This trading tip for the bat pattern focusses on the so-called "BAMM" - (Bat Action Magnet Move) - documented by Scott Carney, in his book "Harmonic Trading of the Financial Markets: Volume Two".
Consider the following emerging bat pattern:-

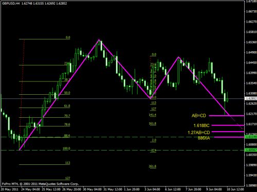
The BAMM is traded as a breakout from the B level of the potential Bat pattern, to target the D area in the 0.886xa region. But only do this - when the CD direction is with the predominant trend - as it happened to be here.
A strong demand zone, (green dashed lines) also coincides with the D target area.
In this case there was an opportunity to gain about 170 pips from the B level to the target at D.
And of course, at the D at the 0.886xa level, the conventional bullish bat trade was also on offer to be taken - for another 170 pips, at least, with the first target being the B level.
2 Key Tips for trading the BAMM
Learn how Adaptive Position Sizing can grow your account balance - exponentially.
Real-time harmonic alerts to pc and email. Free harmonics education videos and harmonic software. Harmonic traders chat room.
Certified Harmonic Trading Educational Webinar Series
Over 15 hours of educational lessons narrated and presented by the originator of Harmonic Trading, Scott Carney.
I use ForexSmartTools to run my forex trading business. Watch the video - see how they work
Further Reading
Good Books for Harmonic Traders