
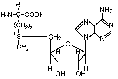
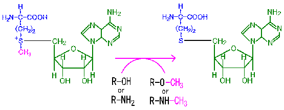
活性メチル基の供与体として重要なものの一つが、S-アデノシルメチオニンである。
自然界では酸素や窒素原子に結合した、メチル基を持つ化合物が多く存在する。
そのために、酸素や窒素原子にメチル基を供与する、供与体が必要となる。
アルキル基供与体としては、一般にはハロゲン化アルキルが重要である。しかし、炭化水素に似た性質を持つので、水溶性ではないので、細胞質に溶けない。
そのため、生体内反応では、アルキル基供与体としては、ハロゲン化アルキルは適当ではない。
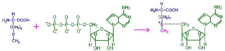
そこで、生体内部では、そのハロゲン化アルキルの役目を、ATPが行なう。詳しく言えば、第一アルキル基部分を Ad が、ハロゲン部分を3リン酸エステル -O-Pi-Pi-Pi が行なう。

S-アデノシルメチオニンは、メチオニンとATPからできており、メチオニンの先端についているメチル基が、他の分子に供与される。
