การวิเคราะห์ข้อสอบอัตนัย
การวิเคราะห์ข้อสอบอัตนัยจะต้องทำการแบ่งกลุ่มนักเรียนที่เข้าสอบออกเป็น 2 กลุ่ม คือกลุ่มเก่ง (กลุ่มสูง) และกลุ่มอ่อน (กลุ่มต่ำ) โดยใช้เทคนิค 25 % ของจำนวนนักเรียนที่เข้าสอบ วิธีการคำนวณจะต้องใช้สูตรของ D.R.Sabers (1970) ดังนี้
ดัชนีค่าความยาก (PE) มีสูตร ดังนี้
![]()
ดัชนีค่าอำนาจจำแนก (D) มีสูตร ดังนี้
![]()
เมื่อ PE แทน ดัชนีค่าความยาก
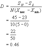
SU แทน ผลรวมของคะแนนกลุ่มเก่ง
SL แทน ผลรวมของคะแนนกลุ่มอ่อน
N แทน จำนวนผู้เข้าสอบของกลุ่มเก่ง หรือกลุ่มอ่อน (เฉพาะกลุ่มใดกลุ่มหนึ่ง)
Xmax แทน คะแนนที่นักเรียนทำได้สูงสุด
Xmin แทน คะแนนที่นักเรียนทำได้ต่ำสุด
D แทน ดัชนีค่าอำนาจจำแนก
ตัวอย่าง 7.6 แบบทดสอบอัตนัยฉบับหนึ่งหลังจากที่นำไปทดสอบกับนักเรียนและตรวจให้คะแนนแล้วจึงทำการแบ่งนักเรียนออกเป็น 2 กลุ่ม คือกลุ่มเก่ง และกลุ่มอ่อนด้วยเทคนิค 25 %
จากข้อมูลในตารางข้างล่างเป็นคะแนนของข้อสอบข้อที่ 1 (ซึ่งมีคะแนนเต็มเท่ากับ 5 คะแนน) จงหาค่าความยากและอำนาจจำแนก
คะแนน |
กลุ่มเก่ง |
คะแนน |
กลุ่มอ่อน |
|||
f |
fx |
f |
fx |
|||
5 |
3 |
15 |
5 |
0 |
0 |
|
4 |
5 |
20 |
4 |
1 |
4 |
|
3 |
2 |
6 |
3 |
3 |
9 |
|
2 |
0 |
0 |
2 |
5 |
10 |
|
1 |
0 |
0 |
1 |
0 |
0 |
|
0 |
0 |
0 |
0 |
1 |
0 |
|
รวม |
10 |
45 |
รวม |
10 |
23 |
|

ข้อสอบอัตนัยข้อที่ 1 มีค่าความยากเท่ากับ 0.68

ข้อสอบอัตนัยข้อที่ 1 มีค่าอำนาจจำแนกเท่ากับ 0.46
การแปลความหมาย
การแปลความหมายค่าความยาก
และอำนาจจำแนกของข้อสอบ
อัตนัย
จะใช้หลักการเช่นเดียวกันกับการวิเคราะห์ข้อสอบแบบอิงกลุ่ม
บทสรุป
การตรวจสอบคุณภาพแบบทดสอบ เป็นการตรวจสอบว่าแบบทดสอบนั้น ๆ มีคุณภาพดีเพียงใด หลังจากที่นำแบบทดสอบไปใช้ และตรวจให้คะแนนแล้ว การตรวจสอบคุณภาพแบบทดสอบจะกระทำใน 2 ลักษณะ คือ การตรวจสอบคุณภาพของแบบทดสอบรายข้อ หรือการวิเคราะห์ข้อสอบ มีจุดมุ่งหมายเพื่อพิจารณาความยาก (difficulty) และค่าอำนาจจำแนก (discrimination) ส่วนการตรวจสอบคุณภาพแบบทดสอบทั้งฉบับนั้น มีจุดมุ่งหมายเพื่อพิจารณาความเที่ยงตรง (validity) และ ความเชื่อมั่น (reliability)
การวิเคราะห์ข้อสอบ มีแนวคิดในการหาคุณภาพ 2 แนวคิด คือ การวิเคราะห์ข้อสอบตามแนวคิดอิงกลุ่มและอิงเกณฑ์ โดยการวิเคราะห์ข้อสอบตามแนวคิดอิงกลุ่มจะพิจารณาในเรื่องความยากและอำนาจจำแนก ส่วนการวิเคราะห์ข้อสอบตามแนวคิดอิงเกณฑ์จะพิจารณาเฉพาะค่าอำนาจจำแนกเท่านั้น
บรรณานุกรมประจำบทที่ 7
ชวาล แพรัตกุล. เทคนิคการวัดผล. กรุงเทพฯ : วัฒนาพานิช, 2516.
