Tiro parabólico (lanzamiento de proyectiles)

Inicio
El tiro parabólico es el último tema que toca esta página (por razones de complicidad), ya que este tema ya implica movimiento en dos dimensiones.
El tiro parabólico es también llamado moviemiento o lanzamiento de proyectiles, que es la aplicación en la que más se utiliza.
Este movmiento se forma cuando un objeto se mueve en una trayectoria definida por una parábola (matemática).

Les dejo un programa en el que se pueden verificar sus resultados. El programa calcula automáticamente lo que se le pide, siempre y cuando, hayan ingresado correctamente los datos. Este programa sirve solamente para calcular el movimiento del eje Y del plano cartesiano.

Entender el tiro parabólico dividiendo los ejes x y y del plano cartesiano es algo complicado, por lo cuál , solamente explico la forma de resolver problemas utilizando la fórmula de alcance máximo.
 
Ejercicio 1: Determinar a qué distancia debe estar un blanco, si con un rifle, que expulsa la bala con una velocidad inicial de 175 m/s, y el tirador apunta con un ángulo de 5º sobre el eje horizontal. Desprecie la resistencia del aire.

Solución: Se utiliza la fórmula 
Rmax=(Vo^2*sen(2*Ø))/g así como está, y luego de meter los datos, se obtiene el alcance horizontal, que es la distancia a la que está un blanco = 542.0974m

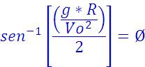
Ejercicio 2: Determinar el ángulo en el que se tiene que apuntar un arco, sabiendo que tiene una velocidad inicial de 25m/s, y el blanco está a 64 metros de distancia.

Solución: 
Se utiliza la fórmula Rmax=(Vo^2*sen(2*Ø))/g , pero se despeja como variable dependiente el ángulo (que es lo que se quiere encontrar), y queda así:

y luego de ingresar los datos, se concluye que el ángulo inicial debe ser de 30.15042849º, si se quiere acertar directamente en el blanco.
La fórmulas de este movimiento son las siguientes:

Las fórmulas de caída libre y tiro vertical, utilizada para calcular el eje Y.
La fórmula de movimiento rectilíneo uniforme.


Rmax=(Vo^2*sen(2*Ø))/g

donde:
Rmax=Alcance máximo del proyectil en el eje x.
Vo=Velocidad inicial del proyectil.
sen=Entidad Trigonomética Seno (Matemática)
Ø=Ángulo de salida del proyectil
g=Aceleración causada por la gravedad (en la Tierra=9.81m/s^2)
Tiro parabólico 
La partícula describe un movimiento que forma una parábola (de allí proviene su nombre), la cuál es calculada con el procedimiento descrito arriba.


Hosted by www.Geocities.ws

1