[ハイレベル]


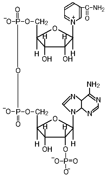
NADP+


水素供与体。

NAD+とそっくりだが、水素供与が主な任務。(つまり還元剤)

アセチルCoAから脂肪酸を合成するとき、大量に必要となる。

ペントースリン酸系で供給される。


目次へ


This page hosted by Get your own Free Homepage
Hosted by www.Geocities.ws

1