ジカルボン酸の加熱分解

ジカルボン酸


ジカルボン酸は加熱したときに、二酸化炭素を放出して分解すると言われるが、必ずしもそうでもない。熱分解の反応は、ジカルボン酸によって異なる。


シュウ酸の熱分解

熱分解は、蟻酸を介して一酸化炭素に至る、二段階反応。


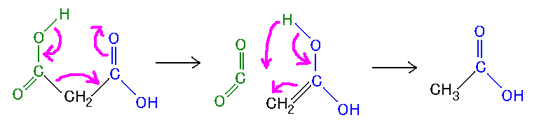
マロン酸の熱分解

熱分解は、二酸化炭素を放出する一段階反応。

シュウ酸の分解は2段階だが、こっちは1段階なので、こっちの方が速い。

反応の中間状態も重要なので、知っておこう。


コハク酸・グルタル酸の加熱

nが2と3である、コハク酸、グルタル酸では、脱水を起こし、5員環、6員環の酸無水物を生じる。


次のページジカルボン酸目次へ

Hosted by www.Geocities.ws

 1