Capacitores
Uma visão geral
Os formatos típicos consistem em dois eletrodos ou placas que armazenam cargas opostas. Estas duas placas são condutoras e são separadas por um isolante ou por um dielétrico. A carga é armazenada na superfície das placas, no limite com o dielétrico. Devido ao fato de cada placa armazenar cargas iguais, porém opostas, a carga total no dispositivo é sempre zero. Quando uma diferença de potencial V = Ed é aplicada às placas deste capacitor simples, surge um campo elétrico entre elas. Este campo elétrico é produzido pela acumulação de uma carga nas placas.
Capacitância
A propriedade que estes dispositivos têm de armazenar energia elétrica sob a forma de um campo eletrostático é chamada de capacitância (C) e é medida pelo quociente da quantidade de carga (Q) armazenada pela diferença de potencial ou voltagem (V) que existe entre as placas: C = Q/V;
Pelo Sistema Internacional (SI), um capacitor tem a capacitância de um Farad (F) quando um Coulomb de carga causa uma diferença de potencial de um Volt (V) entre as placas. O Farad é uma unidade de medida considerada muito grande para circuitos práticos, por isso, são utilizados valores de capacitâncias expressos em microfarads (μF), nanofarads (nF) ou picofarads (pF).
A equação acima é exata somente para valores de Q muito maiores que a carga do elétron (e = 1.602·10-19C). Por exemplo, se uma capacitância de 1 pF fosse carregada a uma tensão de 1 µV, a equação perderia uma carga Q = 10-19C, mas isto seria impossível já que seria menor do que a carga em um único elétron. Entretanto, as experiências e as teorias recentes sugerem a existência de cargas fracionárias.
A capacitância de um capacitor de placas paralelas constituído de dois eletrodos planos idênticos de área A separados à distância constante d é aproximadamente igual a:C = EoErA/d;
onde
- C é a capacitância em farads
- Eo é a permissividade eletrostática do vácuo ou espaço livre
- Er é a constante dielétrica ou permissividade relativa do isolante utilizado.
Energia
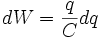
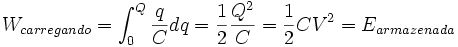
A energia (no SI, medida em Joules) armazenada em um capacitor é igual ao trabalho feito para carregá-lo. Considere um capacitor com capacitância C, com uma carga +q em uma placa e -q na outra. Movendo um pequeno elemento de carga dq de uma placa para a outra contra a diferença de potencial V = q/C necessita de um trabalho dW:

Nós podemos descobrir a energia armazenada em um capacitor integrando essa equação. Começando com um capacitor descarregado (q=0) e movendo carga de uma placa para a outra até que as placas tenham carga +Q e -Q, necessita de um trabalho W:


Os elétrons das moléculas mudam em direção à placa da esquerda positivamente carregada. As moléculas então criam um campo elétrico do lado esquerdo que anula parcialmente o campo criado pelas placas. (O espaço do ar é mostrado para maior clareza; em um capacitor real, o dielétrico fica em contato direto com as placas.)
Circuitos elétricos
Os elétrons não podem passar diretamente através do dielétrico de uma placa do capacitor para a outra. Quando uma voltagem é aplicada a um capacitor através de um circuito externo, a corrente flui para uma das placas, carregando-a, enquanto flui da outra placa, carregando-a, inversamente. Em outras palavras, quando a voltagem ou tensão que flui por um capacitor muda, o capacitor será carregado ou descarregado. A fórmula corrente é dada por

Onde I é a corrente fluindo na direção convencional, e dV/dt é a derivada da voltagem ou tensão, em relação ao tempo.
No caso de uma tensão contínua (DC ou também designada CC) logo um equilíbrio é encontrado, onde a carga das placas corresponde à tensão aplicada pela relação Q=CV, e nenhuma corrente mais poderá fluir pelo circuito. Logo a corrente contínua (DC) não pode passar. Entretanto, correntes alternadas (AC) podem: cada mudança de tensão ocasiona carga ou descarga do capacitor, permitindo desta forma que a corrente flua. A quantidade de "resistência" de um capacitor, sob regime AC, é conhecida como reatância capacitiva, e a mesma varia conforme varia a freqüência do sinal AC. A reatância capacitiva é dada por:

Onde:
- XC = reatância capacitiva, medida em ohms
- f = freqüência do sinal AC, em Hertz - Hz
- C = capacitância medida em Farads F
É denominada capacitância pois o capacitor reage a mudanças na tensão, ou diferença de potencial.
Desta forma a reatância é proporcionalmente inversa à freqüência do sinal. Como sinais DC (ou CC) possuem freqüência igual a zero, a fórmula confirma que capacitores bloqueiam completamente a corrente aplicada diretamente, após um determinado tempo, em que o capacitor está carregando. Para correntes alternadas (AC) com freqüências muito altas a reatância, por ser muito pequena, pode ser desprezada em análises aproximadas do circuito.
A impedância de um capacitor é dada por:

cujo j é o número imaginário.
Portanto, a reatância capacitiva é o componente imaginário negativo da impedância.
Em um circuito sintonizado tal como um receptor de rádio, a freqüência selecionada é uma função da indutância (L) e da capacitância (C) em série, como dado em

