脂肪酸代謝


脂肪酸代謝は、ミトコンドリア内で行なわれる。(合成は細胞液で行なう。)

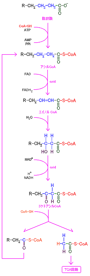
直鎖脂肪酸は、カルボキシル基とα炭素が、アセチルCoAの形で外れ、炭素2個分ずつ短く分解される。

反応は、左に示す過程を経る。

β炭素の酸化が、反応の中心である事が分かる。

一サイクルの分解の過程(炭素2個が外れる過程)で、FADNAD+が一分子ずつ生じる。

また、分解によって得られる2個の炭素は、アセチルCoAの形なので、これはTCA 回路に導入され、エネルギーを産生する。

  1. アシルCoAと生成
  2. β酸化経路


次のページTCA 回路目次へハイレベル目次へ

Hosted by www.Geocities.ws

1