アセチルCoAのTCAへの導入

TCA回路


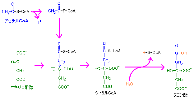
TCA回路の最初の段階として、アセチルCoAを、TCA回路に導入する反応がある。

この反応も、アルドール縮合であり、カルボニル基のα水素が容易に脱離すること、またカルボニル基が、正に帯電しており、求核反応を受け易い事が関係している。

もとのオキサロ酢酸のケトン基が、縮合によって、アルコールに変化していることから、アルドール縮合の特徴が覗える。(クライゼン縮合との違い)

なお、反応は、シトリルCoA が加水分解してクエン酸を生じる反応で、右に引っ張られる。


次のページTCA回路目次へハイレベル目次へ

Hosted by www.Geocities.ws

 1