
TEMA 2: MODELO DE EQUILIBRIO DE UNA ECONOMIA DE DOS SECTORES
Se iniciará el estudio de la demanda agregada y el producto agregado empezando por un modelo muy sencillo, y poco a poco se irá ampliando hasta lograr analizar un modelo más real, de modo que así se vaya adquiriendo un progresivo conocimiento del funcionamiento de toda la economía.
En principio se supondrán sólo dos agentes económicos: las familias (unidades consumidoras) y las empresas (unidades productoras). Esto sigue el modelo de flujo circular del ingreso (en su versión más simple). El diagrama ilustra esta ituación.
Haga click en las palabras para revisar los conceptos.
En cualquier momento existe una equivalencia exacta entre producto agregado (producción) e ingreso agregado. En un periodo dado las familias reciben un cierto ingreso (Y). El ingreso disponible (Yd) sería igual al ingreso agregado (Y). Suponiendo que no existe gobierno (es decir no hay impuestos, ni gasto del gobierno) y la economía es cerrada (no se exporta ni se importa), entonces una familia sólo tiene dos posibilidades para emplear su ingreso: consumir (C) o ahorrar (A).
CONSUMO:
El consumo se refiere a los gastos de consumo final de las familias o unidades consumidoras. Desde el punto de vista macroeconómico no interesa determinar qué tipos de bienes se consumen, ni quiénes exactamente los consumen, sino qué factores determinan el consumo global de la sociedad.
Determinantes del consumo agregado:
1. El ingreso de las familias: El nivel de ingreso disponible es el principal determinante del consumo de las familias. En general conforme más alto sea el ingreso mayor será el consumo, y viceversa, es decir, a menor ingreso se tenderá a dar un menor consumo (esto es de acuerdo con la función de consumo keynesiana, que se explicará más adelante. Si desea saber más sobre este modelo haga click aquí). Ver la lectura Hogares contraen consumo y observe como los hogares tendieron a disminuir su consumo cuando el ingreso tendió a caer. Analice el gráfico.
2. La disponibilidad crediticia: El acceso al crédito puede permitirle a las familias un mayor nivel de consumo. Así una economía puede consumir más si existe un adecuado sistema financiero (compuesto por bancos, financieras, cooperativas de ahorro y crédito, etc.) que proveen crédito suficiente a través de distintos medios: préstamos, tarjetas de crédito, etc.
3. La tasa de interés: Esta puede verse desde dos perspectivas: 1. Si no se dispone de recursos para consumir, la tasa de interés representará el costo de endeudarse, y, 2. Si se poseen recursos suficientes, la tasa de interés representa el premio por ahorrar y no consumir. En cualquiera de los dos casos mientras más alta sea la tasa de interés menor será el estímulo a consumir, y a menores tasas de interés se podrá tener un mayor consumo. Por ejemplo, suponga que usted desea comprar un automóvil nuevo. Si se va a endeudar es más favorable comprar el auto (o sea consumir) si las tasas de interés son bajas (se observa que una baja tasa de interés alienta el consumo). También, si usted tuviera el dinero pero la tasa de interés fuera alta podría ser que prefiera ahorrar el dinero, y no gastarlo, atraído por las altas ganancias que obtendría (una alta tasa de interés no estimula un mayor consumo). Ver la lectura ¿Recesión? Todavía no para observar como en Estados Unidos se busca incentivar el consumo (y otras variables) a través de menores tasas de interés.
4. Las expectativas sobre precios e ingresos futuros. Las decisiones de consumo presentes se pueden afectar por las expectativas que se tengan sobre la evolución de los precios y el ingreso en algún futuro.
La función de consumo expresa la relación entre el ingreso y el consumo. La función que aquí se analizará supone al ingreso como único determinante del consumo (si desea estudiar el modelo más ampliamente haga click aquí). Además se realizan las siguientes consideraciones:
La función consumo se expresa matemáticamente de la siguiente manera:
C = f(Yd)
C = a + bYd
donde:
C = Consumo privado.
a = Consumo autónomo: Nivel de consumo que no depende del nivel de ingreso, sino que está determinado por otros factores (tasas de interés, disponibilidad crediticia, etc.). Representa la intersección con el eje vertical de la función de consumo.
b = Propensión Marginal a Consumir: Es la proporción de un colón de ingreso adicional que se destina al consumo. Siempre será un número entre cero y uno. Representa la pendiente de la función de consumo (lo que varía el consumo ante una variación en el ingreso)
Yd = Nivel de ingreso disponible (en este caso Yd = Y).
A continuación se muestra la gráfica que representa a la función consumo, descrita anteriormente como una función lineal que interseca al eje vertical en "a" (consumo autónomo) y con pendiente "b" (propensión marginal a consumir). La función consumo es la recta azul señalada como "C=a+bYd", mientras que la recta Y es una línea de referencia que forma un ángulo de 45º con los ejes, y sirve para realizar comparaciones entre el nivel de consumo (en este caso) y el nivel de ingreso.

