[ハイレベル]


CoA

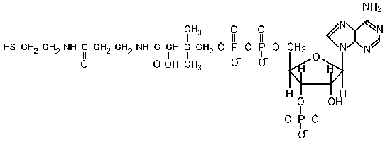
補酵素A


末端に−SHがあるから、チオールの一種。

アシル基の活性化が主な任務。


目次へ


This page hosted by Get your own Free Homepage
Hosted by www.Geocities.ws

1