บุญชม ศรีสะอาด, นิภา ศรีไพโรจน์และนุชวนา ทองทวี. การวัดผลและประเมินผลการศึกษา.
มหาสารคาม : โรงพิมพ์ปรีดาการพิมพ์, 2528.
บุญเรียง ขจรศิลป์. หลักการวัดผลและประเมินผลการศึกษา. ภาควิชาการศึกษา
คณะศึกษาศาสตร์ มหาวิทยาลัยเกษตรศาสตร์, 2527.
ไพศาล หวังพานิช. การวัดผลการศึกษา. กรุงเทพฯ : ไทยวัฒนาพานิช, 2526.
รัตนา ศิริพานิช. หลักการสร้างแบบสอบวัดทางจิตวิทยาและทางการศึกษา. กรุงเทพฯ :
เจริญวิทย์การพิมพ์, 2533.
ล้วน สายยศ และอังคณา สายยศ. เทคนิคการวัดผลการเรียนรู้. กรุงเทพฯ : ชมรมเด็ก, 2539.
สมนึก ภัททิยธนี. การวัดผลการศึกษา. กาฬสินธุ์ : ประสานการพิมพ์, 2537.
สมศักดิ์ สินธุระเวชญ์. การประเมินผลอิงกลุ่มและอิงเกณฑ์. กรุงเทพฯ : เอกสารทางวิชาการ
ฝ่ายส่งเสริมมาตรฐานการศึกษา สำนักทดสอบการศึกษา กรมวิชาการ, 2522.
สวัสดิ์ ประทุมราช. แนวคิดเชิงทฤษฎี การวิจัย การวัดและประเมินผล. กรุงเทพฯ :
คณะศิษย์เก่าและศิษย์ปัจจุบันระดับบัณฑิตศึกษา ภาควิชาวิจัยการศึกษา คณะครุศาสตร์
จุฬาลงกรณ์มหาวิทยาลัย, 2531.
สำเริง บุญเรืองรัตน์. ทฤษฎีการวัดและประเมินผลการศึกษา. กรุงเทพฯ : สำนักทดสอบ
ทางการศึกษาและจิตวิทยา มหาวิทยาลัยศรีนครินทรวิโรฒ ประสานมิตร, 2527.
อนันต์ ศรีโสภา. การวัดและประเมินผลการศึกษา. กรุงเทพฯ : ไทยวัฒนาพานิช, 2525.
Brennan, R.L. "A Generalized Upper-Lower Item Discrimination Index," Educational
and Psychological Measurement. 32 : 289-303 ; Summer, 1972.
Ebel, Robert L.. Essentials of Education Measurement. 3rd ed. Englewool Cliffs, N.J.
Prentice-Hall, 1979.
Kubiszyn, Tom. Educational Testing and Measurement : Classroom Applicational
and Practice. Glenview, will., Scott, Foresman and Company, 1984.
Norman E. Gronlund. Measurement and Evaluation in Teaching. 5th ed. NewYork : Macmillan, 1985.
Wiersman, William. Educational Measurement and Testing. 2nd ed. Boston :
Allen and Bacon, 1990.