問題4の解説
「問4 Bの両側の液に濃硫酸を数滴ずつ加えてあたためたのち、ふたたび室温にもどしたところ、液面の差が約 2h cm になった。この理由を化学反応式を使って説明せよ。 」
でしたね。
ではやってみましょう。

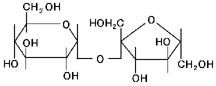
こんな構造を持った糖類でして、αグルコースとβフルクトースが縮重合したものでしたね。
糖類のところで書きました通り、ショ糖は酸触媒で加水分解されて、もとのαグルコースとβフルクトースに戻るのですよね。

浸透圧は溶質の種類に依らず、総濃度だけで決まるのでしたよね。
加水分解すると、粒々数が倍になるのですから、浸透圧は倍になる訳です。
問題文では、化学反応式を使ってと書いてありますから、一応書いておきましょうか。
加水分解を示す、この式で良いのではないでしょうか?