RESUMEN
FDDI (Fiber Optics Data Distributed Interface)
FDDI
son las siglas de Fiber Optics Data Distributed Interface,
es decir, Interface de datos distribuidos por fibras ópticas.
FDDI se constituye como un doble anillo de fibra óptica
que utiliza la técnica de paso de testigo para establecer
la contienda de acceso entre las estaciones conectadas.
Permite hasta 1.000 estaciones conectadas en anillos de
longitudes hasta de 200 km y una velocidad de transferencia
de datos de 100 Mbps. Se puede configurar como una auténtica
red de área local, pero es frecuente configurarla como una
red primaria que interconecte otras redes, por ejemplo,
redes de tipo IEEE 802. FDDI utiliza fibras ópticas multimodo
para producir sus transmisiones, aunque aquí no entraremos
a analizar los distintos tipos de fibras ópticas. La fuente
de luz es un diodo LED, no es necesario que sea un láser,
lo que abarata el producto y simplifica la tecnología. La
tasa de error exigida por FDDI es realmente baja, debe estar
por debajo de 1 bit erróneo por cada 2,5x10e10 bits transmitidos,
lo que hace que estas redes sean muy veloces y fiables.
Los medios ópticos de transmisión en FDDI se configuran
como un doble anillo de fibra. Cada anillo transmite información
en un sentido único, pero diverso. Si alguno de los anillos
se desactiva, el otro puede actuar como línea de retorno
que garantiza que siempre habrá un anillo en funcionamiento.
El procedimiento se explica gráficamente en la Figura 1.
Figura
1: Reconstrucción del anillo de fibra óptica en caso de
rotura.
En
FDDI se definen dos clases de estaciones:
1.
Estación de tipo A. Esta
estación se conecta a los dos anillos y es capaz de producir
la conmutación entre ellos si observa algún problema de
transmisión en los segmentos anterior o posterior a ella.
Son, por tanto, estaciones encargadas de la seguridad frente
a la ruptura del anillo. La conexión al anillo de una estación
A tiene un precio elevado.
2.
Estación de tipo B. Esta
estación se conecta únicamente a uno de los dos anillos.
No pueden tener, por tanto, funciones de seguridad. Son
más económicas.
La
señalización en FDDI sigue un sistema llamado "código 4
de 5" que consiste en codificar 4 símbolos consecutivos,
que pueden ser ceros o unos lógicos u otros caracteres especiales,
con 5 bits. Con este sistema se gana ancho de banda con
respecto a la codificación Manchester diferencial, pero
se pierde capacidad de sincronización entre laas estaciones,
lo que debe ser compensado con unos preámbulos de trama
relativamente grandes y una elevada calidad en la construcción
de los relojes de las estaciones. Es posible enviar tramas
de más de 4 Kbytes si se dan todas estas condiciones sin
que emisor y receptor pierdan la sincronía de datos.
FDDI
se parece mucho en cuanto a sus protocolos a los de red
IEEE 802.5, especialmente en todo lo que se refiere al paso
del testigo. Sin embargo, hay una diferencia significativa:
En una red de longitud tan grande (hasta 200 km) sería una
pérdida de eficacia esperar a que el testigo recorra todo
el anillo. Para paliar este problema se generan varios testigos,
lo que produce que en el interior del anillo FDDI puedan
convivir varias tramas simultáneamente.
Las
tramas de FDDI son similares a las de la red IEEE 802.5,
pero también puede aceptar tramas síncronas procedentes
de una red de transmisión RDSI conmutada o de una modulación
PCM (Pulse Code Modulation o Modulación de Pulsos Codificados),
que es un tipo especial de modulación digital que sirve
para codificar en binario de modo periódico las distintas
muestras que se van tomando de la señal que se modula. Una
estación maestra se encarga de generar tramas síncronas
de estas características a razón de 8.000 tramas/segundo,
es decir, se genera una trama cada 125 microsegundos. Los
sistemas PCM tienen necesidades de transmisión de este orden
(8.000 muestras de señal por segundo). Cada una de estas
tramas síncronas se compone de una cabecera, de un campo
de datos para los circuitos no conmutados (16 bytes) y de
otro para los circuitos conmutados (hasta 96 bytes). Esto
quiere decir que, si se utilizan los 96 bytes posibles en
cada trama síncrona a razón de 1 byte por cada canal PCM,
se podrían mantener 96 canales PCM abiertos, todos ellos
transmitiendo datos simultáneamente en esa trama, por ejemplo,
soportando 96 conversaciones telefónicas a la vez.
Por
ello, FDDI es una red muy apropiada para la transmisión
de voz y datos, perfectamente adaptable para aplicaciones
en tiempo real, que requieren transmisiones sin retardos
significativos y con una cadencia de transmisión contínua.
PREGUNTAS
DE FDDI (Fiber Optics Data Distributed Interface)
1.
¿Que es CRC?.
Generación
CRC · Se
consideranlos patrones de bits como polinomios, y se realizan
operaciones aritméticas módulo 2 con ellos. · Transmisor
y receptor eligen un polinomio generador G(x) de r bits,
con al menos el primero y el último a 1. · Para transmitir
un patrón de bits P(x), se calcula: T(x)=(xrP(X))-residuo(xrP(x)/G(x))
· El receptor divide T(x) entre G(x), y si obtiene un resto
distinto de cero, considera erróneo.
Polinomios
generalizados normalizados: · CRC-12 x12+x11+x3+x2+x+1 ·
CRC -16 x16+x15+x2+1 · CRC-CCITT x16+x12+x5+1 · El cálculo
del CRC se implementa con circuitos hardware sencillos
Errores
Detectados Se demuestran que con los CRC de 16 bits se detectan:
· Todos los errores simples y dobles · Todos los errores
en un número impar de bits · Todas las ráfagas de longitud
<=16 · El 99.997% de las ráfagas de 17 bits · El 99.998%
de las ráfagas de longitud>18 bits .
Comprobación
de Redundancia Cíclica (CRC "Cyclic Redundancy Check")
Uno
de los métodos para detección de errores más comunes y más
potente son los de comprobación de redundancia cíclica (CRC).
Este proceso funciona de la siguiente manera. Dado un bloque
o mensaje de k bits, el transmisor genera una secuencia
de n bits, denominada secuencia de comprobación de la trama
(FCS, "frame check sequence"), de tal manera que la trama
resultante, con n+k bits, sea divisible por algún número
predeterminado. El receptor entonces dividirá la trama recibida
por ese número y, si no hay resto de la división, se supone
que no ha habido errores.Existen
tres formas de realizar este procedimiento que son: ·Aritmética
módulo 2 · Polinomios · Lógica Digital.
Aritmética
Módulo 2
La
aritmética módulo 2 hace uso de sumas binarias sin acarreo,
como si se tratara de la una operación lógica "or-exclusiva".
Por
ejemplo:

La
terminología utilizada es la siguiente: T = trama
de (k+n) bits a transmitir M =mensaje de k bits F
= n bits del FCS P = es el divisor elegido.
El
objetivo de este método es lograr que el resultado de la
división T/P sea igual a cero. Entonces, la trama esta formada
de la siguiente manera: T = 2nM + F -> T = k + n
El
hecho de multiplicar M por 2n es para hacer T divisible
por P. Suponiendo que se divide 2n M por P:

Esta
división siempre genera un cociente y un residuo. Ya que
la división es binaria, el residuo tendrá al menos un bit
menos que el divisor, entonces el residuo de la división
es la FCS, por lo tanto la trama quedará formada de la siguiente
manera:
.
Para
comprobar la condición de que el residuo de la división
T/P debe ser igual a cero consideremos lo siguiente:
Sustituyendo (1) en (2) tenemos:

Dado que un número binario sumado consigo mismo siempre
es cero, esto da como resultado:

Por
lo tanto no hay residuo y T es divisible por P. Entonces
la FCS se genera de una manera fácil dado que es el residuo
de la división 2n M / P. El patrón P se elige con una longitud
de un bit mayor que la del FCS deseado, y el patrón elegido
es particular depende del tipo de errores que se esperan
padecer.
Polinomios
Otra forma de representar el proceso CRC es expresar todos
los valores como polinomios de una variable X, con coeficientes
binarios. Los coeficientes son los bits del número en binario.
Por ejemplo si M = 110011, entonces M(X) = X5 + X4 + 0X3
+ 0X2 + X1 + X y para P= 11001 se tiene que P(X) = X4 +
X3 + 0X2 + 0X + X.
