Cap�tulo 15

5. Las dos velas
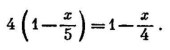
Para resolver este problema hay que plantear una ecuación muy sencilla. Llamemos x al número de horas que estuvieron encendidas las velas. Cada hora ardía s/5 parte (de la longitud) de la vela gruesa y i/4 parte de la vela delgada. Por lo tanto, la longitud del cabo de la vela gruesa vendrá expresada (en fracciones de la longitud de la vela entera) por 1- x/b, y la del cabo de la delgada, por 1 -x/4. Sabemos que las velas eran iguales de largas, y que el cuádruple de la longitud del cabo de la primera, 4 (1 - x/5), era igual a la longitud 1 - x/4 del cabo de la segunda:
Resolviendo esta ecuación hallamos que x = 3 3/4. Por lo tanto, las velas estuvieron encendidas 3 horas y 45 minutos.
Volver
Hosted by www.Geocities.ws

1