En esta función se puede observar que cuando el nivel de ingreso es bajo, como en Y1 en la gráfica de abajo, entonces el consumo será mayor que el ingreso y por tanto el ahorro será negativo (desahorro). Si el nivel de ingreso es más alto, como en Y2, entonces el ahorro será cero, pero si el ingreso es más elevado que en Y2, por ejemplo en Y3, entonces podrá existir un ahorro (positivo) para la sociedad.

Es importante realizar algunas observaciones sobre el consumo en Costa Rica:
El siguiente gráfico muestra cómo se obtiene el ahorro a partir de la función consumo. Debe recordarse que el ahorro se obtiene como la proporción del ingreso disponible que no se consume. Haga click en el botón de animar para observar la forma en que Y aumenta y el modo en que cambia el nivel de ahorro.
En el siguiente gráfico se muestra la gráfica de la función consumo y exactamente debajo de ella la función de ahorro personal:

De acuerdo con lo anterior, el ahorro queda definido como una variable residual, es decir, la parte del ingreso disponible que no se consume. La sociedad primero trata de satisfacer sus necesidades a través del consumo de bienes y servicios, y luego, si puede, ahorra.
Anteriormente se mencionó con respecto al ingreso disponible que:
Yd = C + A
Esto permite expresar al ahorro de la siguiente manera:
A = Yd - C
Y si se sustituye C por C = a + bYd se obtiene:
A = -a + (1-b)Yd
que sería la forma funcional del ahorro, y donde:
IMPORTANCIA MACROECONOMICA DEL AHORRO:
Se mencionó anteriormente que el consumo es sumamente importante por ser el "motor de la economía", y que de ese modo si las familias perciben un cierto ingreso y lo gastan (consumen) le permitirían a las empresas recuperar los recursos invertidos y así continuar con el ciclo ingreso-gasto. Pero si las familias no consumen alguna parte de su ingreso, entonces se interrumpirá este ciclo, haciendo decrecer la producción y el ingreso. Es necesario que de alguna manera esos ingresos regresen al ciclo ingreso-gasto. Así podría tratarse de canalizar esos recursos no consumidos por las familias hacia otros sectores que si estén dispuestos a gastarlos, y si las empresas logran recibir esos ingresos no consumidos podrán entonces adquirir más bienes de capital o de producción, con lo que se incrementará la capacidad productiva de la economía. Esta canalización es posible realizarla a través de los mercados financieros. En este sentido el ahorro es sumamente importante, ya que si la sociedad dedica todos o casi todos sus ingresos al consumo es muy poco lo que queda para el ahorro, y en consecuencia será difícil financiar el incremento de la capacidad productiva (inversión). Así podría concluirse que para que la economía crezca es necesario incrementar la capacidad productiva, para aumentar esta capacidad productiva es necesario invertir, y para poder invertir es necesario ahorrar.
Lea la lectura AÑOS DE LANGOSTA EN AMERICA LATINA, por el economista Rudi Dornbusch, en la cual podrá leer con relación a algunos de los principales problemas económicos de los países de América Latina, entre ellos la "angustiosamente baja tasa de ahorro" como señala el autor.
INVERSION:
En economía el concepto de inversión es algo distinto del concepto que la gente emplea con frecuencia. El concepto se explicará a través del siguiente esquema:
Haga click en las palabras para revisar los conceptos.
La inversión está entonces compuesta por la inversión bruta fija y por las variaciones en las existencias o inventarios. Así la inversión bruta fija o formación bruta de capital consiste en la inversión neta más la inversión de reposición. La inversión neta es la adquisición de nuevos bienes de capital por parte de las empresas, mientras que la inversión de reposición consiste en reponer los bienes de capital ya depreciados. Por otro lado las variaciones en las existencias consiste en los incrementos en los inventarios de producto terminado.
INVERSION PLANEADA VS. INVERSION REALIZADA:
Hasta ahora se ha dicho que son las empresas las que invierten, pero realmente estas empresas no tienen total control sobre el monto que se invierte, ya que las variaciones en las existencias están afectadas por las decisiones de otros actores, los consumidores por ejemplo. Si las familias (consumidores) no compran tanto como las empresas lo habían planeado, entonces los inventarios serán mayores que los planeados, y las empresas habrán realizado un inversión que no habían planeado hacer.
Esto implica que sea necesario distinguir entre inversión planeada o deseada e inversión realizada. Así la inversión realizada es el monto real invertido, incluye los cambios en inventarios no planeados. La inversión planeada consiste en las adiciones de bienes de capital e inventarios planeadas por las empresas. En general se designará mediante I a la inversión planeada.
DETERMINANTES DE LA INVERSION:
Se mencionó anteriormente que la inversión está compuesta por las variaciones en los inventarios y por la inversión bruta fija. En el primer caso se tiene que estas variaciones responden de forma bastante inmediata a la demanda, de modo que los aumentos en la demanda se satisfacen reduciendo los inventarios, y viceversa.
Por otro lado, la inversión bruta fija depende de otros factores. Por el lado de la inversión de reposición ésta depende de la depreciación o desgaste sufrido por los bienes de capital en el proceso de producción.
En lo que respecta a la inversión neta en bienes de capital no parece existir una relación sistemática entre ésta y el nivel de ingreso. Sino que parece existir mayor relación con el deseo de las empresas de obtener utilidades al llevar a cabo dichas inversiones. En este sentido los factores más relevantes son los siguientes:
Busque aquí datos relacionados con la inversión en Costa Rica:
DETERMINACION DEL EQUILIBRIO EN UNA ECONOMÍA DE DOS SECTORES:
Hasta ahora el modelo contiene dos únicos agentes económicos: familias y empresas, y por tanto la demanda agregada está constituida por dos componentes: el consumo y la inversión, los cuales determinan el nivel de producto e ingreso agregados. El siguiente diagrama muestra la forma en que se conbinan estos elementos para determinar el nivel de ingreso agregado (Y) de la economía.
Haga click en las palabras para revisar los conceptos.
Anteriormente se mencionó que:


Se tiene entonces un modelo que se puede plantear del modo siguiente:
C = a + bYd (función consumo), donde Yd = Y
I = Io (función inversión)
Donde la condición de equilibrio puede establecerse de dos formas:
(1) Y = C + I (ingreso agregado = gasto agregado)
(2) A = I (ahorro = inversión planeada)
Ejemplo numérico: Determine el nivel de ingreso de equilibrio en una economía si se conoce la siguiente información:
Esto permite formar las ecuaciones:
C = 200 + 0.75Y (esto implica que A = -200 + 0.25Y)
I = 50
A continuación se muestra el cálculo del ingreso de equilibrio por los dos enfoques mecionados:
|
Y = C + I
|
A = I
|
|
Y = 200 + 0.75Y + 50 Y - 0.75Y = 200 + 50 0.25Y = 250 Y = 250/0.25 Y = 1000 |
-200 + 0.25Y = 50 0.25Y = 50 + 200 0.25Y = 250 Y = 250/0.25 Y = 1000 |
Gráficamente la solución se mostraría de la forma siguiente (la primer gráfica corresponde al primer enfoque y la de abajo al segundo):

EL EFECTO MULTIPLICADOR:
Cuando ocurre alguna variación en la inversión, ésta afecta al nivel de ingreso y este a su vez al consumo, afectando nuevamente al ingreso, y así se da una cadena de gastos secundarios en consumo, esto por ser el consumo una función del ingreso.

Así finalmente, la variación total en el ingreso es mayor que la variación inicial en la inversión. Este efecto depende de la propensión marginal a consumir, ya que si ésta es mayor entonces el multiplicador será más elevado. Eso quiere decir también que si se ahorra mucho, el proceso multiplicador desaparece con mayor rapidez.
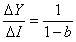
El multiplicador se puede expresar como:
![]()
Ejemplo: Tomando los datos del ejemplo numérico anterior, donde la propensión marginal a consumir (b) era de 0.75, calcule el efecto de un incremento de 20 en la inversión.

Este multiplicador indica que por cada unidad que aumenta la inversión el ingreso se incrementará en 4. Luego, si la inversión aumenta en 20, entonces el ingreso aumentará en 80.

LA PARADOJA DE LA AUSTERIDAD:
Comúnmente se habla de los beneficios de ahorrar, pues hay quienes dicen "colón ahorrado, colón ganado". Pero si todas las familias de la economía ahorran una cierta cantidad adicional, entonces su consumo se disminuirá y en consecuencia el nivel de ingreso será menor, y la sociedad como un todo estará en un situación peor a la original. Gráficamente se ilustra del siguiente modo:

El ingreso de equilibrio original es de 1000, pero se da un aumento en el ahorro (autónomo) de 100 lo que produce que el ingreso de equilibrio se disminuya a 600. Así la sociedad creyendo que mejoraría su situación al ahorrar más, más bien ahorra menos y su ingreso disminuyó.
La afirmación de que ahorrar es bueno, no es falsa en sí, lo que ocurre es que es cierta a nivel individual, no así para la sociedad en su conjunto.
BRECHAS INFLACIONARIAS Y RECESIVAS: INFLACION Y DESEMPLEO


Con relación a este primer tema puede leer más información en los siguientes sitios:
También puede consultar la siguiente bibliografía:
¿Volver al Tema 1? ¿Continuar al Tema 3?