación estándar respecto a su media.
- El 95.44 % de las veces, una variable aleatoria normal toma un valor entre más o menos dos desviaciones estándar respecto a su media.
- El 99.72 % de las veces, una variable aleatoria normal toma un valor entre más o menos tres desviaciones estándar respecto a su media.
|
| |
|
11.4 La
Distribución Binomial
La Distribución Binomial
Supongamos que un experimento aleatorio con los
siguientes alumnos y tiene las siguientes características
 En cada prueba del
experimento sólo son posibles dos resultados: el suceso A (éxito) y su
contrario B (fracaso).
 El resultado obtenido en cada prueba es independiente de los resultados obtenidos anteriormente.
 La probabilidad del suceso A es constante, la representamos por p, y no varia de una prueba a otra. La probabilidad de A es 1- p y la representamos por q.
 El experimento consta de un número n de pruebas. |
| |
|
Todo experimento que tenga estas características
diremos que sigue el modelo de distribución Binomial. A la
variable X que expresa el número de éxitos obtenidos en cada prueba del
experimento, la llamaremos variable aleatoria binomial.
La variable binomial es una variable aleatoria discreta, sólo puede tomar los valores 0,1,2,3,4,....., n suponiendo que se han realizado n pruebas. Como
hay que considerar todas las maneras posibles de obtener k-éxitos y (n-k)
fracasos debemos calcular éstas por combinaciones (número combinatorio n sobre k).
La distribución Binomial se suele representar por B ( n,p) siendo n y p los parámetros de dicha distribución.
Construcción de una Distribución binomial.
Para construir una distribución binomial es necesario conocer el número de pruebas que se repiten y la probabilidad de que suceda un éxito en cada una de ellas.
La fórmula que describe la distribución es la siguiente: |
| |
|
Donde:
n es el número de pruebas
x es el número de éxitos
p es la probabilidad de obtener un éxito
q es la probabilidad de obtener un fracaso,
que se calcula q = 1 – p |
| |
|
11.5 La media y la varianza de una distribución binomial
La media y la varianza de una distribución binomial se calculan:
Estos datos representan n = cantidad de juegos, p = 0.5, la probabilidad de ganar un juego, esto indica que el promedio de juegos ganados es de 40, con 80 partidos jugados.
|
| |
|
Ejemplo:
De acuerdo con los datos de Control Escolar del C.U.C.S., El 25% de los alumnos de la Lic. C.F. Y D. Trabajan en actividades relacionadas con el Entrenamiento Deportivo y la Educación Física.
Si se elige a 10 alumnos en forma aleatoria, calcule la probabilidad de que trabajen en actividades de Entrenamiento Deportivo y la Educación Física:
A) 6 alumnos
B) Menos de 5 alumnos
C) Ningún alumno
D) Mas de tres alumnos
Aquí, n = 10, p = .25, q = 1 – p = .75 y x toma distintos valores de acuerdo a cada inciso.
A) 6 alumnos, x = 6.Buscando en las tablas, encontramos en valor de 10 en la columna de las
n y el valor de x o r en su columna, observamos el número .0162, lo cual significa que la probabilidad de que 6 alumnos de un grupo de 10 trabajen en actividades relacionadas con el entrenamiento y la educación física es del 1.62%.
En Excel buscamos fx, “Estadísticas” y seleccione la opción Distr. Binom.
B) Menos de 5 alumnos. Menos de 5 alumnos significa los valores de 4,3,2,1 y 0. Por lo tanto, se
deberán sumar o acumular las distribuciones binomiales para cada uno de estos
datos. Buscando en las tablas encontramos:
.0563 + .1877 + .2816 + .2503 + .1460 = .9218, lo cual se interpreta
como:
La probabilidad de que menos de 5 alumnos trabajen en actividades de entrenamiento y educación física es del 92.18%.
C) Ninguno. La probabilidad ya la calculamos en el inciso anterior y B( x,n,p) = .0563%.
D) Más de 3. Indica 4,5,6,7,8,9 y 10, se realiza acumulando los resultados de la binomial relacionado con cada número y encontramos:
.1460 + .0584 + 0.162 + .0031 + .0004 + .0000 + .0000, lo cual se interpreta como:
La probabilidad de que mas de 3 alumnos trabajen en actividades de entrenamiento y educación física es del 22.41%. |
| |
|
|