| CULATA | |||||||||||||||||||||||||||||||||||||||||||||||||||||||||||||||||||||||||
| Es la parte superior del motor en donde se encuentran las v�lvulas y las c�maras de combusti�n; en algunos motores y generalmente los modernos (a partir de los a�os 60) tambi�n se encuentra el eje de levas, junto con los mecanismos necesarios para la apertura y cierre de las v�lvulas. |
|||||||||||||||||||||||||||||||||||||||||||||||||||||||||||||||||||||||||
![]() |
|||||||||||||||||||||||||||||||||||||||||||||||||||||||||||||||||||||||||
| Para el dise�o de una culata deben tenerse en cuenta tres factores primordiales, que son el buen rendimiento, poca contaminaci�n y bajo costo de fabricaci�n. La culata tambi�n tiene conductos de refrigeraci�n y lubricaci�n, los cuales deben conservarse constantes durante toda su longitud, o como m�ximo, permitir alguna conicidad. �sta generalmente est� fabricada de aluminio o aleaciones ligeras. | |||||||||||||||||||||||||||||||||||||||||||||||||||||||||||||||||||||||||
| Una culata debe ser resistente a la presi�n de los gases, poseer buena conductividad t�rmica, ser resistente a la corrosi�n y poseer un coeficiente de dilataci�n exactamente igual al del bloque de cilindros. | |||||||||||||||||||||||||||||||||||||||||||||||||||||||||||||||||||||||||
![]() |
|||||||||||||||||||||||||||||||||||||||||||||||||||||||||||||||||||||||||
| Las partes principales de una culata son las c�maras de combusti�n, las v�lvulas con su gu�as y sellos, el eje o los ejes de levas cuando se encuentran en ella y el sistema de distribuci�n | |||||||||||||||||||||||||||||||||||||||||||||||||||||||||||||||||||||||||
![]() |
|||||||||||||||||||||||||||||||||||||||||||||||||||||||||||||||||||||||||
| La forma y caracter�sticas de una culata, est�n estrechamente ligadas a la evoluci�n de los motores y han sido condicionadas por el tipo de distribuci�n y por la forma de la c�mara de combusti�n. | |||||||||||||||||||||||||||||||||||||||||||||||||||||||||||||||||||||||||
| PARTES DE LA CULATA La culata puede ser dividida en las siguientes partes, tomandolas como las principales. 1. C�MARAS DE COMBUSTI�N "Es el espacio de los motores de combusti�n interna en donde tiene lugar la combusti�n de la mezcla de aire y carburante." |
|||||||||||||||||||||||||||||||||||||||||||||||||||||||||||||||||||||||||
![]() |
|||||||||||||||||||||||||||||||||||||||||||||||||||||||||||||||||||||||||
| La c�mara debe cumplir con algunos requisitos, para ser eficiente, como son ser peque�a para reducir al m�nimo la superficie absorbente del calor generado por la inflamaci�n de la mezcla, no tener grietas o rincones que causen combusti�n espont�nea o cascabeleo y debe poseer un espacio para la ubicaci�n de la buj�a, la cual preferiblemente debe estar en el centro geom�trico de la c�mara. | |||||||||||||||||||||||||||||||||||||||||||||||||||||||||||||||||||||||||
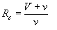
| La forma de la c�mara de combusti�n est� estrechamente ligada al rendimiento del motor, por esto es que existen diferentes formas y tama�os que dependen tambi�n de la relaci�n carrera / di�metro. Los elementos que se deben tener en cuenta en el dise�o de una c�mara de combusti�n son los siguientes: - Disposici�n y forma de las v�lvulas para conseguir el m�s alto rendimiento volum�trico, es decir el mejor llenado de los cilindros. - N�mero y forma de los conductos de admisi�n y escape para conseguir mayor turbulencia, ya sea con v�lvulas abiertas o en fase de compresi�n. - Posici�n de la buj�a para tener el menor recorrido de