
「ショ糖」って言ったら分かり難いですが、早い話が「お砂糖」の事です。
我々に一番馴染みの有る糖ではないですかね?
「ショ糖」と言うのは、「αグルコース(ブドウ糖)」と「βフルクトース(果糖)」が「縮合重合」してできたものです。
「サッカロース」や「スクロース」とも言います。
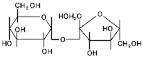
ショ糖は「αグルコース(ブドウ糖)」と「βフルクトース(果糖)」が「縮合重合」してできたものだという事は既に書きましたが、構造的な話をしておかなくちゃ分からないと思いますので、描いて見ましょう。

グルコースの1番炭素の水酸基と、フルクトースの5番炭素の水酸基の間で H と OH が脱離しまして、

合体するんですね。
「単糖類」「二糖類」で唯一、還元性を持たないのが、この「ショ糖」です。
といいますのは、構造に注目してみましょう。

グルコースの1番炭素の水酸基と、フルクトースの5番炭素の水酸基の間で結合しているんでしょ?
また、グルコースもフルクトースも、還元性を持つためには、鎖状構造を採る必要があるんでしたよね。
グルコースとフルクトースが鎖状構造を採る場合に、切れなくてはならない結合個所は、図の位置でしたよね。そして結合が切れるためには、水酸基の存在が必要でした。しかしショ糖の場合は、グルコースとフルクトースの結合に使ってしまっていますから、空いていないですね。つまりショ糖になったグルコースとフルクトースは、鎖状構造を採れないんですね。
単糖類は全て還元性がありましたよね。に糖類の麦芽糖(マルトース)だって還元性がありましたし、次に登場するラクトースだってあります。
つまり、単糖類、二糖類で、還元性が無いのは、こいつだけなんですね。こりゃ、大きな特徴ですね。
これは麦芽糖(マルトース)と事情が同じなんですが、ショ糖(サッカロース・スクロース)も体に入ると消化されてから吸収されます。
で、消化とはやっぱり加水分解でして、

加水分解されて、「グルコース」と「フルクトース」になる事なんですね。
この加水分解をさせる触媒は、マルトースの時のマルターゼではなくて、サッカラーゼ(スクラーゼ)という酵素(タンパク質でできた触媒)なんです。
二糖類の目次へ:糖の目次へ:独学ための有機化学の「次のページ」へ:独学ための有機化学へ:目次へ