La
empresa ante la inflación y la devaluación
Por
Lic. Gabriel Leandro
Economista
Tanto
la inflación como la devaluación tienen una serie de
implicaciones sobre el sistema económico y en consecuencia
sobre las personas y las empresas. Se considerará ahora
algunos aspectos específicos que se ven afectados en
forma directa por las variables citadas. Las empresas
deben conocer de qué modos la inflación y la devaluación
las pueden favorecer o desfavorecer según sea el caso.
Efectos
de la inflación
Anteriormente
se dijo que la inflación podía afectar a la economía
de distintos modos: merma el poder adquisitivo del dinero,
puede favorecer a los acreedores si los deudores han
previsto una inflación inferior, genera algunos costos
administrativos, distorsiona la toma de decisiones,
afecta las inversiones productivas, afecta la balanza
de pagos y distorsiona el orientador del mercado. Todo
esto no sólo influye sobre la economía como un todo,
sino que tiene un fuerte impacto sobre la actividad
empresarial. A continuación se hace un análisis de algunos
de los aspectos que más se ven afectados por la inflación.
1.
La
evaluación de proyectos
La
inflación incide sobre los flujos de efectivo de un
proyecto y sobre la tasa de descuento requerida por
la empresa, así la inflación distorsiona las decisiones
en la elaboración del presupuesto de capital. La principal
razón es que los cargos por depreciación se basan en
el costo original del activo y no en el costo de reposición.
Con la inflación la utilidad aumenta y una parte creciente
es gravada, así que los flujos en términos reales disminuyen.
La
inflación puede afectar en mayor o menor intensidad
a los flujos de efectivo, dependiendo de la naturaleza
de éstos. Así la inflación podría afectar más a los
precios de venta, o bien a los costos. El empresario
generalmente combate la inflación tratando de disminuir
los costos y manteniendo precios competitivos, pero
no puede nada en contra de la inflación generalizada
en la economía, y en consecuencia sus flujos de caja
podrían ser, en términos reales, cada vez menores, por
la pérdida del poder de compra del dinero. De ese modo
la inflación incentiva las inversiones con recuperación
rápida y que requieran una menor inversión de capital.
En
virtud de lo anterior, para considerar el efecto de
la inflación, ya que los flujos de efectivo se calculan
en términos nominales y no reales, es necesario considerar
algún factor de deflación al calcular el valor actual
neto (VAN) del proyecto. En este sentido Van Horne
(1988) aclara que "el factor fundamental es que
si el criterio de aceptación, es decir, la tasa de rendimiento
requerida, incluye una prima por la inflación esperada,
entonces los flujos de efectivo estimados también tienen
que reflejar la inflación" (p. 363).
Es
necesario entonces ajustar tanto los ingresos como los
costos y gastos, de acuerdo con una tasa de inflación
para cada uno, según se estime que estos van a variar.
Así un flujo de efectivo R i que se obtendría
de:

Donde:
Ii
Ingresos del período i
Ci
Costos y gastos del período i
Ajustando
los ingresos por una cierta tasa de aumento por inflación
f ,y los costos y gastos
por una tasa de aumento como consecuencia de la inflación
g, se obtendría que entonces un flujo de efectivo
estaría dado por:

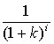
Luego
será necesario efectuar algunos ajustes a la tasa de
descuento, para incluir el efecto de la inflación. Así
entonces, cada factor de descuento:

donde k es la tasa de rendimiento mínimo, quedará expresado
como:

donde p
Tasa de inflación proyectada.
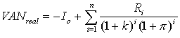
En
consecuencia el VAN real de la inversión se podrá expresar
como:

La
empresa también podría calcular previamente la tasa
de descuento ajustada por la inflación, k’, como:

También
la tasa interna de retorno (TIR) puede ser ajustada
para tener la TIR real del proyecto:

La
inflación disminuye la TIR real del proyecto, aunque
de inicio parezca que los ingresos crezcan más que los
costos, como ya se explicó, esto se da como consecuencia
de que existen algunos costos que no se afectan por
la inflación, por ejemplo la depreciación, que tienen
escudos fiscales constantes lo que quiere decir que
aunque aumente el volumen de las utilidades antes de
impuestos, el monto de los impuestos también aumenta
y lo hace sobre una base mayor. En otros términos, los
impuestos aumentan en una proporción mayor de lo que
aumentan los flujos y finalmente esto disminuye la tasa
de rendimiento real del proyecto de inversión.
Algo
similar sucede con el capital de trabajo, que dada una
mayor inflación entonces es necesaria una mayor inversión
en capital de trabajo y de ahí una menor tasa de rendimiento
real de la inversión.
2.
La
productividad
La
inflación puede afectar no sólo las actividades productivas
sino también la productividad de una empresa. Así la
inflación tiende a promover las actividades poco productivas,
de corto plazo y especulativas, y desestimula
las actividades productivas.
Además
la empresa sufrirá distintos efectos según sea la combinación
de los distintos factores productivos que emplee. De
ese modo las variaciones relativas de los costos salariales,
los costos de los bienes de capital, etc., podrían hacer
que se tenga que variar la asignación de recursos original,
ya que de acuerdo con las nuevas condiciones tal vez
deje de ser la óptima. En la medida que los precios
específicos de los diferentes factores aumentan en forma
distinta, algunos equipos podrían resultar obsoletos,
un equipo que es considerado el ideal para cierto nivel
salarial podría no serlo para un nivel superior. También
las variaciones en la demanda pueden provocar la obsolescencia
de alguna maquinaria y equipo, ya que un conjunto de
máquinas podría ser el mejor para cierto nivel de producción
y dejar de serlo por el aumento en los costos para distinto
nivel de producción.
Al
aumentarse el precio de los equipos y maquinaria cada
vez resulta más costoso realizar ampliaciones de la
capacidad instalada. Esto además dificulta la planeación
e implica la necesidad de ajustar los cargos por depreciación
al verdadero costos de reposición
del activo. De otro modo se verá disminuida la capacidad
productiva, esto ante la imposibilidad de reponer los
activos fijos depreciados al final de su vida útil.
Como
resulta evidente, la inflación desanima la inversión,
ya que se disminuyen los beneficios reales y las posibilidades
de aumentar la productividad de la empresa.
3.
La
contabilidad de la empresa
El
dinero como unidad de cuenta proporciona grandes ventajas,
ya que sirve para registrar, resumir, controlar y comparar
transacciones económicas. Pero todos estos beneficios
se ven sumamente mermados cuando su valor no es estable,
o sea, cuando la inflación carcome su poder adquisitivo.
Esto provoca que a lo largo del tiempo en realidad no
se disponga de una unidad de medida homogénea, ya que
en ese sentido se tiene una unidad distinta para cada
período. Esto además distorsiona el papel de la contabilidad
como medio de obtener información suficiente y oportuna
para la adecuada toma de decisiones.
De
esa forma es necesario que los estados financieros consideren
esas variaciones del poder de compra de la moneda, ya
que de otro modo carecerán de significación real. Es
vital que la información contable sea verdadera, ya
que de ser falsa conducirá a tomar decisiones equivocadas,
y por consiguiente frustrará los objetivos planteados
por la dirección.
De
ese modo se puede citar una serie de situaciones en
las cuales la información que proporciona la contabilidad
será sesgada por causa del efecto de la inflación. Por
ejemplo, al fijarse el precio de venta de los productos
en función del costo histórico de los mismos, se arriesga
la reposición de existencias, al experimentar aumento
en sus precios. Por otro lado la inflación deforma los
estados financieros, así la contabilidad tradicional
deja de ser significativa al no considerar la erosión
que se produce sobre el patrimonio y los resultados
económicos.
Los
costos de ventas que se registran son inferiores a los
verdaderos, al valorarse las compras y los inventarios
a su costo histórico. El problema es mayor en empresas
con baja rotación de inventarios. El hecho de mostrar
en la información contable resultados ilusorios puede
llevar a decisiones erróneas.
Por
otro lado, la contabilidad tradicional no registra las
pérdidas que se generan por el mantenimiento de activos
monetarios, dada su pérdida del poder de compra. Además
el reparto de dividendos, de acuerdo con la contabilidad
convencional, no garantiza la conservación del poder
adquisitivo de los recursos invertidos por los accionistas.
Por
todo lo anterior se puede decir que en situaciones de
inflación es imperiosa la necesidad de ajustar la contabilidad
convencional, de modo tal que ésta esté expresada en
términos homogéneos, y por ende sea comparable a través
del tiempo. En otros términos, se debe eliminar el efecto
distorsionador del incremento generalizado de los precios.
Es
así como se han desarrollado algunos métodos alternativos
a la contabilidad convencional o contabilidad histórica.
Adolfo Blanco (1983) cita tres criterios para cuantificar
los efectos de la inflación:
- La contabilidad ajustada al nivel general de precios: Se convierten
las cantidades que aparecen en los estados financieros
a una unidad monetaria común, la correspondiente
al final de ejercicio. Pretende mantener el poder
adquisitivo de la inversión de los accionistas.
- La contabilidad del costo de reposición: Su objetivo es mantener la
