脂肪酸合成


脂肪酸代謝はミトコンドリアで行なわれるが、合成は細胞液で行なわれる。

(生化学一般に見られるように)両者は単なる逆反応ではなく、異なる経路を取る。

しかし、代謝も合成も、炭素2原子ずつ行なう点は共通している。



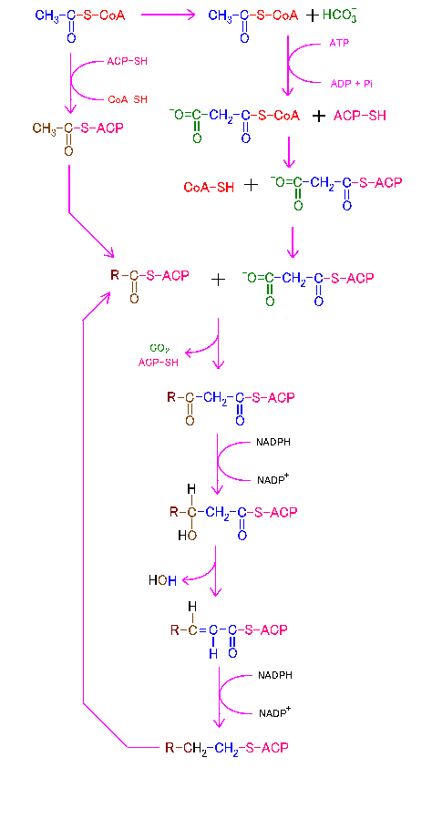
合成経路が代謝経路と大きく異なる特徴の一つは、反応が ACP(アシルキャリアプロテイン) と呼ばれる酵素に結合した状態で、チオール型のエステル状態で進行する事である。



反応は、まず アセチルCoA が重炭酸イオンと結合し、カルボキシル化する事で始まる。この反応には、ビオチンが介在し、ATPを消費する。



この段階を触媒する、アセチルCoAカルボキシラーゼは、TCA回路で重要なクエン酸、イソクエン酸によって、アロステリックに調整されているので、結果的に、これが脂肪酸合成系の動作状況を調整している。



アセチルCoAがカルボキシル化して生じた マロニルCoA は、酵素によって変換され、マロニルACP になる。



これに、反応の最終生成物である、脂肪酸にACPが結合した物と結合し、炭素鎖を伸ばす。

この際、先ほど導入した重炭酸イオンの炭素は、二酸化炭素として外れるので、最終生成物には入らない。



その後、β位カルボニル基を潰すために、還元、脱水、再還元が行なわれる。これは、代謝の調度反対の反応になっているね。

但し、関係するのがNAD+ではなくNADP+に関係した NADPH である点に注意をしよう。

NADPH は、ペントースリン酸経路で作られる。



こうして生じた、脂肪酸にACPが結合した物は、再びマロニルACPと結合し、1サイクルで、2炭素ずつ、炭素鎖を伸ばす。

なお、この反応はパルミトイルACPで終了するので、パルミチン酸までしか行かない。


脂肪酸代謝目次へハイレベル目次へ

Hosted by www.Geocities.ws

1