フルクトース(果糖)にも還元性がある

フルクトース


では、鎖状フルクトースが還元性を持っている理由を説明してみましょう。

もともとアルデヒド基が無いのに、還元性が有るのは、分子内置換反応でアルデヒド基が生じるためなんです。

この場合の分子内置換反応は、以下の手順で起きます。

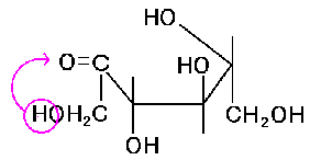
まず、一番炭素の水酸基の水素分子が、二番炭素のカルボニル基(ケトン基)に移ります。

その結果、こんな中間状態を生じます。

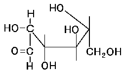
さらに次がややこしいですが、水素が一番炭素から二番炭素に移動し、

このような中間状態を経由して、

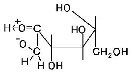
最終的に、

という状態を生じます。

この状態ではアルデヒド基が生じていますね? だから還元性がある訳です。

非常にややこしかったんですが、要は最初と最後に注目して下さい。早い話が、一番炭素と二番炭素の間で、水酸基とカルボニル基が入れ替わっているんです。

実は、この反応、つまり「炭素鎖末端で隣り合う水酸基とカルボニル基は、入れ替わる事ができる」という事は、フルクトースの場合に限りません。一般的に成り立つ反応です。

この事について、良い問題がありますので、こちらを読んで見てください。


還元力検出反応ブドウ糖糖の目次へ独学ための有機化学の「次のページ」へ独学ための有機化学へ目次へ


This page hosted by Get your own Free Homepage
Hosted by www.Geocities.ws

 1