糖類

鎖状と環状

さて、まず勉強しななくてはならない基本的な「糖」を眺めてもらいました。では説明してみましょう。

まず、最も代表的なグルコースを使って説明してみましょう。

先に説明しましたように、「糖類」の定義は「カルボニル基と水酸基を持つ」でしたよね?

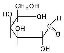
左の絵を見ると、確かに二個以上の水酸基はありますが、カルボニル基、つまりアルデヒド基かケトン基はどこにあるのでしょうか?

それを理解するためには、この構造図では分かりません。より正確な話を知っている必要があります。

といいますのは、実際に存在するグルコースは確かに左の様な姿で存在する訳ですが、もともとそういう格好なのではないのです。

右の構造を見てください。輪になっていない、いわゆる鎖状分子ですね。これがもともとのグルコースです。 この状態を「アルドヘキソース」と言うのですが、先に描いたグルコースの構造は、アルドヘキソースが自分同志で繋がって環状になったものだったのです。

右の絵なら、右端にアルデヒドがあるでしょ?ですから、定義を満たしていますね。

ところで「右端の・・・」とかいう言い方では分かり難いですね。そこで炭素には番号が付いていまして、識別出来るルールがあります。アルデヒドになっている炭素を「1番炭素」として、繋がっている順に、2番、3番・・・と番号を付けるルールがあります。

(後で説明しますが、ケトン型は、ケトンになっている炭素を「2番炭素」とします)

で、一番炭素と五番炭素が(酸素を介して)繋がったのが、環状状態なんですね。

では、どうやって繋がるのかを、次のページで説明しましょう。

次のページへ


目次へ関連地理へ


This page hosted by Get your own Free Homepage
Hosted by www.Geocities.ws

 1