contoh soal permutasi n unsur yang berbeda Jagoan belajar: contoh soal dan pembahasan fungsi komposisi dan invers

Selamat datang diwebsite kami, jikan anda sedang mencari refrensi soal tentang Contoh Soal Permutasi Lengkap Dengan Jawabannya - Judul Siswa maka anak-anak berada dihalaman yang tepat. Di saat Anda sedang selesaikan soal yang ruwet, karenanya pastinya Anda dapat cari contoh soal di internet karenanya benar-benar simpel dijawab jika ada jawabnya. Dalam babak pelacakan itu , Guru Anda akan bikin sejumlah soal yang mereka akan sampaikan. Mungkin ada sejumlah soal yang di utarakan buat Anda dalam soal yang sedikit sulit itu. Ada banyak pertanyaan bisa Anda jawab secara gampang. Tetapi, ada peluang beberapa pertanyaan yang Anda mengaku kalau Anda tidak mempunyai jawabnya atau mungkin tidak ingin menjawab. Itu dia pertanyaan yang Anda takuti. Soal itu dapat berkaitan dengan beberapa feature dalam lansir produk yang anyar, waktu acara Ujian seperti UN, UAS dan Test PNS, atau soal yang lain di beberapa acara yang wajar dikabarkan beberapa waktu terakhir sebagai obyek yang hangat secara pengajaran. Pada keadaan seperti berikut berikan jawaban yang pasti serta langsung kemungkinan bikin rugi Anda dalam berbagai hal . Sehingga pertanyaan sesungguhnya ialah bagaimana Anda bisa menyikapi dengan bisa melindungi Untuk Menjawab soal yang sudah diberikan oleh tenaga pendidikan. integritas Anda dan memberikan kepuasan penanya. Kami Mempunyai Informasi tentang gambar soal 17.Pictures about Contoh Soal Permutasi Lengkap Dengan Jawabannya - Judul Siswa like 24++ Contoh Soal Bilangan Kombinasi - Kumpulan Contoh Soal, Contoh Soal Permutasi Dan Kombinasi Dan Pembahasannya - Contoh Soal Terbaru and also Contoh Soal Permutasi Lengkap Dengan Jawabannya - Judul Siswa. lihat disini:

Contoh Soal Permutasi Lengkap Dengan Jawabannya - Judul Siswa

Contoh Soal Permutasi Lengkap Dengan Jawabannya - Judul Siswa judulsiswa.blogspot.com

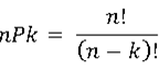
permutasi

18+ Contoh Soal Sistem Persamaan Diferensial - Contoh Soal Terbaru

18+ Contoh Soal Sistem Persamaan Diferensial - Contoh Soal Terbaru gambarsoalterbaru.blogspot.com

persamaan diferensial orde

JAGOAN BELAJAR: Contoh Soal Program Linier : Mencari Nilai Optimal

JAGOAN BELAJAR: contoh soal program linier : mencari nilai optimal jagoanbelajarprimamedica.blogspot.com

jagoan

Contoh Soal Permutasi Sbmptn Dan Pembahasan - Contoh Soal Matriks Pdf

Contoh Soal Permutasi Sbmptn Dan Pembahasan - contoh soal matriks pdf zona-ue.blogspot.com

permutasi pembahasan kombinasi sbmptn penyelesaian

46+ Contoh Soal Permutasi Unsur Yang Sama

46+ Contoh Soal Permutasi Unsur Yang Sama 101contohsoal.blogspot.com

permutasi

Contoh Soal Dan Pembahasan Permutasi Unsur Yang Berbeda - Berbagai Unsur

Contoh Soal Dan Pembahasan Permutasi Unsur Yang Berbeda - Berbagai Unsur berbagaiunsur.blogspot.com

soalfismat permutasi soal unsur pembahasan berbeda fisika

Contoh Soal Permutasi Dan Kombinasi Dan Pembahasannya - Contoh Soal Terbaru

Contoh Soal Permutasi Dan Kombinasi Dan Pembahasannya - Contoh Soal Terbaru contohsoalitu.blogspot.com

permutasi kombinasi contoh

Contoh Soal In My Opinion Beserta Pembahasan - Soal Perhitungan

Contoh Soal In My Opinion Beserta Pembahasan - Soal Perhitungan soalperhitungan.blogspot.com

psikotes jawaban pembahasan deloitte soalnya lowongan materi

JAGOAN BELAJAR: Contoh Soal Dan Pembahasan Fungsi Komposisi Dan Invers

JAGOAN BELAJAR: contoh soal dan pembahasan fungsi komposisi dan invers jagoanbelajarprimamedica.blogspot.com

jagoan soalnya

24++ Contoh Soal Bilangan Kombinasi - Kumpulan Contoh Soal

24++ Contoh Soal Bilangan Kombinasi - Kumpulan Contoh Soal teamhannamy.blogspot.com

bilangan

Pakarnya: Permutasi

Pakarnya: Permutasi historymatematika.blogspot.com

permutasi

Contoh Soal Matematika Ekonomi 2 - BangSoal

Contoh Soal Matematika Ekonomi 2 - BangSoal bangsoal.adriyan.id

contoh ekonomi matematika pemasaran permintaan

Ab D Rahman: Contoh Soal Faktorial Dan Permutasi Serta Pembahasannya

Ab D Rahman: Contoh soal faktorial dan permutasi serta pembahasannya abdulrahman6855.blogspot.com

Ab D Rahman: Contoh Soal Faktorial Dan Permutasi Serta Pembahasannya

Ab D Rahman: Contoh soal faktorial dan permutasi serta pembahasannya abdulrahman6855.blogspot.com

faktorial permutasi

Peluang, Permutasi & Kombinasi Matematika - EL-Armor De Mariachi

Peluang, Permutasi & Kombinasi Matematika - EL-Armor De Mariachi dhyanvanask.blogspot.com

logam uang pohon permutasi pelemparan keping statistika matematika kombinasi sampel rumus harapan definisi suatu kejadian frekuensi pengertian teori soal dadu

Contoh Soal Notasi Faktorial – Dengan

Contoh Soal Notasi Faktorial – Dengan kitabelajar.github.io

kombinasi permutasi faktorial notasi pembahasan materi bilangan peluang

44+ Contoh Soal Kombinasi Pengulangan

44+ Contoh Soal Kombinasi Pengulangan 101contohsoal.blogspot.com

pengerjaan bab permutasi matematika

Cari refrensi soal dan artikel memang lah sulit. namun Kami usaha menyiapkan 44+ Contoh Soal Kombinasi Pengulangan supaya anda lebih puas.

Sesudah itu, latihanlah menyikapi pertanyaan serta masalah yang udah disajikan. Anda bahkan bisa saja mau download gambar masalah yang sudah kami hidangkan. Kalau anda tertarik sama masalah yang lain dapat anda mencari dikolom penelusuran. Paling akhir, apabila anda sedang dalam waktu bagian evaluasi jadi saya rekomendasikan buat belajar lebih giat supaya hasrat anda terwujud. Salam dahsyat mengagumkan. Selesai Anda sudah ketahui contoh dan gambar masalah di atas, karenanya saya jamin anda siap buat macam pertanyaan ini yang udah dikasihkan oleh guru, karena itu Anda bisa menjaga ketenangan dan integritas dalam menjawab masalah yang ada. .

Ab d rahman: contoh soal faktorial dan permutasi serta pembahasannya. Jagoan belajar: contoh soal program linier : mencari nilai optimal. Contoh soal permutasi dan kombinasi dan pembahasannya