Spring Lab
By
using mathematical operations and the Pasco interface, we were able to determine
the spring constant of our spring, which was then used to determine the amount
of displacement necessary to accurately launch the spring off of a springboard
into a bucket. Using this analysis, we determined the amount of displacement
necessary to launch the spring vertically for a specified duration of time. We
also used the information gained from our spring analysis to find the vertical
height of the spring at a point in its path in order to block its continuation
of flight.
* * *
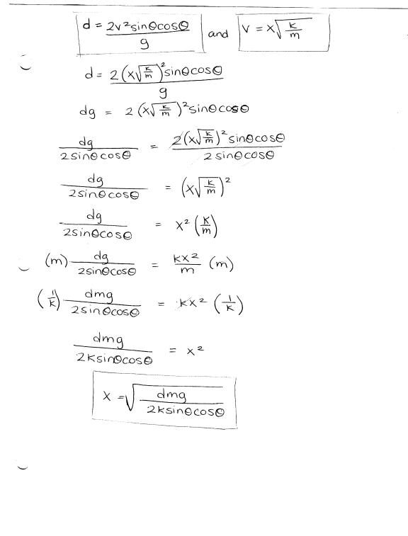
Finding
the spring constant of our spring:
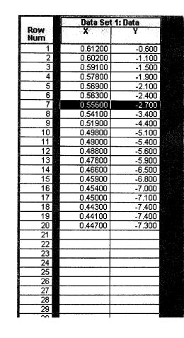
To find the spring constant (k) for our spring, we used the Pasco Interface software to find the force exerted by the spring at different stretched lengths. The slope of the resulting graph, of force versus displacement, was our spring constant.
Data
Points:
This
is the resultant graph for that data (the slope of that line is 42.189):

1.
Should the line used to fit your data pass through the origin? Explain
carefully using Hooke’s Law. What would be the implication if it did not pass
through the origin?
The line used to fit the data should not PASS through the origin, but it should start there, with height (displacement) zero. When there is no force, there will be no displacement because the spring is at equilibrium. If the graph did pass through the origin, this would imply that the spring has no energy, which wouldn’t be consistent with the rest of the data, because energy cannot be created or destroyed.
2. Explain why potential
energy in a spring is given by the formula PEspring = ½kx2.
3. Relate energy stored in the spring when compressed to kinetic energy obtained by the spring when it is released.

Procedure for the first
activity
1. The target is 3 meters away from spring launcher which is positioned at a 45 degree angle. Find the displacement necessary of the spring in order for the spring to land in the bucket when launched.
where d = 3, m = .02251 (mass of spring is 22.51g), k = 42.189 (found earlier), and theta = 45 degrees (angle of the launcher).
We found that x (the displacement of the spring) should be equal to 12.5 cm.
Unfortunately, the spring landed just short of the bucket. Not seeing any error in our calculation, we went back to square one, finding the spring constant a second time. The result was slightly different:

The graph for
this data looks like:

The new spring constant was 40.504. Plugging that back into the same equation:
The displacement (x) should be 12.8 cm. We set up the spring on the apparatus, let go, and WHOOSH! The spring went directly into the bucket.
Springtime
1. A specified time of flight is given (1second). This is the time the spring should be airborne when launched off of a 90 degree launcher.

The displacement of the spring should be 11.56 cm, so we tried this displacement:
This distance worked out quite well. The times for our flight were:
0.97 seconds 0.91 seconds 0.97 seconds
1.06 seconds 0.97 seconds
Thus, the average in-flight time was 0.976 seconds, an accuracy of 98% (the total time should have been one second; we achieved 98% of one second, so our percentage of error was 2.04%).
SDI for Springs
This activity
uses the data of the first activity (the flight of the spring from the 45 degree
launcher). This time, we need to
find out where the spring is at the peak of its flight so we can place an
impediment in its way. (The scenario here is really not a spring and a Physics
book, but a satellite blocking a radioactive missile that would destroy the
metropolis at the end of the path.)

Thus, we needed to place an impediment in the projectile’s path (1.5 meters horizontally, 2 meters high). We chose a Physics book.
Luckily, the Physics book just managed to stop the spring, so we saved our city from destruction by the massive missile!
Error
Analysis:
We were fairly successful with these lab activities. As noted in prior instances:
· We had a little trouble with our spring constant, which resulted in a failure on the first test (getting the spring to land in the bucket). However, when we went back and redid the spring constant, we were met with a success.
· The springtime lab was very successful, with only a 2.04% error.
· The SDI lab was successful as well: the spring did not hit the exact center of the book, but when it was ejected from the launcher, it did not travel in the exact straight line of its form; instead, its ‘tail’ wavered out of the pathway. Thus, when it hit the book on its top half, it makes sense that it was not directly centered (it did not hit it perpendicularly.) However, one end of the spring was in the center of the book, meaning that our calculations were indeed accurate.