El
proceso es similar al anterior y se expresa de la siguiente
manera:
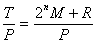
T(X)
= XnM(X) + R(X)
Un
error E(X) no se detectará si es divisible por P(X), es
decir, que el residuo de la división es cero.
Lógica
Digital
El
procedimiento CRC se puede representar con un circuito divisor
formado por puertas lógicas "or-exclusiva" y un registro
de desplazamiento. El registro de desplazamiento es una
cadena de elementos de memoria de 1 bit. Cada elemento tiene
una línea de salida, que indica el valor almacenado actualmente,
así como una línea de entrada. A instantes discretos de
tiempo, establecidos por una señal de reloj, el valor almacenado
en el elemento de memoria se reemplaza por el valor que
se encuentre en la línea de entrada. Todo el registro utiliza
una señal de reloj común, haciendo ésta que se produzca
un desplazamiento de un bit a lo largo de todo el registro.
El
circuito se realiza de la siguiente manera: · El
registro contrendrá n bits, al igual que la longitud de
la FCS · Hay n puertas "or-exclusiva" · La presencia o ausencia
de una puerta corresponderá con la presencia o ausencia
del término correspondiente en el polinomio divisor P(X).
El
proceso comienza con la puesta a cero de todo el registro.
A continuación el mensaje o dividendo se introduce, bit
a bit, comenzando por el más significativo. Debido a que
no hay realimentación hasta que un 1 del dividendo aparezca
en el extremo más significativo del registro, las primeras
cinco operaciones son simplemente desplazamientos. Siempre
que llegue un 1 al extremo izquierdo del registro, se resta
1 ("or-exclusiva") del segundo, tercero, etc. bit del siguiente
desplazamiento dependiendo del que compuertas lógicas estén
presentes. Esto es el equivalente a la división binaria
del primer método. Este proceso se realiza para cada bit
del mensaje más n bits finales igual a cero, estos últimos
son para desplazar M (mensaje) n posiciones a la izquierda
y dar cabida a la FCS.
En el receptor, se utiliza la misma lógica. Cada bit de
la trama M se introducirá en el registro de desplazamiento.
Si no ha habido errores, el registro de desplazamiento debería
contener el patrón de bits R al final de M. Los bits trasmitidos
de R empiezan a llegar, y el efecto consistirá en que cuando
concluya la recepción, el registro debe contener todas las
posiciones igual a cero.
2.
¿Qué limita al FDDI?
A
FFDI no lo limita la fibra óptica sino el método de acceso.
3.
¿Que pasa cuando se satura el medio en FDDI?
Existen
prioridades que seguir. Prioridad en Redes en anillo
con paso de Testigo. La Normalizacion 802.5 incluye
una especificacion para un mecanismo opcional de prioridad.
Se admiten ocho niveles de prioridad mediante el uso de
dos campos de 3 bits en cada trama de datos y de testigo:
un campo de prioridad y un campo de reserva. Para explicar
el algoritmo definamos las sguientes variables:
Pf
= Prioridad de trama para la trasmision de una estacion
Ps = Prioridad de servicio; prioridad del testigo
actual Pr = Valor de Ps contenido en el ultimo testigo
recibido en esta estacion. Rs = Valor de reserva
en el testigo actual Rr = mayor valor de reserva
en las tramas recibidas en esta estacion durante la rotacion
del ultimo testigo.
El esquema funciona como sigue: 1. Una estacion que desee
trasmitir debe esperar un testigo con Ps <= Pf. 2. Mientras
espera, una estacion puede reservar un fututo testigo con
su nivel de prioridad (Pf). Si detecta una trama de datos
y el campo de reserva es menor que su prioridad (Rs < Pf),
la estacion puede poner su prioridad en el campo de reserva
de la trama (Rs ß Pf). Si detecta una trama de testigo y
(Rs < Pf AND Pf < Ps), la estacion pone su prioridad en
el campo de reserva de la trama (Rs ß Pf). Esto provoca
el borrado de cualquier reserva con menor prioridad. 3.
Cuando una estacion coge un testigo, activa el bit de testigo
para trasmitir una trama de datos, pone el campo de reserva
de la trama a 0 y no altera el campo de prioridad (el mismo
que el de la trama entrante). 4. Tras la trasmision de una
o mas tramas de datos, una estacion emite un nuevo testigo
con los campos de prioridad y de reserva.
