Profe Cossoli

 

 

Ejercicios con radicales

 

 

 

 

Todos los hombres estamos hechos del mismo barro, pero no del mismo molde.

 

Proverbio mexicano

LISTA DE TEMAS DE ESTA SECCIÓN

1) Extracción de factores

2) Simplificación de radicales

3) Potencias de exponente fraccionario

4) Operaciones con radicales de igual y distinto índice

5) Racionalización de denominadores

Si lo que vas a decir no es más bello que el silencio: no lo digas.

 

Proverbio árabe

 
 

¡ Ojo !

Las resultados de los todos los ejercicios de esta sección están en: Soluciones

Ir a Soluciones                      Volver a Ejercitación

 

 
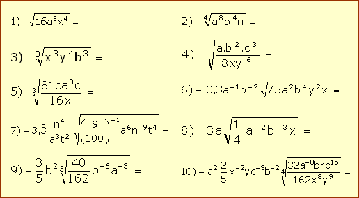
  1) Extracción de factores  
     
 

 

Extraer factores en las siguientes expresiones

 

 

 
 

 

Ir a Soluciones

 
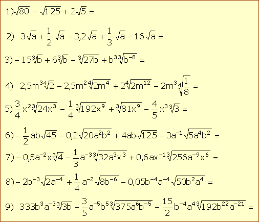
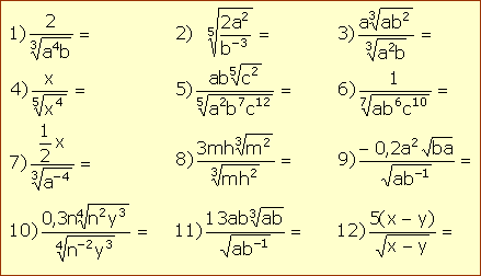
  2) Simplificación de radicales  
     
 

 

Simplificar los siguientes radicales

 

 

 

 

Ir a Soluciones

 
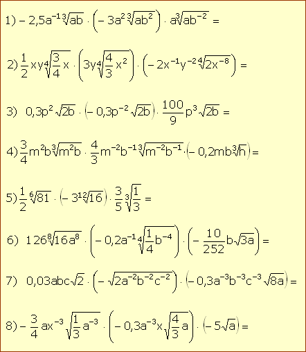
  3) Potencias de exponente fraccionario  
     
 

Encontrar la mínima expresión de la siguientes expresiones matemáticas

 

 

 

Ir a Soluciones

 
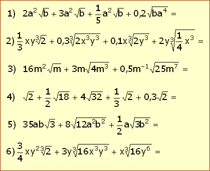
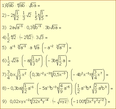
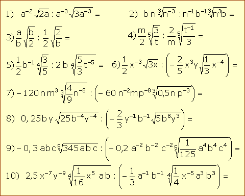
  4) Operaciones con radicales de igual y distinto índice  
     
 

 

a) Adicionar los radicales semejantes

 

 

b) Suma algebraica de radicales semejantes

 

 

c) Multiplicación de radicales de igual índice

 

 

d) Multiplicación de radicales de distinto índice

 

 

e) División de radicales de igual índice

 

 

f) División de radicales de distinto índice

 

 

 
 

 

Ir a Soluciones

 
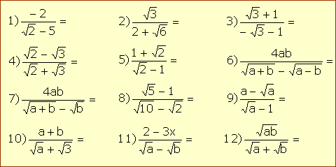
  5) Racionalización de denominadores  
     
 

 

a) Cuando el denominador es un radical

 

 

b) Cuando el denominador es un binomio

 

 
 

 

 

 

Ir a Soluciones

Volver a Ejercitación

Home

 

 
1