|
|
for publications
click here
|
Magneto-optic Kerr Effect |
|
The magneto-optical Kerr effect (MOKE) is observed as a net
rotation and elliptical polarization of incident vertically linearly polarized
light as it is reflected from a magnetized sample. [1]
This change in the polarization state (or the intensity) of an incident
electromagnetic wave arises due to the interaction of the electric and magnetic
fields of the waves with the spin of the electrons in the material that occurs
through the spin-orbit interaction. The magnitude of this change in polarization
is proportional to the magnetization of the sample. Amount of rotation (in
radians) and of ellipticity (ratio between the minor and major axis of the
ellipse) induced in the reflected beam is of the order of 1/1000, i.e.
relatively small. However, MOKE technique derives its surface sensitivity from
the limited thickness of the deposited magnetic film, which can be as thin as
one atomic layer [2,3].
MOKE magnetometry has emerged as a very popular tool for magnetic
characterization of thin films due to its simplicity, low cost and high
sensitivity. The simplest MOKE setups require a stabilized laser source, one
polarizer, one light detector and an electromagnet to generate the magnetic
field. In reflection mode, one distinguishes between three Kerr effects,
depending on the relative orientation of the magnetization M with
respect to the plane of incidence of the light: the polar, the longitudinal and
transverse Kerr effect as defined schematically in Fig. 1.

Figure 1: The Kerr effect geometries: longitudinal (magnetization along the
plane incidence of the light), transverse (magnetization perpendicular to the
plane incidence of the light) and polar (magnetization in the plane incidence of
the light)
Microscopic origin:
According to Maxwell the Kerr effect
/Faraday effect is a consequence of the two circular modes (which composes the
linear polarized light) having different velocities of propagation. This leads
to a difference in the dielectric constants of left- and right-circularly
polarized light and can accounts for the Faraday rotation. It is now established
that the spin-dependent dielectric constant is a consequence of the spin-orbit
interaction which couples the electron spin to its motion
[2,3].
The change of the wave-functions due to the spin-orbit interaction is now
believed to gives rise to a correct order-of-magnitude of the difference of the
two refractive indices. A full derivation of the magneto-optic effect in a
ferromagnet using perturbation theory can be found from Argyres
[4]
To the Top
Macroscopic Formalism:
Macroscopic descriptions of the magneto-optic effect are based on an analysis of
the dielectric properties of a medium. Maxwell expressed linearly polarized
light as being a superposition of two circularly polarized components, and
realized that the Faraday effect is a result of the different propagating
velocities of the two circular modes. The dielectric property of a medium is
characterized by a 3x3
tensor eij
with i, j= 1, 2, 3. In general, this dielectric tensor can be decomposed into
symmetric and antisymmetric parts. The symmetric part can be diagonalized by an
appropriate rotation of coordinates. If the three eigenvalues are the same, the
medium is isotropic, and the dielectric tensor is reduced to a dielectric
constant. Otherwise, the medium is anisotropic. Nevertheless, the normal modes
of the symmetric tensor,
exx are
linearly polarized light. Therefore, the symmetric part of the dielectric tensor
does not give rise to the Faraday effect and hence will be assumed to be
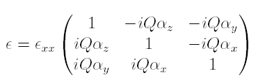
isotropic. When a beam of light is incident from a nonmagnetic medium 0 to a
magnetic medium 1, having an arbitrary direction of the magnetization as shown in Fig. 1, the dielectric tensor
eij can be
written as follows:
[5]

........(1)
where
ezz
=
exx
for
simplicity. The magnetooptical constant Q is defined as
Q =iexy
/exx
and ax
,ayand
az are the direction cosines for the magnetization vector,
Ms.
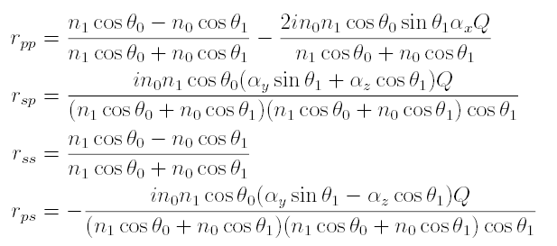
The next step is to determine the elements of the Fresnel reflection matrix by
solving Maxwell equations for the above dielectric tensor. The Fresnel
reflection matrix is written in the following way.
........................(2)
The subscript and superscript notation signify, for example,
that rsp
is the coeffcient for relating the reflected s-wave to the
incident p-wave [6]. Notice then
that the diagonal elements,
rpp
and
rss,
are the coe�cients signifying how much of the original polarization-state is
simply reflected, while the off-diagonal elements,
rps
and
rsp,
give rise to the net rotation and elliptical polarization that is the
magneto-optical Kerr effect. By solving the Maxwell equations the Fresnel
reflection coefficients can be evaluated for an arbitrary magnetization
direction [5]. These are
expressed in the following way:
...........(3)
where q0, n0,
and q1, n1
are the angle of incidence, the refractive
index of the nonmagnetic medium 0, and that of the magnetic medium 1,
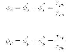
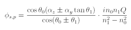
respectively. The Kerr rotation
f�
and ellipticity
f�'
for p- and s-polarized light are then
given by:

The Kerr effects in the general case of arbitrary magnetization
direction and oblique incidence can be now obtained using Eq. (3).

where the positive sign and the negative are for p-polarized and
s-polarized light, respectively. Here, the Kerr effect is expressed as the
product of two simple factors: the pre-factor is a simple function of the
optical parameters of the media and the direction of the magnetization, and the
second factor is the polar Kerr effect for normal incidence.
also see
useful links |
|
Literature on MOKE
[ 1]
J. Kerr, Philos. Mag. 3, 339 (1877).
[2]
Z. Q. Qiu and S. D. Bader, Rev. Sci. Instrum. 71, 1243 (2000).
[3] Z. Q.
Qiu and S. D. Bader, J. Magn. Magn. Mater. 200, 664 (1999).
[4] P. N.
Argyres, Phys. Rev. 97, 334 (1955).
[5] C.-Y.
You and S.-C. Shin, Appl. Phys. Lett. 69, 1315 (1996).
[6]
J. M. Florczak and E. D. Dahlberg, J. Appl. Phys. 67, 7520 (1990).
[7] Z. J.
Yang and M. R. Scheinfein, J. Appl. Phys. 74, 6810 (1993).
To the Top |
|
Last updated
26-10-2005 |
|
Useful links (MOKE):
Cambridge Univ. Intro
York Univ.
Thesis from MIT
Queen's
Univ. MOKE Hys Plotter
Kerr microscopy from NIST
Italian
University
Foundations
Molecular Beam Epitaxy
Reflection High Energy
electron Diffraction (RHEED)
High Resolution X-Ray Diffraction
X-ray reflectivity
In-situ Kerr Effect
(MOKE)
SQUID Magnetometry
Magnetotransport
SPINTRONICS BASICS
Research
Highlights
|