Conocer los factores que hacen de un arreglo con un transistor bipolar, un circuito amplificador estable, así como aquellos fenómenos que ocurren si no se tienen los elementos del circuito necesarios para eliminar discrepancias, tales como el corrimiento del punto de operación hacia saturación o hacia corte.
El punto Q se define gráficamente como la intersección de la recta de carga con cualquier curva de un dispositivo, en este caso nos referiremos a la curva característica de un transistor.
El punto Q depende de cada configuración para que sea estable o cambie de rango con respecto a alguna o algunas variables externas que en dicha configuración se vean modificadas. Por ejemplo, si tenemos un amplificador en emisor común con polarización fija sin resistencia en el emisor, la beta del dispositivo que se esté trabajando hará que el punto Q cambie de posición, o quizá el efecto de la temperatura hace que el punto Q varíe en su posición, en pocas palabras, que el punto Q sea inestable.
Es entonces que una resistencia en el emisor, ayuda a compensar las variaciones en voltaje que se tenga en la beta del transistor, por lo que el punto Q se mantiene cuasiestático. Los rangos en los que el punto Q puede operar son: en corte, en saturación o en la región activa o lineal. Los circuitos integrados o digitales son elaborados para funcionar en la región de corte o saturación.
Un amplificador corresponde a circuitos que operan en la región lineal o activa, con lo que el punto Q debe ubicarse en esta región y esencialmente en el centro de la recta de carga, para que la señal amplificada no se vea deformada.
La polarización es la aplicación de voltaje a un dispositivo y esta puede tener diferentes configuraciones (tipos de polarización).
Un
amplificador a emisor común polarizado por realimentación
por emisor, tiene la siguiente figura:
Figura a: Amplificador con polarización fija con emisor
Cuando
al circuito anterior se le quita la resistencia de emisor, se dice
que la polarización es de base o fija. Con la resistencia de
emisor, se trata de estabilizar el punto Q con retroalimentación
negativa en la base para neutralizar los cambios de corriente en el
colector. Por ejemplo, aumenta la corriente del colector, esto hace
decrecer la tensión de colector, con lo que desciende la
tensión en la resistencia de base, por tanto disminuirá
la corriente de base, lo cual se opone al inicial cambio de corriente
en el colector. La configuración por realimentación de
colector es la siguiente:
Figura b: Amplificador polarizado por retroalimentación con emisor
Las polarizaciones con realimentación de emisor y de colector representan los primeros esfuerzos por obtener polarizaciones más estables para los circuitos transistores. A pesar e que la idea de la retroalimentación negativa es buena, esos circuitos se quedan a mitad de camino al no proporcionar la suficiente retroalimentación negativa para lograr su objetivo.
Material y equipo a emplear
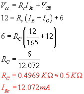
Diseñar un circuito amplificador en configuración emisor común con polarización fija como se muestra en la siguiente figura:
Figura 1: Circuito amplificador con
polarización fija
Utilizamos un valor de 470 Ω porque es el valor comercial que mas se aproxima al valor de 500 Ω que se nos había pedido. El valor de VCE = 6 Volts, βTIP = 165, VBE = 0.7 Volts
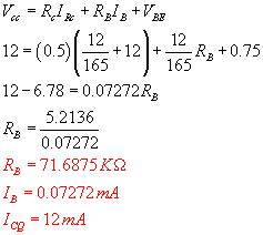
El valor teórico de RB lo calculamos de la siguiente manera:


Pero en valor comercial utilizamos una resistencia de 160 kΩ.



Medir el punto de operación Q en reposo (sin señal aplicada)
ICQ = VCC / 2RC = 12 / 2(500) = 12 miliAmp.
VCEQ = VCC / 2 = 12 / 2 = 6 Volts.
Q
= (6
Volts, 12 miliAmp.)
Cambie el transistor por otro de la misma serie para observar la variación que existe en el punto de operación entre dos transistores teóricamente iguales y obtener la diferencia de Q1 – Q2
| Parámetro |
Valor de la simulación |
Valor teórico |
Valor
medido en el experimento |
|
| Transistor 1 (β = 175) |
Transistor 2 (β = 282) | |||
| Corriente de colector (ICQ) |
12.02 mA |
12 mA |
13 mA |
20.1 mA |
| Voltaje colector - emisor (VCE) |
5.87 V |
6 V |
7.01 V |
3.67 V |