Essa é a freqüência na qual a ressonância ocorre, em um circuito RLC em série.
Associação de capacitores
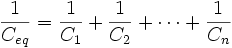
Num circuito de condensadores montados em paralelo [blue] todos estão sujeitos à mesma diferença de potencial (voltagem). Para calcular a sua capacidade total (Ceq):


A corrente que flui através de capacitores em série é a mesma, porém cada capacitor terá uma queda de voltagem (diferença de potencial entre seus terminais) diferente. A soma das diferenças de potencial (voltagens) é igual a diferença de potencial total. Para conseguir a capacitância total:


Na associação mista de capacitores, tem-se capacitores associados em série e em paralelo. Nesse caso, o capacitor equivalente deve ser obtido, resolvendo-se o circuito em partes, conforme a sua configuração. Por isso, calcule, antes associação de capacitores em série para após efetuar o cálculo dos capacitores em paralelo.
Capacitores práticos
Capacitores Comuns
Pequenos capacitores de vários tipos estão disponíveis comercialmente com capacitâncias variando da faixa de pF até mais do que um Farad, e voltagem acima de milhares de volts. Em geral, quanto maior a capacitância e a voltagem, maior o tamanho físico do capacitor (e geralmente, um preço maior também). A tolerância para capacitores discretos é geralmente especificada como 5% ou 10%.
Capacitores são freqüentemente classificados de acordo com o material usados como dielétrico. Os seguintes tipos de dielétricos são usados:
- cerâmica (valores baixos até cerca de 1μF)
- C0G or NP0 - tipicamente de 4.7pF a .047uF, 5%. Alta tolerância e performance de temperatura. Maiores e mais caros
- X7R - tipicamente de 3300pF a .33uF, 10%. Bom para acoplamento não-crítico, aplicações com timer.
- Z5U - tipicamente de .01uF a 2.2uF, 20%. Bom para aplicações em bypass ou acoplamentos. Baixo preço e tamanho pequeno.
- poliestireno (geralmente na escala de picofarads)
- poliéster (de aproximadamente 1nF até 1μF)
- polipropilêno (baixa perda. alta voltagem, resistente a avarias)
- tântalo (compacto, dispositivo de baixa voltagem, de até 100μF aproximadamente)
- eletrolítico (de alta potência, compacto mas com muita perda, na escala de 1μF-1000μF)
- ar
Propriedades importantes dos capacitores, além de sua capacitância, são a máxima voltagem de trabalho e a quantidade de energia perdida no dielétrico. Para capacitores de alta potência a corrente máxima e a Resistência em Série Equivalente (ESR) são considerações posteriores. Um ESR típico para a maioria dos capacitores está entre 0.0001 e 0.01 ohm, valores baixos preferidos para aplicações de correntes altas.
Já que capacitores têm ESRs tão baixos, eles têm a capacidade de entregar correntes enormes em circuitos curtos, o que pode ser perigoso. Por segurança, todos os capacitores grandes deveriam ser descarregados antes do manuseio. Isso é feito colocando-se um resistor pequeno de 1 a 10 ohm nos terminais, isso é, criando um circuito entre os terminais, passando pelo resistor.
Capacitores também podem ser fabricados em aparelhos de circuitos integrados de semicondutores, usando linhas metálicas e isolantes num substrato. Tais capacitores são usados para armazenar sinais analógicos em filtros chaveados por capacitores, e para armazenar dados digitais em memória dinâmica de acesso aleatória (DRAM). Diferentemente de capacitores discretos, porém, na maior parte do processo de fabricação, tolerâncias precisas não são possíveis (15-20% é considerado bom).
Capacitores variáveis
Há dois tipos distintos de capacitores variáveis, cujas capacitâncias podem ser mudadas intencionalmente e repetidamente ao longo da vida do dispositivo:
- Aqueles que usam uma construção mecânica para mudar a distância entre as placas, ou a superfície da área das placas superpostas. Esses dispositivos são chamados capacitores de sintonia, ou simplesmente "capacitores variáveis", e são usados em equipamentos de telecomunicação para sintonia e controle de freqüências.
- Aqueles que usam o fato de que a espessura da camada de depleção de um diodo varia com a voltagem da corrente contínua atravessando o diodo. Esses diodos são chamados de diodos de capacitância variável, varactores ou varicaps. Qualquer diodo exibe esse efeito, mas dispositivos vendidos especificamente como varactores têm uma área de junção grande and a doping profile specifically designed to maximize capacitance.
- Em um capacitor microfone (comumente conhecido como um microfone condensador), o diafragma age como uma placa do capacitor, e as vibrações produzem alterações na distância entre o diafragma e uma placa fixa, alterando a voltagem entre as placas.
