尿素をホルムアルデヒドで繋ぎ合せた構造を持っている樹脂が、尿素樹脂です。
ところで、尿素、描けますか?
生物・化学選択者は何てことはない、描けて当たり前ですね。生物で出てくるから。
でも、物理化学選択者は知らない人も居るかも知れませんね。
でも、覚えていてね。

ですよ。(詳しくはココを読んで下さい)
たまに「そんなの(高校で)習ってない」と、とんちんかんな事を言う人が居ますが、寝言は寝てから言って下さいね。(^^)高校で習うかどうかなんか、関係ありません。
で、話を進めますね。
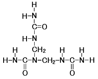
尿素樹脂もフェノール樹脂と同じで、ホルムアルデヒドを連結器にして、繋がり合います。
尿素のアミノ基に付いた水素と、ホルムアルデヒドの酸素が合体して、水として脱離します。

結果として、これで尿素を繋ぐ事が出来ます。
この「橋渡し」の結合は、一個所だけでなく、何個所もできます。
尿素一分子にアミノ基は2つあり、またアミノ基一つに、水素が二つありますから、尿素一分子は最大で4個所で、結合が可能です。

尿素樹脂はフェノール樹脂同様、かなりぐちゃぐちゃに結合しあって、大きな構造を作ります。
これが尿素樹脂です。
尿素樹脂は4個所で繋がっていますから、三次元立体構造を採る事が出来ます。
ですから、この尿素樹脂の構造も「三次元網の目構造」です。