Cambie el valor de RC a 1kΩ para que concluya cual es el efecto de RC como se muestra en la siguiente figura.
VCC = RCICQ + VCE → ICQ = (VCC – VCE) / RC = (12 – 6) / 1000 = 6 miliAmp.
IBQ = ICQ / βTIP = 6 / 165 = 0.036363 miliAmp.
VCC
= RBIBQ + VBE → RB
= (VCC – VBE) / IBQ = (12 – 0.7)
/ 0.036363 = 310.75 kΩ, pero en valor comercial utilizamos una
resistencia de 160 kΩ.
| Parámetro |
Valor de la simulación |
Valor teórico |
Valor
medido en el experimento |
|
| Transistor 1 (β = 175) |
Transistor 2 (β = 282) | |||
| Corriente de colector (ICQ) |
5.75 mA |
6 mA |
11 mA |
13 mA |
| Voltaje colector - emisor (VCE) |
6.235 V |
6 V |
2.1 V |
0.22 V |
Agregue una resistencia en el emisor RE = 220 Ω para observar cuál es el efecto de ásta en el punto de trabajo, como se muestra en la siguiente figura.
El valor teórico de RB lo calculamos de la siguiente manera
IE = IC + IB
VCC = RCICQ + VCE + REIE → ICQ = (VCC – VCE)*β / [(RC + RE)*(β+ 1)] =
ICQ = (12 – 6)*165 / [(500+220)*(165+1)] = 8.2831 miliAmp.
IBQ = ICQ / βTIP = 8.2831 / 165 = 0.050200 miliAmp.
VCC = RBIBQ + VBE + REIE → RB = [VCC – VBE – RE(IC + IB)] / IBQ = [12 – 0.7 – 220(8.2831 + 0.050200) / 0.050200 = 179.197 kΩ, pero en valor comercial utilizamos una resistencia de 180 kΩ.
| Parámetro |
Valor de la simulación |
Valor teórico |
Valor
medido en el experimento |
|
| Transistor 1 (β = 175) |
Transistor 2 (β = 282) | |||
| Corriente de colector (ICQ) |
8.806 mA |
8.283 mA |
9.8 mA |
14 mA |
| Voltaje colector - emisor (VCE) |
5.912 V |
6 V |
6.43 V |
3.66 V |
Cambie el transistor por otro de la misma serie para observar la variación que existe en el punto de operación entre dos transistores teóricamente iguales y obtener la diferencia de Q1 – Q2.

Aplique una señal senoidal de 1 Khz con 15 miliAmp de Voltaje pico a pico (VPP). Conecte el canal X del osciloscopio entre la base y la tierra del transistor y el canal Y entre la tierra y el colector.
Canal X = 60 mV
Canal Y = 2.4 V

Ponga al máximo la amplitud del generador y detectar cuales son la regiones de corte y saturación por medio de la grafica poniendo el selector de canal en DC.







| Parámetro |
Valor de la simulación |
Valor teórico |
Valor
medido en el experimento |
|
| Transistor 1 (β = 175) |
Transistor 2 (β = 282) | |||
| Corriente de colector (ICQ) |
12.28 mA |
12 mA |
12.3 mA |
14.2 mA |
| Voltaje colector - emisor (VCE) |
5.861 V |
6 V |
6.01 V |
4.5 V |




| Parámetro |
Valor de la simulación |
Valor teórico |
Valor
medido en el experimento |
|
| Transistor 1 (β = 175) |
Transistor 2 (β = 282) | |||
| Corriente de colector (ICQ) |
9.845mA |
9.708 mA |
9.8 mA |
14 mA |
| Voltaje colector - emisor (VCE) |
4.912 V |
4.967 V |
6.43 V |
3.66 V |




| Parámetro |
Valor de la simulación |
Valor teórico |
Valor
medido en el experimento |
|
| Transistor 1 (β = 175) |
Transistor 2 (β = 282) | |||
| Corriente de colector (ICQ) |
7.891 mA |
7.809 mA |
8 mA |
9.1 mA |
| Voltaje colector - emisor (VCE) |
4.109 V |
4.143 V |
4.24 V |
3.18 V |




| Parámetro |
Valor de la simulación |
Valor teórico |
Valor
medido en el experimento |
|
| Transistor 1 (β = 175) |
Transistor 2 (β = 282) | |||
| Corriente de colector (ICQ) |
6.834 mA |
6.769 mA |
7 mA |
7.8 mA |
| Voltaje colector - emisor (VCE) |
3.662 V |
3.691 V |
3.74 V |
2.83 V |

