Capacitance Definition

 

Back Home Up Next

Capacitance can be defined as a system of conductors and insulators which permit the storage of electricity (free electrons) indicated by the letter C, the unit used to measure capacitance is the Farad symbol F.

The Farad is Defined as a charge of 1 coulomb on the capacitor surface with a potential difference of one volt between the plates

In normal applications the Farad is an extremely large unit to work with, most capacitors in daily use for radios, televisions, refrigerators and air conditioning units are rated in microfarads symbol (µf).

One microfarad is one millionth of a farad (0.000 0001 or 10 -6).

Capacitors are classified according to dielectric material used in their construction:

  • air,
  • mica
  • paper
  • oil filled
  • ceramic
  • electrolytic.

Capacitors are often used: -

  • to aid in the starting and running of motors,
  • increase their efficiency,
  • improve power factor.

Placing a capacitor in series with a motor winding causes the current wave lead the voltage curve of an ac circuit.

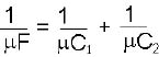
To find the value of capacitance in microfarads for capacitors placed in series in a circuit use the following formula

series capacitance formula
  • µF = net capacitance (effective value)
  • C1 = capacity of capacitance No 1 in microfarads.
  • C2 = capacity of capacitor No 2 in microfarads

The capacity of capacitors in parallel may be expressed by the formula

 

µF = C1 + C2

You can simply add together the values of all the capacitors connected in parallel.

Back Home Up Next

Hosted by www.Geocities.ws

1