la llama con la misma velocidad de propagaci�n de la combusti�n. - Relaci�n de formas entre la c�mara y el pist�n para obtener una combusti�n completa y homog�nea, sin preencendido ni detonaci�n. - Relaci�n de compresi�n y relaci�n entre la superficie y el volumen de la c�mara, la cual es muy importante para obtener un buen rendimiento termodin�mico y una buena refrigeraci�n. Las clases m�s usadas de c�maras de combusti�n son: 1.1. C�mara Hemisferica 1.2. C�mara de Tina o Discoidal 1.3. C�mara de Cu�a o Triangular 1.4. C�mara Excavada en el Pist�n Uno de los valores caracter�sticos que proporciona una c�mara de combusti�n es la relaci�n de compresi�n, geom�tricamente est� dada por la relaci�n existente entre el volumen total de la c�mara cuando el pist�n esta en el PMI sobre el volumen de la misma cuando el pist�n se encuentra en el PMS, es decir, |
|||||||||||||||||||||||||||||||||||||||||||||||||||||||||||||||||||||||||
| en donde Rc es el valor de la relaci�n de compresi�n, V es el volumen del cilindro y v es el volumen en s� de la c�mara de compresi�n como tal. | |||||||||||||||||||||||||||||||||||||||||||||||||||||||||||||||||||||||||
| El volumen del cilindro se halla con las ecuaciones de geometr�a com�n, es decir | |||||||||||||||||||||||||||||||||||||||||||||||||||||||||||||||||||||||||
| siendo r el radio | |||||||||||||||||||||||||||||||||||||||||||||||||||||||||||||||||||||||||
| del cilindro y C la carrera de recorrido del pist�n. | |||||||||||||||||||||||||||||||||||||||||||||||||||||||||||||||||||||||||
| Para hallar el valor del volumen de la c�mara de compresi�n, debido a que �sta no posee una forma geom�trica com�n se recurre a un proceso llamado cubicaci�n de la c�mara. Este proceso consiste en llenar completamente la c�mara con alg�n fluido, preferiblemente de alg�n color visible (puede ser usado aceite de motor o de cajas de cambios) posteriormente cubrirla con una superficie plana transparente con un orificio que quede sobre la c�mara; a partir de esto, extraer el fluido y medir la cantidad del mismo por medio de una probeta graduada. | |||||||||||||||||||||||||||||||||||||||||||||||||||||||||||||||||||||||||
![]() |
|||||||||||||||||||||||||||||||||||||||||||||||||||||||||||||||||||||||||
![]() |
|||||||||||||||||||||||||||||||||||||||||||||||||||||||||||||||||||||||||
| Del valor de la relaci�n de compresi�n depende el tipo de combustible que deba usarse, ya que entre m�s elevado sea con mayor facilidad se realizara la ignici�n, del mismo modo a mayor relaci�n de compresi�n se logra un mejor rendimiento del motor como se ve en la siguiente figura | |||||||||||||||||||||||||||||||||||||||||||||||||||||||||||||||||||||||||
![]() |
|||||||||||||||||||||||||||||||||||||||||||||||||||||||||||||||||||||||||
| Mas de c�maras de combusti�n | |||||||||||||||||||||||||||||||||||||||||||||||||||||||||||||||||||||||||
| 2. V�LVULAS | |||||||||||||||||||||||||||||||||||||||||||||||||||||||||||||||||||||||||
![]() |
|||||||||||||||||||||||||||||||||||||||||||||||||||||||||||||||||||||||||
| Las v�lvulas de los motores de combusti�n interna son los elementos encargados de abrir y cerrar los conductos por donde entra la mezcla (v�lvulas de admisi�n) y por donde salen los gases de escape (v�lvulas de escape) del cilindro. Por lo general est�n hechas de acero. En algunos casos, las de escape van huecas y rellenas de sodio para mejorar la refrigeraci�n, ya que pueden llegar a alcanzar temperaturas de hasta 800�C. Las v�lvulas de admisi�n son siempre m�s grandes que las de escape, porque es m�s dif�cil introducir el aire en el cilindro que sacar los gases quemados. En las fotograf�as se encuentra arriba una t�pica v�lvula de admisi�n y abajo una de escape, en la cual se alcanza a observar el conducto en el cual se encuentra el sodio. | |||||||||||||||||||||||||||||||||||||||||||||||||||||||||||||||||||||||||
