さて、ここまでの説明を良く読んで下さった方は、「あれ?」っと思われたのではないでしょうか。
糖の最初のページで糖の定義が「同一分子内に、二つ以上の水酸基と、カルボニル基を持つ化合物」と書いたのに、右の構造式には、カルボニル基なんかないですね。
ここが重要なのです。
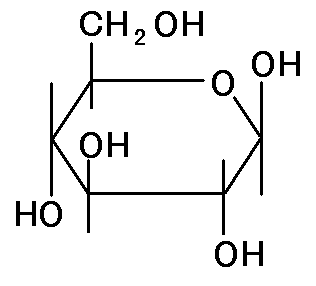
実は右に書いた構造は、「ブドウ糖」の「ある状態」に過ぎません。他の状態も存在するのです。
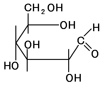
本来ブドウ糖は、右の様な環状構造ではなくて、

こんな鎖状構造なのです。
これと同じ物を、ちょっと曲げて描いた物が、右の絵です。
一番炭素に注目して下さい。アルデヒド基がありますね。ですから、この状態を「アレデヒド型グルコース」とも言います。 ですから、さっきの定義「同一分子内に、二つ以上の水酸基と、カルボニル基を持つ化合物」を満たしている訳です。
では、このアルデヒド型グルコースと、上に描いた環状グルコースには、どういう関係があるのでしょうか?
それは上の図を見てください。
5番炭素の水酸基は外れ易く、1番炭素のアルデヒド基の酸素の非共有電子対に結合する事があります。
水素が5番から1番に移動すると、余った電子が5番についた酸素から1番炭素に供給され、結合が出来ます。
こうしてできるのが、環状グルコースです。
ところで、アルデヒド型グルコースから環状グルコースを生じる時、1番炭素に付いた酸素だけは、上下逆さまになる事が出来ます。これもグルコースには違いないのです。
つまり、環状グルコースには二種類ある訳ですね。
右に描いたような、水酸基が上についたグルコース(正確には、6番炭素と同じ方向に水酸基が向いているグルコース)を「β型グルコース」と言います。それに対して、最初に「これがグルコースだ!」と描いて見せた、水酸基が下にあるタイプを「α型グルコース」と言います。
そして、α型とアルデヒド型とβ型は、常に平衡状態として存在します。
存在比は覚えなくて結構ですが、参考のために書きますと、α型が33%、β型が67%、アルデヒド型は0.1%程度です。この事が、次のページに書きます「還元性」に関わってきます。
では、その話に進みましょう。
ブドウ糖の目次:糖の目次へ:独学ための有機化学の「次のページ」へ:独学ための有機化学へ:目次へ