| KZ5P | ||||||||||||||
| Hustler 6BTV Antenna Project | ||||||||||||||
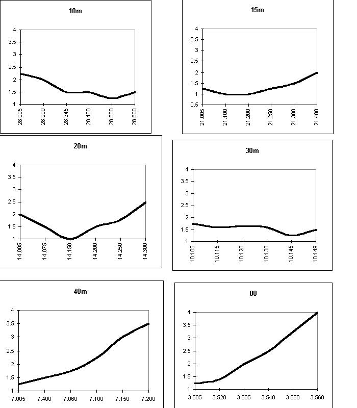
| BASIC ANTENNA DETAILS Hustler 6BTV Antenna 24' Mast 4 Radials per band (2/80) |
||||||||||||||
| Main | ||||||||||||||
| RADIALS To make the radials I had to overcome my city lot and neighbors. I couldn't have 22 radials spread out to 22 different attachment points. My solution was to make fan dipoles. Each radial set (4) contains 10/15/20/30/40 and is kept seperated by pvc. 80m had to be installed seperately. Each radial set is terminated with an egg insulator and black dacron to the attachment point. |
||||||||||||||
![]() |
||||||||||||||
| GUYING The 6BTV is very "whippy" itself, much less mounted on top of a 24' mast. The instructions say to guy it just about the 20m trap. I used fuel line clamps. These clamps are a piece of strap steel coated with plastic. I wrapped it around the antenna and used an eyebolt to secure it. The eyebolt then acted as a good attachment point. I used black dacron rope for the guys. The mast itself is a standard guy installation. |
||||||||||||||
| SWR CURVE | ||||||||||||||