Cap�tulo 18

14. Con cinco nueves
Dos procedimientos son:

9 + 99/99 = 10,

99/9 - 9/9 = 10

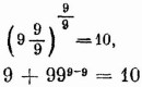
El que sepa álgebra puede añadir varias soluciones más, por ejemplo:

Volver
Hosted by www.Geocities.ws

1