Canal X = 60 mV
Canal Y = 1.2 V

Al calcular
la ganancia de voltaje para esta polarización, podemos notar que
perdimos mucho en esta cuestión de una polarización a
otra, sin embargo, hay que hacer notar que luego de incrementar el
voltaje de entrada del amplificador, éste no llega al punto de
sobre-excitación tan fácilmente (a lo largo de la
práctica insistimos en alimentar hasta los 15 volts y notamos
que a pesar de este elevado voltaje, el amplificador seguía
trabajando sin problema de que la señal fuera distorsionada).

¿Qué es el punto Q? Es aquél punto donde la recta de carga se intersecta con alguna curva característica del dispositivo a usar que en esta práctica fue un transistor. Representa la cantidad de voltaje y corriente que dará el circuito de transistor con respecto a la configuración a la que se encuentre conectado y el valor de sus elementos.
¿Cuál es el efecto de RC en el punto Q? RC no tiene efecto directo en el punto Q, ya que aunque esta resistencia se varíe, la cantidad de corriente que circula en el colector depende más directamente de la beta del dispositivo y de la corriente de base que se encuentre entrando al transistor.
¿Qué efecto tiene RE al ser incluida en un circuito de polarización fija? Al ser incluida una resistencia en el emisor, se produce un efecto llamado retroalimentación negativa la cual tiene por objetivo compensar las variaciones de voltaje y de corriente que la beta del dispositivo pueda ocasionar, solo con la desventaja de disminuir la ganancia de amplificación.
¿Qué efecto tiene RE al ser incluida en un circuito de polarización por retroalimentación por colector? En esencia tiene el mismo efecto que la resistencia de emisor de la pregunta anterior.
¿Cuál es el efecto de RB en el punto Q? RB juega un papel preponderante en el funcionamiento de un amplificador, ya que según el valor que esta resistencia pueda tener, mientras menor sea, la corriente de base que pasa es grande con lo que la corriente de colector también es grande, y de manera contraria, al aumentar la resistencia de base, la corriente que pasa en la base es menor con lo que la corriente de colector también disminuye. En pocas palabras, al variar la resistencia de base, estaremos moviendo a su vez al punto de operación Q.
¿Cuáles son las diversas causas por las que el punto Q se mueve usando un mismo modelo de transistor? El punto de operación se mueve aunque usemos varios transistores del mismo modelo debido a que cada transistor tiene diferentes valores para beta, esto por los diferentes procesos en su fabricación. Pero consideremos que las betas son casi iguales, y sigue variando, esto debido a la temperatura a la que se encuentra trabajando el dispositivo (quizá uno de los dispositivos estuvo demasiado tiempo sujetado entre las manos de una persona y la temperatura que tiene el dispositivo es la del cuerpo humano). Si se implementa una retroalimentación negativa por medio de una resistencia de emisor es probable que las variaciones sean casi imperceptibles.
¿Qué relación existe entre la resistencia de emisor y la ganancia? La ganancia disminuirá cuando se coloque una resistencia de emisor debido a que esta resistencia representa una caída de potencial más, y hay que recordar que la ganancia es la relación de voltaje de salida con el voltaje de entrada, así que esta caída de potencial en la resistencia de emisor, representa una pérdida para el voltaje de salida.
Respecto a la pregunta anterior, ¿cómo se puede eliminar el efecto de reducción de ganancia de la resistencia de emisor? La respuesta es tal que podemos colocar un capacitor (siempre y cuando haya una señal de entrada que varíe con el tiempo), el capacitor debe ser grande y debe estar colocado en paralelo con la resistencia de emisor con el fin de que parezca que existe un corto virtual en la terminal de emisor que lo lleva directamente a tierra, claro que habrá retroalimentación negativa.
¿Por qué son importantes los acoplamientos tanto en la entrada como en la salida del amplificador? El primer acoplamiento es para poner acoplar tanto la impedancia de entrada al circuito del amplificador como la impedancia de entrada del dispositivo que esté enviando la señal a amplificar. El segundo capacitor tiene la propiedad de evitar el defasamiento que existe entre la señal de entrada con la de salida.
