De lo anterior, podemos indicar, que, teniendo el valor de RC
= 500 Ω, RE
= 220 Ω además del
voltaje VCEQ y la fuente de
alimentación de un valor de VCC = 15 Vcd,
podemos partir para diseñar un circuito como el que presento en
la siguiente imagen:
Considerando que utilizaremos el
transistor tipo NPN 2N3904, necesitamos conocer las especificaciones de dicho elemento;
una vez consultadas, podremos proseguir con el cálculo de las
resistencias que quedan.
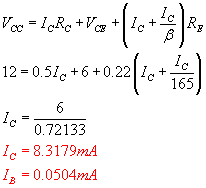
Primeramente, calculamos el nuevo valor necesario para la corriente de
colector:

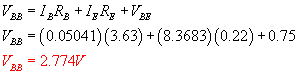
Para poder encontrar los valores de las resistencias restantes, debemos hacer varias consideraciones, primero, podemos transformar el circuito de entrada del amplificador por medio del teorema de Thèvenin en uno más sencillo; además, para poder calcular la resistencia equivalente, hacemos la siguiente consideración:

Con esto,
podremos calcular ya el valor de la fuente alimentación
equivalente en la base:

Con esto ya
podemos re-diseñar el circuito equivalente:
Figura 2: Diagrama del equivalente
de un amplificador en configuración colector común en
polarización de divisor de voltaje (o circuito universal)
Con estos
datos, podremos ya calcular las resistencias que integran el divisor de
voltaje:

Por lo que
hemos terminado de diseñar el circuito...