
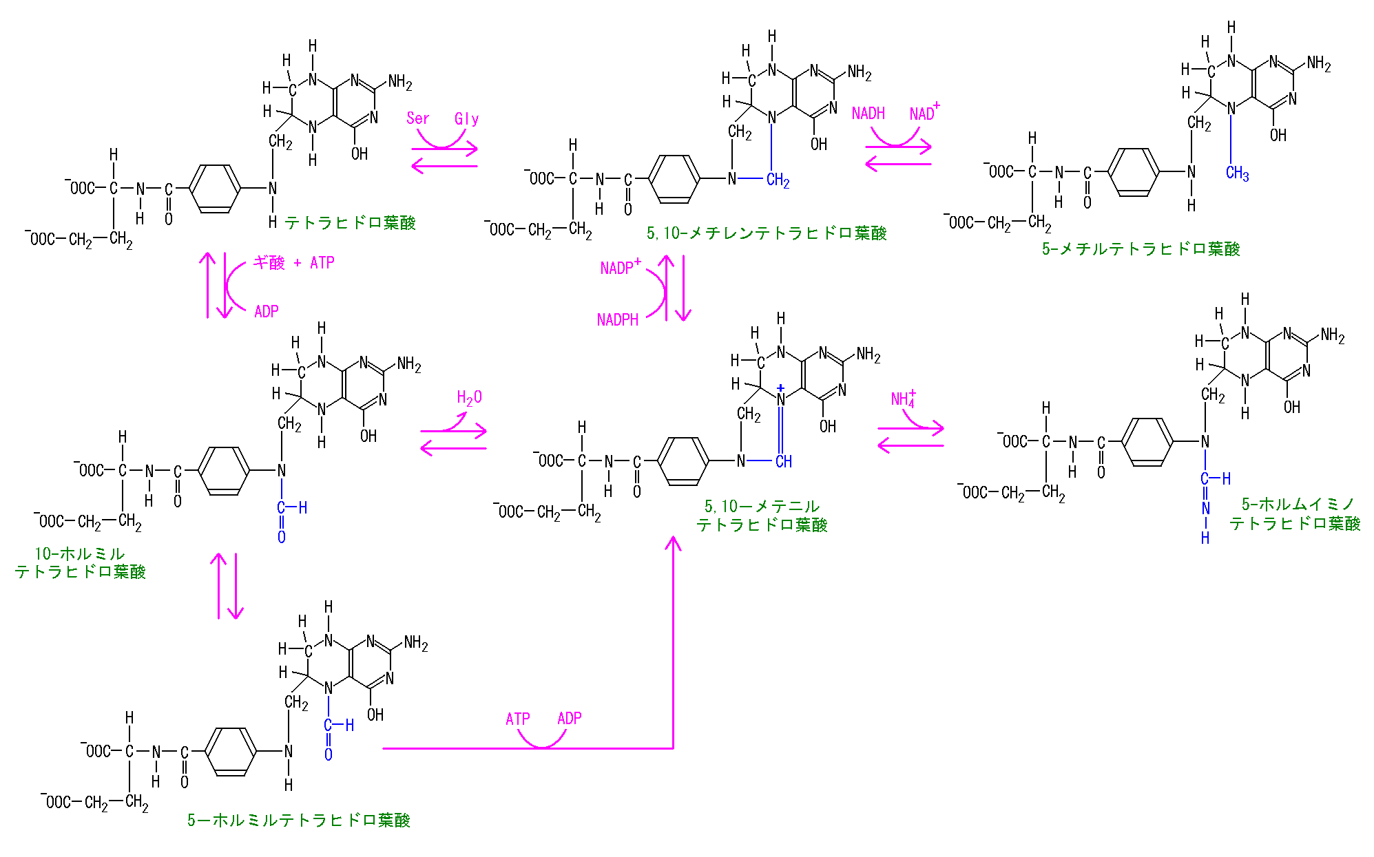
活性C1供与体として重要なビタミンに、テトラヒドロ葉酸がある。
構造は上の通りであり、グルタミン酸と安息香酸と置換プリテジンから成る。

プリテジン環は哺乳類は合成できないが、腸内細菌が合成する。
テトラヒドロ葉酸は、活性C1供与体であり、様々な酸化段階の活性C1を運搬する。
運搬するものには、
がある。しかし、最も酸化された活性C1である二酸化炭素はビオチンが運搬する。

その後、C1基は葉酸に結合したままの状態で、さまざまな酸化還元を受け、メチル基、メチレン基、ホルミル基、ホルムイミノ基、メテニル基に変化する。
その結果、テトラヒドロ葉酸誘導体は、さまざまな生合成反応で、C1基を供与する。