El efecto de los pasos anteriores es la ordenacion de las
demandas que compiten, y permitir a las trasmisiones en
espera con prioridad superior captar el testigo tan pronto
como sea posible. Si reflexionamos podemos percatarnos de
que , como se establecio, el algoritmo presenta un efecto
de trinquete sobre la prioridad, llevandolo al nivel de
prioridad superior utilizando y manteniendolo a este valor.
Para evitar este hecho, una estacion que aumenta la prioridad
(emite un testigo con mayor prioridad que el que recibio
) tiene la responsabilidad de bajarlo al nivel anterior.
Por tanto, una estacion que sube la prioridad debe recordar
tanto la vieja como la nueva prioridad y bajar la red del
testigo en el momento apropiado.Escencialmente,
cada estacion es responsable de asegurar que el testigo
no circule indefinidamente debido a que la prioridad sea
demasiado elevada. Recordando la prioridad de las trasmisiones
anteriores, una estacion puede detectar esta condicion y
bajar la prioridad a un valor de reserva anteriro menor.
En
cada estacion se usan dos pilas para implementar el mecanismo
de decremento de prioridad, una para reservas y otra para
prioridades: Sx = pila para almacenar nuevos valores de
prioridad de testigo. Sr = pila donde se almacenan valores
anteriores de prioridad de testigo. La razón de la
necesidad de usar pilas en lugar de variables escalares
es que la prioridad puede aumentar varias veces por una
o mas estaciones. Los sucesivos aumentos deben deshacerse
en orden inverso.
4.
¿Como es la trama MAC?
Trama
Mac La figura 1 muestra el formato de trama para protocolo
FDDI. La normalización define el contenido de este formato
en términos de símbolos, donde cada símbolo corresponde
con 4 bits de datos. Se usan símbolos debido a que, en la
capa física, los datos se codifican en grupos de cuatro
bits. Sin embargo, las entidades MAC deben tratar bits individuales,
de modo que la discusión que sigue se refiere a veces a
símbolos de cuatro bits y otras veces a bits individuales.
Una trama distinta de una de testigo consta de los siguientes
campos:
Ø
Preámbulo: sincroniza la trama con el reloj de cada estación.
La estación que originó la trama usa un campo de 16 símbolos
libres (64 bits); estaciones sucesivas pueden cambiar la
longitud del campo de acuerdo con los requisitos de temporización.
El símbolo libre es un patrón completo de no datos. La forma
real de un símbolo de no datos depende de la codificación
de la señal en el medio. Ø Delimitador de comienzo (SD):
indica el comienzo de la trama. Se codifica como JK, donde
tanto J como K son símbolos de no datos. Ø Control de trama
(FC): tiene el formato de CLFFZZZZ, donde C indica si la
trama es síncrona o asíncrona; L indica el uso de direcciones
de 16 a 48 bits; FF indica si es una trama LLC, de control
MAC o reservada. Para una trama de control, los restantes
4 bits indican el tipo de trama de control. Ø Dirección
de destino (DA): especifica la estación o estaciones a las
que va dirigida la trama. Puede ser una única dirección
física, una dirección de grupo multidestino o una dirección
de difusión. El anillo puede contener una mezcla de longitudes
de dirección de 48 bits. Ø Dirección origen (SA): especifica
la estación que envió la trama. Ø Información: contiene
datos LLC o información relacionada con una función de control.
Ø Secuencia de comprobación de trama (FCS): comprobación
de redundancia cíclica de 32 bits referente a los campos
FC, DA, SA y de información.

Ø
Delimitador de fin (ED): contiene un símbolo de no datos
(T) y marca el final de la trama sin contar el campo FS.
Ø Estado de trama (FS): contiene los indicadores de detección
de error (E), dirección reconocida (A) y trama copiada (C).
Cada indicador se representa mediante un símbolo, que es
R para "reinicio" o "falso", y S para "activo" o "verdadero".
Una trama de testigo consta de los siguientes campos: Ø
Preámbulo: como antes. Ø Delimitador de comienzo: como antes.
Ø Control de trama (FC): presenta el formato de bits 10000000
ó 11000000 para indicar que se trata de un testigo. Ø Delimitador
de fin (ED): contiene un par de símbolos de no datos (T)
como fin de la trama de testigo.
Siguiente
>>