¿Cómo detecto las regiones de corte y saturación en un amplificador sobre – excitado en la carátula de un osciloscopio? Al ser demasiada grande la señal de entrada a ser amplificada, es posible observar que existen deformaciones en la señal de salida, debido a que el amplificador quiere amplificar la señal entrante aunque sus condiciones ya no lo permitan. En el osciloscopio se conmuta el selector de canal a CD con lo que el nivel de referencia que se tenía en CA, bajará al pico inferior y podremos ver que cuando la señal (casi cuadrada) se encuentra a un nivel aproximado de Vcc (como si fuera un 1 lógico) diremos que el transistor se encuentra en la región de corte, mientras que si no hay voltaje (estado 0 lógico) el transistor habrá entrado a la región de saturación.
Acosta Valencia Pablo
En base al desarrollo de la práctica y comparando los resultados obtenidos con las simulaciones, se puede concluir que:
Debido a las tolerancias de las resistencias y sus mínimas variaciones, el punto Q sufre ligeras variaciones que lo llevan a moverse del punto en el que originalmente se diseñó.
Para el circuito con polarización fija, el simple cambio en el transistor lleva a que el punto Q se mueva drásticamente.
El hecho de que el punto Q se mueva, significa que el voltaje de colector – emisor (VCEQ) y la corriente de colector (ICQ), cambien de valor, lo que puede dañar a un circuito que dependa del amplificador.
La resistencia en el emisor para ambos circuitos, reduce el movimiento en el punto Q, por cambios en la y por cambios de temperatura si así los hubiese.
La ganancia de voltaje para el amplificador con polarización es mayor que con el amplificador de retroalimentación por colector.
La resistencia de emisor tiene la desventaja de reducir la ganancia de voltaje.
Lozano López Jorge Andrés
Al término de esta práctica, pude llegar a los siguientes conceptos:
Dependiendo de la polarización que se utilice en un amplificador dado, se debe de estar consciente en las características de dicha polarización, así por ejemplo, por regla general podemos decir que la estabilidad de cierto amplificador va en proporción inversa de la ganancia de amplificación que éste tenga.
El elemento más importante a ser tomado en cuenta para cualquier amplificador es la β, puesto que este parámetro varía de una forma arbitraria, es necesario encontrar un circuito que se estabilice cada vez que la β cambie.
La resistencia que más influencia tiene en un punto de operación dado es la resistencia de base; así pues, hay que tomar siempre en cuenta que ésta se mantenga lo más cerca posible del valor calculado.
Dentro de estos dos circuitos analizados, la adición de una resistencia en el emisor traerá como consecuencia una mayor estabilidad del punto Q; sacrificando, obviamente, un porcentaje de amplificación.
Mantener el punto Q lo más estable posible nos asegurará el pleno funcionamiento del amplificador y la seguridad de que el circuito de carga no se dañará.
Los resultados indican que, comparativamente, el amplificador de polarización fija es mucho menos estable que su contraparte de polarización en retroalimentación, sin embargo, el primero tiene una ganancia mucho mayor, sobre todo en voltajes muy pequeños; mientras que el segundo amplifica casi a la mitad del de polarización fija.
En cualquier circuito, siempre es importante acoplar las impedancias de entrada y de salida, para que de este modo se tenga el máximo valor de transferencia entre circuitos. Esto se logra por medio de los "capacitores de acoplamiento".
Por medio de la práctica pudimos observar que el circuito con polarización fija es el que tiene una ganancia de voltaje mayor que la polarización por retroalimentación por colector, sin embargo hemos comprobado que es más estable el circuito de retroalimentación por colector, aún cuando tengamos que sacrificar ganancia, cualquiera de los dos circuitos se vuelven mucho mas estables cuando a estos les agregamos una resistencia de emisor, pero volvemos a obtener menos ganancia, otro aspecto importante de la práctica es que comprobamos como varia la el punto de trabajo cuando cambiamos un transistor (aún cuando este sea de la misma serie y del mismo fabricante) en el mismo circuito debido a la β que presenta cada transistor, además de que existen otros factores como la temperatura que también pueden afectar al punto de operación . Sin la resistencia de emisor, la variación se presenta de una manera muy notable, pero cuando colocamos una resistencia de emisor, la variación del punto de operación disminuye. Cuando aumentamos la frecuencia en el generador de funciones vimos como llega un momento en el que la señal amplificado es distorsionada porque pasa los extremos del punto de operación y en el la practica laboral esto es lo que debemos evitar, debemos situar al punto de operación el centro de la línea de carga para obtener una señal que no este distorsionada.