アルケン(その2)

二重結合を一つ持つ鎖状炭化水素


さて、これらはどれも、C48ですから、「ブテン」です。(右端は名前に「プロペン」が入っていますが、ブテンなんです。ややこしいですが)

さて、これも区別するために名前を付けるのですが、ややこしいです。

順に説明しますから、がんばって付いてきて下さいね。

まず、どれもC48ですから、「ブテン」である事は確認しておきましょう。

で、左と真ん中に注目しましょう。二重結合の位置が違う訳ですね。

そこで結合に端から番号を打ちましょう。

上の例では左から順番に番号を打っていますが、右から打っても構いません。(唯この場合は左から打つ事情があるのですが)

で、「1-ブテン」「2-ブテン」という「1-」「2-」というのは、二重結合の一を示している訳です。

この命名方法は、良く使いますから、覚えて下さいね。

ところで「1-ブテン」は結合番号を右から打てば、「3-ブテン」になりますね。 それも間違いではないんですが、「複数の名前が可能な場合、数字が小さい方を選ぶ」というルールがあるため、「3-ブテン」とは言いません。

さて、次は枝分かれの有る「メチルプロペン」ですね。これはややこしい!

「メチルプロペン」は正確には「2-メチルプロペン」とも言います。

どっちにしても、名前に「プロペン」が入っています。プロペンと言えば、C36です。でも、これもブテンC48なんです。う〜ややこしい。なぜこういう名前になるか?それはこうです。

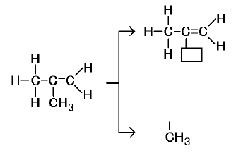
まず、問題の分子を、この様に分解します。

右上のパーツは、

プロペンに似ていますね。

また、−CH3はメタンCH4に似ているのでメチル基と言います。

つまり問題の分子は、「プロペンの水素がメチル基で置換された分子」なんですね。ですから「メチルプロペン」と言います。

正確には「2-メチルプロペン」と言います。この「2-」は何でしょう?結合の番号ではありません。

これは、「どこの炭素にメチル基がくっついたか」を表しています。

炭素にも、端から順番に番号を振ります。

この場合「二番炭素にメチル基が付いている」ので、「2-メチルプロペン」です。(けれど、この場合は二番炭素以外に付きようが無いので、「メチルプロペン」で十分です。だって、もし一番炭素か三番炭素に付いたなら、「1-ブテン」か「2-ブテン」と同じになっちゃうもの)

以上の理由で、「プロペン」という言葉が入りますが、「ブテン」には違いありません。

さて、名前に関しては以上ですが、ややこしい話はまだしばらく続きます。 大変ですが、がんばってついてきて下さい。

次のページへ


鎖状炭化水素独学ための有機化学の「次のページ」へ独学ための有機化学へ目次へ


This page hosted by Get your own Free Homepage
Hosted by www.Geocities.ws

 1