Las funciones trigonométricas, en matemática, son relaciones angulares; guardan relación con el estudio de la geometría de los triángulos y son de gran importancia en astronomía, cartografía, náutica, telecomunicaciones, la representación de fenómenos periódicos, y otras muchas aplicaciones.
El estudio de las funciones trigonométricas se remonta a la época de Babilonia, y gran parte de los fundamentos de trigonometría fueron desarrollados por los matemáticos de la Antigua Grecia, de la India y estudiosos musulmanes.
El primer uso de la función seno aparece en el Sulba Sutras escrito en India del siglo VIII al VI a. C. Las funciones trigonométricas fueron estudiadas por Hiparco de Nicea (180-125 a. C.), Aryabhata (476-550), Varahamihira, Brahmagupta, Muhammad ibn Musa al-Khwarizmi, Abu'l-Wafa, Omar Khayyam, Bhaskara II, Nasir al-Din Tusi, Regiomontanus (1464), Ghiyath al-Kashi y Ulugh Beg (Siglo XIV), Madhava (ca. 1400), Rheticus, y el alumno de éste, Valentin Otho. La obra de Leonhard Euler Introductio in analysin infinitorum (1748) fue la que estableció el tratamiento analítico de las funciones trigonométricas en Europa, definiéndolas como series infinitas presentadas en las llamadas "Fórmulas de Euler".
La noción de que debería existir alguna correspondencia estándar entre la longitud de los lados de un triángulo siguió a la idea de que triángulos similares mantienen la misma proporción entre sus lados. Esto es, que para cualquier triángulo semejante, la relación entre la hipotenusa y otro de sus lados es constante. Si la hipotenusa es el doble de larga, así serán los catetos. Justamente estas proporciones son las que expresan las funciones trigonométricas.
Las funciones trigonométricas se definen comúnmente como el cociente entre dos lados de un triángulo rectángulo respecto sus ángulos; pueden igualmente describirse como longitudes de varios segmentos respecto de una circunferencia unitaria (de radio unidad). Definiciones más modernas las describen como series infinitas o como la solución de ciertas ecuaciones diferenciales, permitiendo su extensión a valores positivos y negativos, e incluso a números complejos.
Existen seis funciones trigonométricas básicas. Las últimas cuatro, se definen en relación de las dos primeras funciones, aunque se pueden definir geométricamente o por medio de sus relaciones. Algunas funciones fueron comunes antiguamente, y aparecen en las primeras tablas, pero no se utilizan actualmente; por ejemplo el verseno (1 − cos θ) y la exsecante (sec θ − 1).
| Función | Abreviatura | Equivalencia |
|---|---|---|
| Seno | sin (sen) | |
| Coseno | cos | ![]() |
| Tangente | tan (tg) | ![]() |
| Cotangente | cot (cotg) | ![]() |
| Secante | sec | ![]() |
| Cosecante | csc (cosec) | ![]() |
Para definir las funciones trigonométricas del ángulo: α, del vértice A, se parte de un triángulo rectángulo arbitrario que contiene a este ángulo. El nombre de los lados de este triángulo rectángulo que se usará en los sucesivo será:
Todos los triángulos considerados se encuentran en el Plano Euclidiano, por lo que la suma de sus ángulos internos es igual a π radianes (o 180°). En consecuencia, en cualquier triángulo rectángulo los ángulos no rectos se encuentran entre 0 y π/2 radianes. Las definiciones que se dan a continuación definen estrictamente las funciones trigonométricas para ángulos dentro de ese rango:
1) El seno de un ángulo es la relación entre la longitud del cateto opuesto y la longitud de la hipotenusa:

El valor de esta relación no depende del tamaño del triángulo rectángulo que elijamos, siempre que tenga el mismo ángulo α , en cuyo caso se trata de triángulos semejantes.
2) El coseno de un ángulo es la relación entre la longitud del cateto adyacente y la longitud de la hipotenusa:

3) La tangente de un ángulo es la relación entre la longitud del cateto opuesto y la del adyacente:

4) La cotangente de un ángulo es la relación entre la longitud del cateto adyacente y la del opuesto:

5) La secante de un ángulo es la relación entre la longitud de la hipotenusa y la longitud del cateto adyacente:

6) La cosecante de un ángulo es la relación entre la longitud de la hipotenusa y la longitud del cateto opuesto:


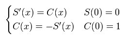
La definición analítica más frecuente dentro del análisis real se hace a partir de ecuaciones diferenciales. En concreto se definen dos funciones C(x) y S(x) que satisfacen el siguiente sistema de primer orden:
El teorema de Picard-Lindelöf de existencia y unicidad de las ecuaciones diferenciales lleva a que existen las funciones anteriores que se llaman respectivamente seno y coseno, es decir:
Esta definición de analítica de las funciones trigonométricas permite una definición no-geométrica del número π, a saber, dicho número es el mínimo número real positivo que es una cero de la función seno.
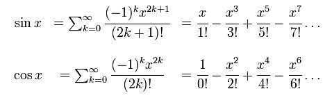
A partir de las definición anterior pueden establecerse que las funciones seno y coseno son funciones analíticas cuyo desarrollo en serie de potencias viene dado por:
Existe una relación importante entre la exponenciación de números complejos y las funciones trigonométricas:
Esta relación puede probarse usando el desarrollo en serie de Taylor para la función exponencial y el obtenido en la sección anterior para las funciones seno y coseno. Separando ahora en parte real e imaginaria en la expresión anterior se encuentran las definiciones de seno y coseno en términos de exponenciales complejas:
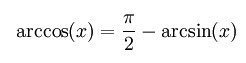
Las tres funciones trigonométricas inversas comúnmente usadas son:
La función arcoseno real es una función
, es decir, no está definida para cualquier número real. Esta función puede expresarse mediante la siguiente serie de Taylor:
Es una función similar a la anterior, de hecho puede definirse como:
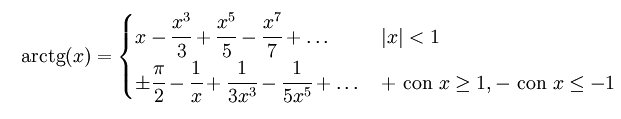
A diferencia de las anteriores la función arcotangente está definida para todos los reales. Su expresión en forma de serie es: