 | |
REDESII | | |
Estándares IEEE 802
Introducción.-
El proyecto IEEE 802 fue creado en Febrero de 1980 con el fin de desarrollar estándares para que
tecnologías de diferentes fabricantes
pudieran trabajar juntas e integrarse sin problemas.
El IEEE ha producido varios estándares, protocolos o normas para las redes LAN denominados IEEE 802
que incluye: CSMA / CD, Token
Bus y Token Ring.
Los comités 802 del IEEE se concentran principalmente en la interfaz física relacionada con los niveles
físicos y de enlace de datos del modelo
de referencia OSI de la ISO.
Los productos que siguen las normas 802 incluyen tarjetas de la interfaz de red, routers y otros componentes
utilizados para crear LAN’s de
par trenzado, cable coaxial y fibra óptica.
IEEE:
Agrupación de ingenieros que, entre otras funciones, documenta todos los desarrollos tecnológicos.
Definición:
Broadband Advisory Group: Grupo asesor para técnicas de banda Ancha.
Dentro de la documentación existente en la IEEE 802.x se muestra el grado relación de la documentación
de este estándar
con los demás, tal como lo muestra la siguiente figura.

Clasificación de los Estándares 802
802.1
Normalización del interface con Niveles Superiores HLI
802.2
Normalización para el Control del Enlace Lógico LLC
802.3
CSMA/CD
802.4
Token Bus
802.5
Token Ring
802.6
Redes MAN
802.7
Redes LAN de Banda Ancha
802.8
Fibra Optica
802.9
Integración de voz y datos en las redes LAN
802.10
Seguridad en LAN
802.11
Redes LAN inalámbricas
802.12
LAN de acceso de prioridad 100VG Any LAN
IEEE 802.1
Normalización del Interfaz con Niveles Superiores (HLI)
Este estándar es el encargado de los temas relacionados con la arquitectura de red, interconexión de
redes y los aspectos
relativos a la administración de la red y sus elementos.
IEEE 802.1s
Múltiples Conexiones de Árboles
IEEE 802.1 P,Q - QoS en el nivel de MAC
Según la norma IEEE 802.1p, los parámetros siguientes son esenciales para proporcionar un QoS:
Características
El IEEE 802.1s es un soporte exclusivo de red.
Permite los viejos puentes SST en la capa de acceso.
La raíz del CST en la columna vertebral del MST.
Los MST’s no deben ser afectados por los CST’s.

IEEE 802.1 P,Q - QoS en el nivel de MAC
Según la norma IEEE 802.1p, los parámetros siguientes son esenciales para proporcionar un QoS:
Disponibilidad de Servicio
Pérdida de la Estructura
Estructura de orden de errado
Duplicación de Estructura
El retraso del tránsito experimentado por las estructuras
Vida de la Estructura
La proporción de error de la estructura no detectada
El máximo servicio en el tamaño de unidades de datos soportados
Prioridad del Usuario
Formulación
VLAN’s
802.1Q
La norma IEEE 802.1Q define una arquitectura para Puentes Virtuales de LAN's, los servicios que proporcionan
los Puentes
Virtuales de LAN's y los protocolos y algoritmos involucrados en la provisión de esos servicios.
802.1D
La actualización del IEEE 802.1D: Las normas ISO / IEC 15802-3 (Puentes MAC) cubren todas las partes
de la Clase de Tráfico
de Despacho y el Dinámico Multi Lanzamiento de Filtrado descritos en la norma IEEE 802.1p. Todos parten
de la norma IEEE
802.1p que se une con las versiones viejas de la norma IEEE 802.1D.
802.1p
La norma IEEE 802.1p, clase de Tráfico de despacho y el dinámico multi lanzamiento de filtrado, describe
los métodos
importantes para proporcionar QoS al nivel de MAC.
QoS
Las características de QoS para la ejecución incluyen:
Banda Ancha: La Proporción de Datos Máximos (PDR), La Proporción de Datos Sostenidos (DEG),
la Proporción de los Datos
Mínimos (MDR).
Retraso: Extremo a Extremo o Retraso del viaje redondo, Variación de Retraso (Temblor).
Fiabilidad : La disponibilidad (como un porcentaje de tiempo), Tiempo Malo entre los Fracasos
/ Tiempo Malo para la Reparación
(MTBF/MTTR), Errores y Pérdida del Paquete.
IEEE 802.2
CONTROL DE ENLACE LÓGICO (LLC)
LA CAPA DE ENLACE DE DATOS
La Capa de Enlace de Datos es la responsable del intercambio de datos entre un host cualquiera y la
red a la que está
conectado, permitiendo la correcta comunicación y trabajo conjunto entre las capas superiores (Red,
Trasnporte y Aplicación) y
el medio físico de transporte de datos.
Su principal objetivo es proporcionar una comunicación eficiente, libre de errores, entre dos máquinas
adyacentes,
pertenecientes a la misma red o subred. Para ello se encarga de la notificación de errores, la topología
de la red y el control
de flujo en la transmisión de tramas.
Cuando la conexión entre dos host es punto a punto, la Capa de Enlace de Datos se encarga de que los
datos se envíen con
seguridad a través del medio físico (Capa Física) y sin errores de transmisión.
La Capa de Enlace de Datos proporciona sus servicios a la Capa de Red, suministrando un tránsito de
datos confiable a
través de un enlace físico. Al hacerlo, la capa de enlace de datos se ocupa del direccionamiento físico,
la topología de red, el
acceso a la red, la notificación de errores, formación y entrega ordenada de tramas y control de flujo.
Sus principales funciones son:
Establece los medios necesarios para una comunicación confiable y eficiente
entre dos máquinas en red.
Agrega una secuencia especial de bits al principio y al final del flujo inicial
de bits de los paquetes, estructurando este flujo
bajo un formato predefinido llamado
trama o marco, que suele ser de unos cientos de bytes. Los sucesivos
marcos forman trenes de bits, que serán entregados a la Capa Física para su transmisión.
Sincroniza el envío de las tramas, transfiéndolas de una forma confiable libre
de errores. Para detectar y controlar los
errores se añaden bits de paridad, se usan
CRC (Códigos Cíclicos Redundantes) y envío de acuses de recibo
positivos y negativos, y para evitar tramas repetidas se usan números de secuencia en ellas.
Envía los paquetes de nodo a nodo, ya sea usando un circuito virtual o como
datagramas.
Controla la congestión de la red.
Regula la velocidad de tráfico de datos.
Controla el flujo de tramas mediante protocolos que prohiben que el remitente
envíe tramas sin la autorización explícita
del receptor, sincronizando así su emisión y recepción.
Se encarga de la de secuencia, de enlace lógico y de acceso al medio (soportes
físicos de la red).
En la actual tecnología TCP/IP, el estándar más aceptado para la Capa de Enlace de Datos es el definido
por la IEE, que
diferencia dos subcapas independientes:

Subcapa de Enlace Lógico (LLC), que permite que parte de la capa de
enlace de datos funcione independientemente
de las tecnologías existentes. Esta subcapa proporciona versatilidad en los servicios de los protocolos
de la capa de red que
está sobre ella, mientras se comunica de forma efectiva con las diversas tecnologías que están por debajo.
El LLC, como
subcapa, participa en el proceso de encapsulamiento.
La Subcapa de Enlace Lógico transporta los datos de protocolo de la red, un paquete IP, y agrega más
información de control
para ayudar a entregar ese paquete IP en el destino, agregando dos componentes de direccionamiento:
el Punto de Acceso al
Servicio Destino (DSAP) y el Punto de Acceso al Servicio Fuente (SSAP). Luego este paquete IP reempaquetado
viaja hacia la
subcapa MAC para que la tecnología específica requerida le adicione datos y lo encapsule.
La subcapa LLC de la Capa de Enlace de Datos administra la comunicación entre los dispositivos a través
de un solo enlace a
una red y soporta tanto servicios orientados a conexión como servicios no orientados a conexión, utilizados
por los protocolos de
las capas superiores. IEEE 802.2 define una serie de campos en las tramas de la capa de enlace de datos
que permiten que
múltiples protocolos de las capas superiores compartan un solo enlace de datos físico.
Subcapa de Control de acceso al medio (MAC), que se refiere a los protocolos
que sigue el host para acceder a los medios
físicos, fijando así cuál de los computadores transmitirá datos binarios en un grupo en el
que todos los computadores están
intentando transmitir al mismo tiempo.
CREACIÓN DE TRAMAS
Una vez que los datos procedentes de las capas superiores son empaquetados en datagramas en la Capa
de Red son
transferidos a la Capa de Enlace de Datos para su transmisión al medio físico.
Para que estos datos se puedan enviar de forma correcta hasta el destinatario de los mismos hay que
darles un formato
adecuado para su transmisión por los medios físicos, incluyéndoles además algún mecanismo de identificación
de ambos host
(emisor y receptor) para que la transferencia quede perfectamente identificada. Esto lo consigue la
Capa de Enlace de Datos
disponiendo los datagramas en forma de tramas.
Una trama está formada por un campo central de datos, en el que se coloca cada datagrama recibido de
la Capa de Red, y
otra serie de campos con utilidad variada. En general, el aspecto de una trama es el que sigue:

Campo de inicio de trama(Preámbulo): secuencia de bytes de inicio y señalización,
que indica a las demás máquinas en
red que lo que viene a continuación es una trama.
Campo de dirección: secuencia de 12 bytes que contiene información para
el direccionamiento físico de la trama, como la
dirección MAC del host emisor y la dirección MAC del host destinatario de la trama.
Campo longitud/tipo: en algunas tecnologías de red existe un campo longitud,
que especifica la longitud exacta de la
trama, mientras que en otros casos aquí va un campo tipo, que indica qué protocolo de las capas superiores
es el que realiza
la petición de envío de los datos. También existen tecnologías de red que no usan este campo. De existir,
ocupa 2 bytes.
Campo de datos: campo de 64 a 1500 bytes, en el que va el paquete de
datos a enviar. Este paquete se compone de
dos partes fundamentales: el mensaje que se deséa enviar y los bytes encapsulados que se deséa que lleguen
al host destino.
Además, se añaden a este campo unos bytes adicionales, denominados bytes de relleno, con objeto que
que las tramas
tengan una longitud mínima determinada, a fin de facilitar la temporización.
Campo FCS: o campo de secuencia de verificación de trama, de 4 bytes,
que contiene un número calculado mediante los
datos de la trama, usado para el control de errores en la transmisión. Cuando la trama llega al host
destino, éste vuelve a
calcular el número contenido en el campo. Si coinciden, da la trama por válida; en caso contrario, la
rechaza. Generalmente
se usan el método Checksum (suma de bits 1), el de paridad (números de bits 1 par o impar) y el Control
de Redundancia
Cíclico (basado en polinomios construidos a partir de los bits de la trama) para este fin.
Campo de fin de trama (Demora): aunque mediante los campos inicio de
trama y longitud se puede determinar con
precisión dónde acaba una trama, a veces se incluye en este campo una secuencia especial de bytes que
indican a los host
que escuchan en red el lugar donde acaba la trama.
DIRECCIONAMIENTO FÍSICO
La Capa de Enlace de Datos se encarga de determinar qué ordenadores se están comunicando entre sí, cuándo
comienza y
termina esta comunicación, qué host tiene el turno para transmitir y qué errores se han producido en
la transmisión.
Pero : ¿cómo se produce esta comunicación entre dos host de una misma red?. La respuesta es mediante
el
direccionamiento físico, basado en los números de las tarjetas de red de ambos host (direcciones físicas).
Cuando el host A deséa enviar una trama al host B, introduce en el campo "dirección" de la
trama tanto su dirección física
como la del host destino y, una vez que queda el medio libre, las transmite al mismo. Todos los host
conectados a la misma
red tienen acceso a la trama. La Capa de Acceso a la Red de cada host analiza las tramas que circulan
por la red y compara
la dirección física de destino de las mismas con la suya propia. Si coinciden, toma la trama y la pasa
a las capas superiores;
si no, la rechaza.
De esta forma, solo el host destino recoge la trama a él dirigida, aunque todos los host de la misma
red tienen acceso a todas
las tramas que circulan por la misma.
IEEE 802.3
DEFINICIÓN:
Este estándar define el protocolo CSMA/CD que significa acceso al cable en modo múltiple
mediante detección de portadora y
detección de colisiones.
CSMA/CD proviene de las siglas:
CS: Carry Sense (Sensor de Portadora).
MA: Múltiple Access (Acceso Múltiple). Todas las computadoras con este método de acceso conocen
las reglas.
CD: Detección de Colisiones. Una colisión es el choque de dos señales provenientes
de distintas computadoras, lo que
produce un exceso de corriente o voltaje en el medio de transmisión y es detectado por la computadora
más cercana al choque.
Si hay colisión:
Se suspende la transmisión.
Se manda una señal de Jam para avisar que hay una colisión.
Se genera un número aleatorio para esperar a reiniciar la secuencia de transmisión.
Si el mismo equipo colisiona no se genera otro número aleatorio, sino sólo se esperan múltiplos enteros
del primer número
aleatorio generado. Ethernet usa éste tipo de método de acceso. También es llamado Método de Contienda.
CARACTERÍSTICAS (Normas IEEE 802.3):
El estándar IEEE 802.3 está basado en Ethernet.
Se utiliza en redes LAN mediante el protocolo CSMA/CD
Hay dos tipos de cable:
1. Ethernet grueso con marcas para los conectores cada 2,5 metros. La longitud máxima permitida es de
500 metros.
2. Ethernet delgado, coaxial flexible de 50 ohm, con conectores BNC y en otros casos, cable
trenzado 10baseT con conectores
RJ-45.
El cable coaxial grueso para aumentar su extensión utiliza repetidores.

PROTOCOLO DE SUB CAPA MAC PARA 802.3
La estructura del frame para un 802.3 es:

El header de 7 octetos contiene el patrón 10101010 en cada octeto, generándose un pulso cuadrado de
10 MHz durante 5,6
s, permitiendo que el reloj del receptor se sincronice con el del transmisor.
El octeto de inicio del frame contiene el patrón 10101011 para denotar el inicio del mismo.
En el campo de dirección de destino, el primer bit (el 47) es 0 a menos que indique que es dirección
de grupo, en cuyo caso
el bit es un 1.
El bit 46 se emplea para distinguir las direcciones locales de las de naturaleza global.
Las direcciones locales son asignadas por el administrador de red en cuanto las globales son asignadas
por el IEEE para que
no exista ningún duplicado en todo el mundo.
El campo de datos puede tener entre 0 y 1.500 octetos.
Se establece que un frame tiene como mínimo 64 octetos, por lo cual si un campo de datos es igual a
cero, se utilizará el
campo de relleno para mantener el mínimo de 64 octetos.
ESPECIFICACION IEEE 802.3 Y ETHERNET:
Medio Físico
|
|
10BASE5
|
10BASE2
|
10BASE-T
|
10BASE-FL
|
|
CABLE
|
COAXIAL GRUESO
|
COAXIAL DELGADO
|
UTP CAT 3/5
|
FIBRA 62,5/125 MICRAS
|
|
PARES
|
1
|
1
|
2/2
|
2
|
|
FULL DUP
|
NO
|
NO
|
SÍ/SÍ
|
2
|
|
TIPO CONECTOR
|
N
|
BNC
|
RJ-45/RJ-45
|
ST
|
|
TOPOLOGIA
|
BUS
|
BUS
|
ESTRELLA/ESTRELLA
|
ESTRELLA
|
|
DIST. SEG.
|
500, MAX 2500 M
|
185, MAX 925 M
|
100, MAX 500 M
|
2 KM
|
|
|
|
150, MAX 750 M
|
|
|
NO NODOS/SEG
|
100
|
30
|
1024/1024
|
1024
|
En Ethernet, como en todas las redes locales, la transmisión que es realiza de asincrónica. Usa el código
Manchester, que
utiliza dos voltajes e identifica el bit 0 como una transición alto-bajo y el 1 como una transición
bajo-alto. El código Manchester
es poco eficiente, pero resulta sencillo y barato de implementar.
Una buena instalación Ethernet actual en un entorno de oficina puede dar sin problemas una BER inferior
a 10-12 Mbps.
IEEE 802.4
CARACTERÍSTICAS (Normas IEEE 802.4 TOKEN BUS):
Bus de banda ancha.
Cable coaxial de 75 Ohmios.
Velocidad de transmisión de 1,5 ó 10 Mbps.
Se trata de una configuración en bus física, pero funcionando como un anillo lógico.
Todas las estaciones están conectadas a un bus común, sin embargo funcionan como si estuviesen conectadas
como un
anillo.
Cada estación conoce la identidad de las estaciones anterior y posterior.
La estación que tiene el testigo, tiene el control sobre el medio y puede transmitir tramas de datos.
Cuando la estación ha
completado su transmisión, pasa el testigo a la próxima estación del anillo lógico; de esta forma concede
a cada estación por
turno la posibilidad de transmitir.
Medio Físico
La idea es representar en forma lógica un anillo para transmisión por turno, aunque implementado en
un bus. Esto porque
cualquier ruptura del anillo hace que la red completa quede desactivada.
Por otra parte el anillo es inadecuado para una estructura lineal de casi todas las instalaciones.

El token o testigo circula por el anillo lógico.
Sólo la estación que posee el testigo puede enviar información en el frame correspondiente. Cada estación
conoce la dirección de
su vecino lógico para mantener el anillo.
Para transmitir, la estación debe adquirir el testigo, el cual es usado durante un cierto tiempo, para
después pasar el testigo en el
orden adquirido.
Si una estación no tiene información para transmitir, entregará el testigo inmediatamente después de
recibirlo.
Protocolo de subcapa MAC para 802.4 token bus

Preámbulo: un byte que es utilizado para sincronizar el reloj del receptor.
Delimitador de Inicio: un byte utilizado para demarcar el inicio del frame.
Frame de Control: un byte que distingue al frame entre un frame de datos o de control. Si es de datos
lleva el nivel de prioridad y
puede llevar la solicitud de acknowledge positivo o negativo para el destino. Caso contrario indica
el tipo de frame de control que
representa.
Dirección Destino: indica la dirección del nodo destino.
Dirección Origen: indica la dirección del nodo fuente.
Datos: capo que encapsula los datos del nivel superior.
CRC: cuatro bytes que corresponden a una suma de verificación para asegurar que el frame llego en buen
estado.
Delimitador de Termino: un byte utilizado para demarcar el final del frame.
El funcionamiento básico del protocolo de nivel MAC es el siguiente: cada estación conoce la dirección
de las estaciones que
están a la izquierda y derecha suya. Al inicializarse el anillo el nodo con la dirección mas alta puede
enviar el primer frame,
enviando el token a la estación vecina que tenga la dirección de nodo siguiente. Luego, el token pasa
de nodo en nodo desde las
direcciones altas a las bajas y el funcionamiento es similar al del protocolo token passing.
El protocolo define además clases de prioridades de trafico: 0, 2, 4 y 6, siendo la 0 la mas baja. Al
llegar el token a la estación,
se verifica si la prioridad 6 tiene datos para transmitir, si es así los envía y pasa después a la prioridad
4, sino pasa
inmediatamente a la siguiente prioridad, situación que sigue hasta llegar al nivel 0 o bien hasta que
haya expirado el token
holding time.
IEEE 802.5
CARACTERÍSTICAS (Normas IEEE 802.5 TOKEN RING):
Redes usando paso de testigo como método de acceso transmisión 4/16 Mbps
Nivel físico utiliza cable de par blindado (cable STP con 150 ohms de impedancia). Para 4 Mbps se puede
utilizar par trenzado
común (cable UTP)
Maximo de 250 repetidores ligados a la red.
Topología lógica de anillo, topología física estrella.
Las Redes Token Ring. También llamada ANSI 802.1-1985, define los protocolos de acceso, cableado e interface
para la LANs
Token Ring. IBM hizo popular este estándar.
Usa un método de acceso de paso de tokens y es físicamente conectada en topología de estrella,
pero lógicamente forma un
anillo. Los nodos son conectados a una unidad de acceso central (concentrador) que repite las señales
de una estación a la
siguiente. Las unidades de acceso son conectadas para expandir la red, que amplía el anillo lógico.
La Interface de Datos en Fibra Distribuida (FDDI) fue basada en el protocolo Token Ring 802.5, pero
fue desarrollado por el Comité
de Acreditación de Estándares (ASC) X3T9. Es compatible con la capa 802.2 de Control de Enlaces Lógicos
y por consiguiente
otros estándares de red 802.
La NIC de cada computadora se conecta a un cable que, a su vez, se enchufa a un hUB central llamado
unidad de acceso a
multiestaciones (MAU). Token Ring se basa en un esquema de paso de señales (token passing), es decir
que pasa un token (o
señal) a todas las computadoras de la red.
La computadora que esté en posesión del token tiene autorización para transmitir su información a otra
computadora de la red.
Cuando termina, el token pasa a la siguiente computadora del anillo. Si la siguiente computadora tiene
que enviar información,
acepta el token y procede a enviarla. En caso contrario, el token pasa a la siguiente computadora del
anillo y el proceso
continúa. La MAU se salta automáticamente un nodo de red que no esté encendido. Sin embargo, dado que
cada nodo de una
red Token Ring examina y luego retransmite cada token (señal), un nodo con mal funcionamiento puede
hacer que deje de
trabajar toda la red.
Token Ring tiende a ser menos eficiente que CSMA/CD (de Ethernet) en redes con poca actividad, pues
requiere una sobrecarga
adicional. Sin embargo, conforme aumenta la actividad de la red, Token Ring llega a ser más eficiente
que CSMA/CD.
Campo Dirección Destino

Campo de Dirección Destino: Indica el nodo/s al que se manda la trama. Esta dirección es proporcionada
por el LLC en el
comando de transferencia de datos.
Dirección Individual: La dirección de un nodo final debe ser distinta de las demás direcciones de nodos
finales de una misma
LAN (en el caso de administración local), de los nodos finales de otras LAN conectadas (en el caso de
administración universal).
Existen dos clases de dirección individual: Unicast y Nula.
Dirección Unicast: Una dirección individual que identifica un nodo final.
Dirección Nula: Dirección que indica que la trama no pertenece a un nodo final. Los nodos finales nunca
tienen asignada la
dirección nula.
Dirección de grupo: Una dirección de grupo esta asociada con cero o mas nodos finales en una red dada.
En general, las
direcciones de grupo están asociadas a un conjunto de nodos finales relacionados lógicamente. Tanto
las direcciones Broadcast
como las Multicast son direcciones de grupo.
Dirección Broadcast: Dirección de grupo predefinida que denota al conjunto de todos los nodos
finales en una LAN dada.
Esta compuesta de 1s.
Dirección Multicast: Dirección de grupo asociada con varios nodos finales relacionados.
Direcciones Funcionales (FAs): Las FAs se emplean para identificar entidades funcionales bien conocidas,
a partir de un bit
significativo, dentro de un grupo de direcciones localmente administradas.
IEEE 802.6
REDES DE ÁREA METROPOLITANA
El comité IEEE 802 ha desarrollado el estándar para redes de área metropolitana públicas tratando de
conjugar las ventajas de
redes de área local (LAN) y redes de área extensa (WAN), proporcionando además de los clásicos servicios
de las LANs la
posibilidad de canalizar voz y vídeo digitalizados.
Los criterios del IEEE para el desarrollo del estándar fueron:
Funcionar bajo un rápido y robusto sistema de señalización.
Proporcionar unos niveles de seguridad que permitan el establecimiento de Redes Privadas Virtuales (VPN,
Virtual Private
Network) dentro de las redes de área metropolitana).
Asegurar una alta fiabilidad, disponibilidad y facilidad de mantenimiento.
Permitir una gran eficiencia independientemente del tamaño.
Características de Redes MAN (Metropolitan Area Network)
Son más grandes que una Red de Área Local y utiliza normalmente tecnología similar. Una MAN puede soportar
tanto voz
como datos.
Puede ser pública o privada. Privada: Son implementadas en Áreas tipo Campus debido a la facilidad de
instalación de Fibra
Óptica. Públicas de baja velocidad (< 2 Mbps), como Frame Relay, ISDN, T1-E1, etc.
Una MAN tiene uno o dos cables y no tiene elementos de intercambio de paquetes o conmutadores, lo cual
simplifica
bastante el diseño.
Emplean el estándar DQDB (Distributed Queue Dual Bus) o IEEE 802.6.
Tecnología DQDB (Dual Queue Distributed Bus)
El protocolo DQDB fue desarrollado por la Universidad Western Australia y fue adoptado (con algunos
cambios para
asegurar la compatibilidad con el tamaño de las celdas ATM) por el IEEE como la norma 802.6.



Estructura DQDB
La estructura básica DQDB es un doble bus unidireccional (A y B), que puede cerrarse en un anillo. A
lo largo del bus se van
interconectando los nodos. Uno de ellos actúa como generador de tramas en la cabecera del bus A y como
eliminador en la
terminación del bus B. Existe otro nodo análogo que realiza la operación contraria.
Los nodos están conectados como en el caso de la topología en anillo pero están suspendidos entre los
dos buses. Esto
significa que los nodos no interfieren con el flujo de paquetes a través del bus, permitiendo una transmisión
rápida y un impacto
mínimo frente a fallos en los nodos.
La clave de la tecnología DQDB es que cada nodo puede comunicar con cualquier otro escribiendo información
sobre un bus y
leyendo sobre el otro.
Método de Acceso
El protocolo de acceso al medio se basa en un mecanismo de colas distribuidas mediante unos contadores
en cada nodo de
acceso que se incrementan o decrementan según el tipo de paquete que circula (petición o vacante). Un
nodo, cuando decide
transmitir, envía un paquete de transmisión y mediante otro contador independiente que toma el valor
del principal lo decrementa
según pasan paquetes disponibles; cuando este valor llega a cero, puede transmitir.
Transmisión de datos
Cada trama se compone de 53 octetos, 5 de ellos para información de control y 48 para datos. Cuando
un nodo recibe un
paquete para transmitir desde una estación conectada, divide el paquete en segmentos de 48 octetos que
son encolados para
transmitir. Cuando una trama vacía pasa por el nodo, coloca el segmento situado a la cabeza de la cola
en la trama y marca la
trama como ocupada. Cuando una trama atraviesa el nodo destino lee el segmento de la trama y lo coloca
en un buffer. Cuando
el nodo receptor ha recibido todos los segmentos reordena el paquete y lo envía a la estación destino
conectada a él.
Medio de Transmisión
El estándar DQDB recomienda el empleo de fibra óptica monomodo, para enlaces entre nodos y especifica
el empleo de diodos
láser para transmisión.
Distancia entre Nodos
El estándar recomienda que la distancia entre nodos no sea nunca superior a 50 o 60kms.
Extensión
La red DQDB consiste en 512 nodos, corriendo sobre un bus dual de 155Mbit/s, sobre una distancia de
160kms. Cada nodo está
conectado a ambos buses, dando capacidad simultánea para leer y escribir.
Gestión
El estándar DQDB es una mezcla de control distribuido y centralizado. La topología de bus bidireccional
permite mantener un
sistema de colas distribuidas para acceder a la red.
Tipos de nodos
La división de la red en dos segmentos, acceso y transporte, permite configurar dos tipos de elementos
funcionales o nodos de
red:
Nodos Distribuidos: Permiten separar físicamente los segmentos de acceso y transporte. El usuario accede
a la red desde un
equipo terminal local propio y mediante una conexión remota enlaza con el segmento de transporte del
nodo de red.
Nodos Centralizados: Los segmentos de acceso y transporte del equipo terminal público de red se encuentran
ubicados en
las instalaciones del operador. En este caso, múltiples usuarios comparten el segmento de transmisión
del nodo sin tener
acceso directo al bus dual DQDB de la red.


Servicios:

IEEE 802.7
CARACTERÍSTICAS :
Este comité provee consejos técnicos a otros subcomités en técnicas sobre redes con mayores anchos
de banda con la
posibilidad de transmitir datos, sonido e imágenes.
Específicamente este estándar trata de las normas que debe cumplir una red LAN de Banda Ancha, tomando
en cuenta ciertas
características especificas que presentan este tipo de redes tales como:
Transmisión de información en forma analógica.
Transmitir varias señales por el cable.
Se modula la señal (AM ó FM).
Dividir el ancho de banda para enviar diferentes señales, para obtener canales de transmisión.
Para la aplicación de este estándar primeramente debemos conocer los aspectos básicos de la implementación
de una red LAN
de Banda Ancha.
Broadband: IEEE 802.7
Una red LAN de Banda Ancha permite el transporte de información por el canal eléctrico (conductor).
Este tipo de redes presenta las siguientes ventajas:
Mayor Distancia
Mayor capacidad de Canal
Capacidad Multimedia
También presenta algunas desventajas tales como:
Costo Mayor en los Modems de RF
Retraso de Propagación
Mayor Complejidad
Algunas de las delimitaciones que rige el estándar IEEE 802.7 para la redes LAN de Banda Ancha son:
IEEE 802.7 no establece una posición en cuanto al uso de los conectores de tipo FD.
Los tipos de terminología de sistema de cable son:
Cable Plant
Coaxial Cable System
Broadband Cable System
Broadband Coaxial Cable System
Broadband Medium
Physical Medium
Médium
Las especificaciones en cuanto al medio que debe cumplir un sistema de cable coaxial de banda ancha
son:
El ancho de banda de el medio para un sistema de cable coaxial de banda ancha se especifica en la siguiente
tabla:

El rango medio de frecuencia es de 36 Mhz.
El nivel de transmisión de señal: La onda portadora nominal de señal interna será transmitida a 6Mhz.
Cuando mas de un portador este contenido en el canal de 6 Mhz se aplicara la siguiente formula: C +54
-10 log 10(N), donde
Nes el numero de portadores contenidos en el canal de 6 Mhz y C es el nivel de señal por transportar
en dBmV.
El medio climático debe estar entre la temperatura promedio de la zona donde se la implemente.
Un sistema Broadband incluye como terminales: couplers, taps, splitters, y terminales con resistencias internas minimas (50
ohms).
IEEE 802.8
ESPECIFICACIÓN PARA REDES DE FIBRA OPTICA TIPO TOKEN PASSING / FDDI
Proporciona asesoría técnica a otros subcomités en redes de Fibra Optica como alternativa a las redes
actuales basadas en
cobre.
FDDI define una topología de red local en doble anillo y con soporte físico de fibra óptica. Puede alcanzar
velocidades de
transmisión de hasta 100Mbps y utiliza un método de acceso al medio basado en paso de testigo (token
passing). Con relación
al modelo de referencia OSI, FDDI define una serie de protocolos que abarcan las capas física y de enlace.
Como su propio nombre indica una de las características fundamentales de FDDI es la utilización de fibra
óptica (FO), medio para
el que fue específicamente diseñado aprovechando sus ventajas frente al cableado de cobre tradicional
en cuanto a velocidad de
transmisión, fiabilidad y seguridad: la FO, con un ancho de banda mucho mayor que el cable de cobre,
le supera en velocidad de
transmisión, es inmune a las interferencias electromagnéticas (EMI) y no emite radiación alguna que
pueda ser "escuchada" ni
tampoco puede ser "pinchada" sin que sea detectado.
Una red FDDI puede conectar un máximo de 500 estaciones con una distancia máxima entre estaciones de
2Km si se utiliza
fibra Multimodo o de 20Km si la fibra es Monomodo. La longitud máxima del anillo de fibra es de 200Km
ó 100Km si es doble.
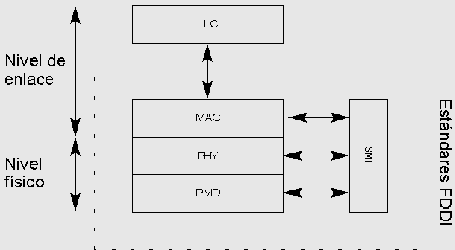
La especificación de FDDI abarca los niveles físico y de enlace del modelo de referencia OSI y, a su
vez, establece dos
subniveles dentro de la capa física y otras dos dentro de la capa de enlace.
El nivel físico está dividido en un subnivel dependiente del medio (PMD) y un protocolo del nivel físico
(PHY). El primero de ellos
define las características del medio de transmisión, incluyendo los enlaces de FO, niveles de potencia,
tasas de error,
componentes ópticos y conectores. El protocolo del nivel físico, a su vez, define los algoritmos de
codificación y decodificación,
la temporización de las señales, así como otras funciones.
El nivel de enlace queda dividido en un subnivel de control de acceso al medio (MAC) y un subnivel de
control del enlace lógico
(LLC). LLC está definido por el estándar IEEE 802.2 independientemente de FDDI, utilizándose este último
en múltiples
protocolos de enlace. El MAC define la forma en la que se accede al medio, incluyendo la especificación
del formato de las
tramas, la manipulación del testigo (token), el direccionamiento, los algoritmos para calcular los valores
CRC (cyclic redundancy
check) y los mecanismos de recuperación de errores.
A continuación se muestran los niveles físico y de enlace de FDDI:

FDDI define el uso de un anillo doble de fibra óptica. Por cada uno de los cuales el tráfico circula
en un sentido diferente.
Físicamente, cada anillo consiste en dos o más conexiones punto a punto entre estaciones adyacentes.
Uno de los anillos
recibe el nombre de anillo primario y se utiliza para la transmisión de los datos; el otro se denomina
anillo secundario y
generalmente se reserva su uso como circuito de respaldo.
IEEE 802.9
CARCTERISTICAS (ESTANDAR IEEE 802.9 Acceso integrado de voz y datos. Método de acceso y
nivel físico)
El alcance del trabajo cargado al grupo de trabajo IEEE 802.9 es:
Desarrollar un interface de servicio integrado voice/data al control de acceso al medio (MAC) y capas
físicas que son
compatibles con otras normas IEEE 802 y normas ISDN;
Desarrollar una interface que opere independientemente de la red backbone (del espinazo); y
Enfocar sobre el uso del par trenzado no-blindado (UTP) como el medio de distribución primario. Este
punto es
particularmente importante porque del near-pervasiveness del UTP y el exceso de ancho de banda y capacidad
que están
usualmente presentes cuando el UTP es empleado para las tales aplicaciones como la voz.

IEEE 802.10
SEGURIDAD EN LAN
Estándares
Hasta hace relativamente poco todos los productos LAN inalámbricos del mercado eran de un único fabricante.
Sólo en fechas
recientes se han estandarizado estos protocolos.
El comité 802.11 del IEEE estandarizó en 1997 varios sistemas basados en ondas de radio (1 y 2 Mb/s)
y en luz infrarroja (1,2, 4
y 10 Mb/s).
En Europa el ETSI (European Telecommunications Standards Institute) esta desarrollando otro estándar
de LANs inalámbricas
denominado HiperLAN, que pretende obtener velocidades de 10 a 20 Mb/s con un alcance de 50 metros utilizando
ondas de radio.
ENCAPSULACIÓN DE IEEE 802.10 VLAN
Esto representa las transformaciones que ocurren con encapsulaciones particulares de Ethernet al tender
un puente sobre sobre
un LAN virtual de IEEE 802.10.
El panorama está según lo demostrado.
|||||Interruptor||Interruptor|Originar
El Lado|A|== de IEEE 802,10 del ==|B|Lado de la Destinacio'n||Espina dorsal de
VLAN||||||
Note:.this es el caso en fecha el lanzamiento 10,3 de IOS (marcha de 1995).
1. Formato de IEEE 802.3 en originar el lado:
|||||||Destinación|Fuente|Longitud|802,2 LLC|Datos|||||||
aparece en la espina dorsal de 802,10 VLAN como:
|||Longitud|||Estación|Frag|Original|||Dest|Fuente||0A 0A 03|DICHO||||Datos||||+ 16|||Identificación|Bandera|802,2 LLC||
<-------- 16 bytes -------->
Nota: El campo del tipo 1 del LLC 802,2 ahora lleva el valor reservado de 802,10 LSAP de 0x0A 0x0A 0x03.
El DICHO es la identificación definida 802.10 de la asociación de la seguridad (4-bytes).
La identificación de la estación abarca 8 octetos: los primeros seises de los cuales está la dirección
canónica de la fuente del
paquete original, y los dos pasados son las banderas que son indefinidas y fijan así a la FALTA DE INFORMACIÓN.
La bandera de la fragmentación es un campo booleano y denota el marco para ser un fragmento si es verdad.
El Cisco no apoya
la fragmentación de 802.10 paquetes y por lo tanto este indicador se fija siempre a la FALTA DE INFORMACIÓN.
IEEE 802.11
CARACTERÍSTICAS (ESTANDAR 802.11 Redes Inalámbricas)
Este comité esta definiendo estándares para redes inalámbricas. Esta trabajando en la estandarización
de medios como el radio
de espectro de expansión, radio de banda angosta, infrarrojo, y transmisión sobre líneas de energía.
Dos enfoques para redes inalámbricas se han planeado.
En el enfoque distribuido, cada estación de trabajo controla su acceso a la red.
En el enfoque de punto de coordinación, un hub central enlazado a una red alámbrica controla la transmisión
de estaciones de
trabajo inalámbricas.
El estándar IEEE 802.11b (ó 802.11 de Alta Velocidad), que proporciona velocidades ampliadas de hasta
11 MBPS.
Existen dos amplias categorías de Redes Inalámbricas:
1. De Larga Distancia.- Estas son utilizadas para transmitir la información en espacios que pueden variar
desde una misma
ciudad o hasta varios países circunvecinos (mejor conocido como Redes de Area Metropolitana MAN); sus
velocidades de
transmisión son relativamente bajas, de 4.8 a 19.2 Kbps.
2. De Corta Distancia.- Estas son utilizadas principalmente en redes corporativas cuyas oficinas se
encuentran en uno o varios
edificios que no se encuentran muy retirados entre si, con velocidades del orden de 280 Kbps hasta los
2 Mbps.
Existen dos tipos de redes de larga distancia: Redes de Conmutación de Paquetes (públicas y privadas)
y Redes Telefónicas
Celulares. Estas últimas son un medio para transmitir información de alto precio.
La otra opción que existe en redes de larga distancia son las denominadas: Red Pública De Conmutación
De Paquetes Por
Radio. Estas redes no tienen problemas de pérdida de señal debido a que su arquitectura está diseñada
para soportar paquetes
de datos en lugar de comunicaciones de voz.
Las redes privadas de conmutación de paquetes utilizan la misma tecnología que las públicas, pero bajo
bandas de radio
frecuencia restringidas por la propia organización de sus sistemas de cómputo.
•Interfuncionamiento: Hasta 802.11b, el sector de LANs Inalámbricas constaba de una amplia variedad
de soluciones
propietarias, ninguna de las cuales interfuncionaba con las otras. Surgieron más inconsistencias cuando
la solución original de
802.11 ofreció tres implementaciones incompatibles de la capa física (salto de frecuencia, secuencia
directa e infrarrojo).
Una vez que los clientes elegían a un suministrador, no podían cambiar a otro vendedor sin crear islas
inalámbricas de cada
suministrador concreto.
•Itinerancia: Las aplicaciones verticales de las LANs Inalámbricas son generalmente pequeñas
y requieren únicamente
movilidad a lo largo de varios Puntos de Acceso de la misma subred corporativa (por ejemplo, dentro
de un único edificio).
El despliegue de una WLAN de propósito general a lo largo de un recinto corporativo requiere inteligencia
adicional para
proporcionar una itinerancia sin discontinuidades a través de Puntos de Acceso y varias subredes.
•Seguridad: Las comunicaciones inalámbricas abrieron un punto de vulnerabilidad en la transmisión
de datos, especialmente
puesto que podían radiar fuera del área de transmisión deseada. Esto se ha afrontado mediante mecanismos
de control de
acceso, así como mediante el cifrado de los datos que fluyen por la red inalámbrica.
IEEE 802.12
ARACTERISTICAS (IEEE 802.12 INTERFACE MIB )
Un IEEE 802.12 la interfaz puede configurarse para operar en ethernet o anillo
Un IEEE 802.12 usa el formato del marco por el idear configurar el modo, pero no usa los medios de comunicación
acceden el protocolo para ethernet o anillo de la ficha.
En cambio, IEEE 802.12 define sus propios medios de comunicación acceden el protocolo, el Demanda Prioridad
Acceso Método (DPAM).
Estos módulos de MIB se diseñan para instrumentar los medios de comunicación acceda el protocolo para
estas tecnologías
respectivas. Desde IEEE 802.12 interfaz no llevan a cabo ambos estos medios de comunicación acceda
los protocolos, un
agente no debe llevar a cabo RFC 1643, RFC 1650, o RFC 1748 para IEEE 802.12 interfazs.
Cuando un IEEE que 802.12 tiene una interfaz que está operando con Token Ring podría implentar un RFC
bajo las
consideraciones de IEEE 802.5 con MIB para esas interfaz
Los componentes fundamentales de la 802.12 son los nodos finales y los repetidores. Un nodo final es
normalmente un
cliente o una estación servidora. Un nodo final esta conectado a la red a través de una tarjeta de red
que se conecta al bus
del sistema. El Repetidor conecta los nodos finales con otros componentes del sistema como son bridges,
routers, y switches.
Una configuración básica de la prioridad de la demanda consiste en un número pequeño de nodos locales,
o los nodos del final
(generalmente entre 6 y 32), que están conectados con un solo repetidor. Una red más grande puede ser
construida conectando
en varios repetidores en casacada.
EL ESTÁNDAR ARQUITECTÓNICO DE IEEE 802,12 CON EL MODELO ISO
El estándar arquitectónico de IEEE 802,12 (100VG-AnyLAN) se divide en cuatro subcapas lógicas que quepan
dentro de
las dos capas más bajas OSI (interconexión de los sistemas abiertos) # 7498. Las subcapas para los nodos
del final y para
los repetidores y su relación al modelo de la ISO de OSI se pueden considerar abajo.

La capa de trasmisión de datos del modelo de la ISO de OSI es definida por las subcapas del LLC y del
MAC del estándar
802,12. Las capas del LLC apoyadas son la clase de la ISO {HYPERLINK "http://translate.google.com/translate_c?hl=es&u=http://www.hike.te.chiba-u.ac.jp/ikeda/IEC/home.html&prev=/search%3Fq%3Drfc%2Bieee802.12%26hl%3Des"
\t "_top" }
/
del IEC 8802-2 I e II transmisión del tipo 1 de soporte del LLC y
de 2 sin conexio'n-modos y transmisión del conexio'n-modo, respectivamente. La subcapa del MAC es compatible
con tres
formatos e interfaces del MAC:
El interfaz y el MAC-marco de ISO/IEC 8802-3 (CSMA/CD) MAC/LLC ajustaron a formato.
El formato compatible del MAC-marco de Ethernet ISO/IEC 8802-3 donde un campo del tipo se utiliza en
lugar del
campo de la longitud.
El interfaz y el MAC-marco de ISO/IEC 8802-5 (token ring) MAC/LLC ajustaron a formato.
|