Regarding "marriage" mentioned in the document

Marriage lines are the horizontal lines which show that two individuals produced offspring. Marriage is a traditional name, but as these charts may be used for humans, kitty-cats and sunflowers alike, scientists use other names for these lines. They are also known as coupling lines.

In genetics, scientists are unconcerned whether the people are married or not, or anything of a social nature like that. They are only interested in where the genes are coming from. Scientific charts deal only with the genetic information. Even the adpotion line I presented is of no concern where genetics are involved - only the biological parents.

I recognize that this is a sensitive issue for many people. Things happen socially that are complicated. For that reason, please don't include anything of a sensitive nature on your pedigree chart. Also, divorce and remarriages happen. People may not have a spouse. Some families are very large, some are blended. It gets complicated. In truth, it's none of my business. I'm just trying to teach genetics. If you fake a chart, I'll never know. Just make sure you know what all the symbols mean.

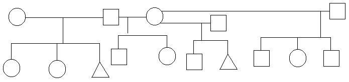
By the way, here's a way to do a very complicated family.

As you can see, the second woman over has had children by three men. Whether or not she was married doesn't matter on a genetic pedigree chart. We don't have any indication which one was first, but let's assume that the one on the left was first, the top right was second and the bottom right is last. From the lines, we can tell theat the woman has had seven pregnancies. There is one triangle, which might indicate a miscarriage, or the woman could be pregnant and not know the gender of the child. We can see that the woman's first man has another family by another female as well. These would be step-children to the woman's children.

Good luck on your own pedigree. Above all, have fun and learn something about your family.
Hosted by www.Geocities.ws

1