糖類

基本的な糖

ここに登場する分子は、描ける必要があります。覚えてね。(^^)

説明は次のページでしますので、まず全体像を眺めてみましょう。


単糖類

基本になる糖。これ以上は加水分解されない。

どれもα型とβ型があるが、それは後に説明する。ここではα型を描いてある。

グルコース(ブドウ糖)

最も基本的な糖の一つ。

「デンプン(炭水化物)」を食べた時に、消化されて最終的に胃の中で生じる糖。










フルクトース(果糖)

果物に含まれる糖










ガラクトース













二糖類

単糖類が二個くっついて出来ている糖です。いわゆる「お砂糖(ショ糖)」など、なじみのある糖があるでしょ?

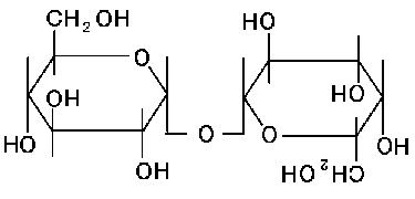
マルトース(麦芽糖)

「デンプン(炭水化物)」を食べた時に、口の中で消化されてまず生じる糖。

αグルコースが二個合体したもの。










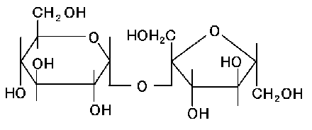
スクロース(ショ糖)

いわゆる「お砂糖」。αグルコースとβフルクトースが縮合して出来ている。










ラクトース

母乳や牛乳に含まれる糖。αグルコースとβガラクトースが縮合してできている。












次のページへ


目次へ関連地理へ


This page hosted by Get your own Free Homepage
Hosted by www.Geocities.ws

 1