[ハイレベル]

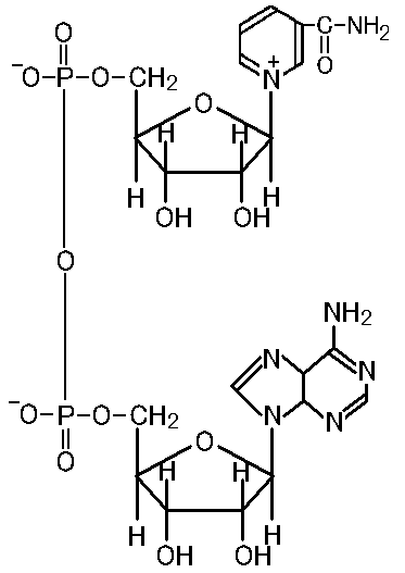
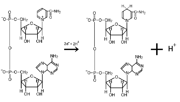
電子荷体。
糖代謝系(解糖系+TCA回路)で、電子を受取りミトコンドリアへ運搬するのが重要な任務。
電子を奪い取るのだから、酸化剤の一種。(脱水素酸化剤)

似たような任務をする物に、FADがあるが、NAD+ が 3ATP を産生するのに対して、FAD は 2ATP を産生する点が違う。
また、NAD+ も FAD も電子を二個、水素イオンを二個受取る事は共通しているのだが、FADは直接、電子を二個と、水素イオン二個と結合するのに対して、NAD+ は電子を二個と、水素イオン一個と結合し、もう一個の水素イオンとは直接結合はしない点が異なる。