Cap�tulo 18

8. Con cinco treses
He aquí la solución del problema
(33/3) - (3/3) = 10
Es interesante el hecho de que este problema se resolvería exactamente lo mismo, si el número 10 hubiera que expresarlo no con cinco treses, sino con cinco unidades, cinco cuatros, cinco sietes, cinco nueves y, en general, por cualesquiera cinco cifras iguales.
En efecto:
11/1 - 1/1 = 22/2 - 2/2 = 44/4 - 4/4 = 99/9 - 9/9, ... etc

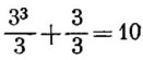
Existen otras formas de resolver este mismo problema:
(3 * 3 * 3 + 3)/3 = 10


Volver
Hosted by www.Geocities.ws

1