![]() |
|||||||||||||||||||||||||||||||||||||||||||||||||||||||||||||||||||||||||
| Mas de v�lvulas | |||||||||||||||||||||||||||||||||||||||||||||||||||||||||||||||||||||||||
| 3. EJE DE LEVAS Es el elemento encargado de abrir y cerrar las v�lvulas, seg�n el tiempo del motor en cada pist�n. Es tambi�n llamado �rbol de Levas. El eje de levas esta compuesto por una polea dentada para la acci�n de la correa o cadena de distribuci�n, unas mu�equillas o puntos de apoyo sobre la culata, las levas o exc�ntricas y en algunos casos el mando de la bomba de gasolina mec�nica y cuando el sistema de encendido no es electr�nico el engranaje para el mando de distribuidor. |
|||||||||||||||||||||||||||||||||||||||||||||||||||||||||||||||||||||||||
![]() |
|||||||||||||||||||||||||||||||||||||||||||||||||||||||||||||||||||||||||
| Mas de eje de levas | |||||||||||||||||||||||||||||||||||||||||||||||||||||||||||||||||||||||||
| 4. DISTRIBUCI�N En un motor t�rmico se entiende por distribuci�n el conjunto de los �rganos de apertura y cierre de los conductos que transportan la mezcla a los cilindros La distribuci�n por medio de v�lvulas tiene tres clases diferentes que son la distribuci�n por engranajes, la distribuci�n por cadena y la distribuci�n por correa dentada. La idea b�sica del funcionamiento correcto de la distribuci�n es hacer que cada v�lvula abra accionada, directa o indirectamente, por una exc�ntrica una vez por ciclo y en el momento indicado. En un motor de cuatro tiempos la renovaci�n de los gases se hace cada dos vueltas del cig�e�al, es decir que mientras el cig�e�al da dos vueltas, el eje de levas �nicamente da una. Junto a esto hay que tener muy en cuenta la diferencia entre una distribuci�n te�rica y lo que sucede realmente en un motor. Para entender la diferencia se presentan a continuaci�n los diagramas de la distribuci�n te�rica y de la real. |
|||||||||||||||||||||||||||||||||||||||||||||||||||||||||||||||||||||||||
| Mas de distribuci�n | |||||||||||||||||||||||||||||||||||||||||||||||||||||||||||||||||||||||||
![]() |
|||||||||||||||||||||||||||||||||||||||||||||||||||||||||||||||||||||||||
| 5. GU�AS Y SELLOS DE V�LVULAS Las gu�as son casquillos en forma alargada, introducidos en los agujeros realizados en la culata para alojarlas, dentro de los cuales se deslizan las v�lvulas generalmente est�n fabricados en bronce u otro metal de menor dureza que el de las v�lvulas. En la figura las gu�as se indican de color caf�, mostrando claramente como se deslizan las v�lvulas entre ellas |
|||||||||||||||||||||||||||||||||||||||||||||||||||||||||||||||||||||||||
| Las gu�as son generalmente de forma c�nica en la parte superior, lo que est� determinado por la necesidad de evitar la acumulaci�n de aceite, que puede infiltrarse en los ductos de admisi�n o de escape, adem�s de �sta forma el consumo de aceite a trav�s de las gu�as se evita con el uso de unos cauchos o retenes llamados sellos, dichos sellos se colocan en la parte superior de la gu�a. | |||||||||||||||||||||||||||||||||||||||||||||||||||||||||||||||||||||||||
![]() |
|||||||||||||||||||||||||||||||||||||||||||||||||||||||||||||||||||||||||
| VOLVER | |||||||||||||||||||||||||||||||||||||||||||||||||||||||||||||||||||||||||