Capacitores de Camada Dupla Elétrica (EDLCs)
Esses dispositivos, freqüentemente chamados de supercapacitores ou ultracapacitores para simplificar, são capacitores que usam uma camada de eletrolítico de espessura molecular, ao invés de uma folha manufataurada de material, como o dielétrico. Como a energia armazenada é inversamente proporcional à espessura do dielérico, esses capacitores têm uma densidade de energia extremamente alta. Os eletrodos são feitos de carbono ativado, que tem uma área de superfície alta por unidade de volume, aumentando a densidade de energia do capacitor. EDLCs individuais têm capacitâncias de centenas ou até milhares de farads.
Os EDLCs podem ser usados como substitutos para baterias em aplicações em que uma grande corrente de descarga seja nencessária. Eles também podem ser recarregados centenas de milhares de vezes, diferentemente das baterias convencionais que duram apenas algumas poucas centenas ou milhares de ciclos de recarga.
Aplicações
Capacitores são comumente usados em fontes de energia onde elas suavizam a saída de uma onda retificadora completa ou metade.
Por causa de os capacitores passarem sinais de Corrente Alternada mas bloquearem Corrente Contínua, eles são freqüentemente usados para separar componentes de AC e DC de um sinal. Este método é conhecido como acoplamento AC.
Capacitores também são usados na correção de fator de potência. Tais capacitores freqüentemente vêm como três capacitores conectados como um carga de três fases. Geralmente, os valores desses capacitores são dados não em farads, mas em potência reativa em volts-amps reativos (var).
História
A Jarra de Leyden, primeira forma de capacitor, fora inventada na Universidade de Leiden, na Holanda. Era uma jarra de vidro coberta com metal. A cobertura interna era conectada a uma vareta que saia da jarra e terminava numa bola de metal
Corrente de Deslocamento
O físico James Clerk Maxwell inventou o conceito de corrente de deslocamento, dD/dt, para fazer a Lei de Ampère consistente com a conservação de carga em casos em que a carga se acumula, por exemplo num capacitor. Ele interpretou isso como um movimento real de cargas, mesmo no vácuo, onde ele supôs que corresponderia ao movimento de cargas de um dipolo no éter. Embora essa interpretação tenha sido abandonada, a correção de Maxwell à lei de Ampere permanece válida (um campo elétrico variável, produz um campo magnético).
A corrente de deslocamento deve ser incluída, por exemplo, para aplicação das Leis de Kirchhoff a um capacitor. Capacitores usando letras em seus valores.
= nano Farad
( x10-9 )
ou
( 0,000000001 ) |
O desenho ao lado, mostra capacitores que tem os seus valores, impressos em nanofarad (nF) = 10-9F. Quando aparece no capacitor uma letra "n" minúscula, como um dos tipos apresentados ao lado, por exemplo: 3n3, significa que este capacitor é de 3,3nF. No exemplo, o "n" minúsculo é colocado ao meio dos números, apenas para economizar uma vírgula e evitar erro de interpretação de seu valor.
Multiplicando-se 3,3 por x10-9 = (0,000.000.001), teremos 0,000.000.003.3 F. Para se transformar este valor em microfarad, devemos dividir por 10-6 = (0,000.001), que será igual a 0,0033µF. Para voltarmos ao valor em nF, devemos pegar 0,000. 000.003.3F e dividir por 10-9 = ( 0,000.000.001 ), o resultado é 3,3nF ou 3n3F.
Para transformar em picofarad, pegamos 0,000.000.003.3F e dividimos por x10-12, resultando 3300pF. Alguns fabricantes fazem capacitores com formatos e valores impressos como os apresentados abaixo. O nosso exemplo, de 3300pF, é o primeiro da fila.
Note nos capacitores seguintes, envolvidos com um círculo azul, o aparecimento de uma letra maiúscula ao lado dos números. Esta letra refere-se a tolerância do capacitor, ou seja, o quanto que o capacitor pode variar de seu valor em uma temperatura padrão de 25° C. A letra "J" significa que este capacitor pode variar até 5% de seu valor, a letra "K" = 10% ou "M" = 20%.
Seguem na tabela abaixo, os códigos de tolerâncias de capacitância.
Até 10pF |
Código |
Acima de 10pF |
0,1pF
|
B |
|
0,25pF
|
C |
|
0,5pF
|
D |
|
1,0pF
|
F |
1%
|
|
G |
2%
|
|
H |
3%
|
|
J |
5%
|
|
K |
10%
|
|
M |
20%
|
|
S |
-50% -20% |
|
Z |
+80% -20%
ou
+100% -20% |
|
P |
+100% -0% |
A seguinte tabela mostra a capacitância e a voltagem de alguns tipos de capacitores:
CAPACITOR
|
Tipo |
Capacitância / Voltagem |
Cerâmico |
270pF / 4000V |
Cerâmico |
680pF / 500V |
Cerâmico |
0.010µF / 400V |
Cerâmico |
0.022µF / 400V |
Eletrolítico |
1µF / 63V |
Eletrolítico |
100µF / 63V |
Eletrolítico |
150µF / 40V |
|