Profe Cossoli

 

 

Soluciones a los Ejercicios con radicales

 

 
  1) Soluciones a la extracción de factores  
     
 

 

 
 

 

 

 
  2) Soluciones a la simplificación de radicales  
     
 

 

 

 

 

 

 
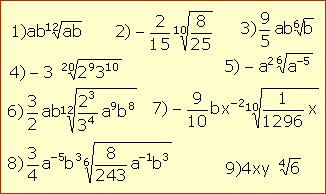
  3) Soluciones a las potencias de exponente fraccionario  
     
 

 

 

 

 

 

 
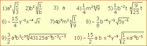
  4) Soluciones a las operaciones con radicales de igual y distinto índice  
     
 

 

a) Adicionar los radicales semejantes

 

 

b) Suma algebraica de radicales semejantes

 

 

c) Multiplicación de radicales de igual índice

 

 

d) Multiplicación de radicales de distinto índice

 

 

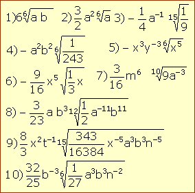
e) División de radicales de igual índice

 

 

f) División de radicales de distinto índice

 

 

 
 

 

   
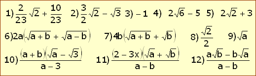
  5) Soluciones a la racionalización de denominadores  
     
 

 

a) Cuando el denominador es un radical

 

 

b) Cuando el denominador es un binomio

 

 

 
 

 

 

 

Volver a Ejercicios con Radicales

Volver a Ejercitación

Home

 

 
1