capacidad operativa de la empresa, así por ejemplo,
en el estado de resultados el costo de mercadería
vendida se contabiliza al costo de reposición de
la mercancía en el momento de su venta.
- La contabilidad del costo de reposición ajustada: Mide los resultados
en una unidad monetaria constante, con lo cual se
puede observar el crecimiento real y la evolución
real de la empresa.
En
períodos de inflación es más conveniente el uso del
método UEPS de valoración de inventarios que el PEPS.
Esto ya que UEPS da como resultado pagos más bajos del
impuesto sobre la renta si los precios suben. Charles
Horngren (1991) asegura que:
"Se critica a PEPS porque en períodos de inflación
exagera la utilidad por la llamada utilidad en inventarios"
(p. 375).
4.
La
situación financiera y el análisis financiero
La
situación financiera de la empresa se afecta por causa
del aumento constante de los precios, así una empresa
podría verse afectada en mayor o menor medida, esto
según sea su solvencia, si posee pocos recursos propios,
su continuidad se verá más dificultada. En otro sentido,
podría mantener el precio de sus productos, por decisión
de la propia empresa o por control gubernamental, lo
cual contribuirá a una reducción del margen, disminuyéndose
las posibilidades de crecimiento, y podría llegarse
incluso a una falta de liquidez por falta de recursos.
Además las medidas por parte de las autoridades económicas
del país contra la inflación suponen una mayor dificultad
en la gestión de la empresa, como lo han sido los controles
de precios, las restricciones al crédito, los aumentos
de tasas de interés, la mayor presión fiscal, etc.
En
períodos inflacionarios la empresa requiere de una mayor
financiación, lo cual se da por varias razones. Una
de ellas es que al aumentarse el costo de las materias
primas, entonces se eleva el valor de los inventarios,
lo cual implica que sea necesaria una mayor financiación.
Por otro lado, a pesar de que normalmente la empresa
requiere de financiamiento para su crecimiento, en tiempos
de inflación se necesitan más recursos financieros para
el simple mantenimiento de la dimensión actual, ya que
la sola conservación del capital requerirá incrementos
en términos nominales, ya que en términos reales éste
se deteriora.
Así
que como consecuencia de la expansión del medio circulante
y de la erosión del capital se requiere de mayor financiamiento,
a lo cual se unen otras situaciones que sufre la empresa,
como lo son la reducción de la liquidez, las políticas
de crédito restrictivas, los aumentos de los tipos de
interés, etc., que contribuyen a complicar la posición
financiera de los productores.
Todo
esto lleva a las empresas a endeudarse en tiempos de
inflación, sobre todo si los préstamos concedidos a
la empresa se fijan en términos monetarios, ya que la
empresa los devolverá en moneda depreciada, obteniendo
una ganancia monetaria por estar endeudada.
También
es conveniente para la empresa reducir los plazos de
cobro, pues conforme sean más bajas las cuentas por
cobrar menor será la pérdida monetaria. Contrariamente
conviene aumentar el plazo de pago a proveedores, ya
que se podría obtener alguna ganancia monetaria como
por el efecto del apalancamiento financiero.
Además
se debe considerar que ciertos activos son más propensos
a generar pérdidas por inflación, ya que éstas serán
mayores conforme sean mayores los activos monetarios,
los inventarios y activos de mayor antigüedad. Así se
convierte en una estrategia anti-inflacionaria
el reducir al mínimo los activos y endeudarse al máximo,
lógicamente dentro de ciertos límites. En términos generales
esto contribuirá a una mayor rentabilidad real. Sin
embargo debe tenerse presente que esta cierta mayor
rentabilidad se ve mermada por un mayor riesgo financiero,
por la disminución de la liquidez y el aumento del endeudamiento,
y una menor flexibilidad de la empresa para enfrentar
situaciones adversas.
Es
necesario un sistema de control financiero eficiente,
que proteja a la empresa de la alta inestabilidad de
los precios y de los costos de producción, de forma
que pueda cargarlos a su precio de venta o bien, emplear
alguna otra estrategia contra la inflación, por ejemplo,
emplear insumos cuyo precio sea menos sensible a la
inflación.
El
análisis empleando razones financieras también se ve
afectado por la inflación. A continuación se analiza
en forma breve cómo se altera el análisis de razones
fundamentado en la contabilidad histórica.
- La eficiencia: La eficiencia puede ser medida de varias formas, por
ejemplo las razones Ventas/Activos, Utilidades/Ventas,
que miden la eficiencia en el empleo de los activos
para generar ventas en el caso de la primera razón,
y la otra muestra el margen de ganancias, lo cual
viene a ser una medida de la eficiencia operativa
de la empresa. De ese modo la inflación hace parecer
que se da un aumento en la eficiencia de la empresa.
Tal es el caso de la primera de las razones citadas,
ya que al incrementarse los precios de venta, pero
no así el de los activos, que es su costo histórico.
Se puede observar entonces, que se estarían comparando
cantidades expresadas en monedas de diferente poder
adquisitivo.
- La rentabilidad: Generalmente la rentabilidad contable de la empresa
se mide con razones como Utilidades/Activos y Utilidades/Patrimonio,
etc. La inflación produce un sesgo, ya que en condiciones
de inflación se aumenta el valor de las ventas (en
términos nominales). También aumentan los costos,
pero por un lado hay costos que son fijos (y que
al menos en el corto plazo no se afectan) y por
otro que por lo común las ventas están registradas
en moneda más reciente que los costos y gastos,
y en consecuencia, el margen de ganancia aumenta,
y por algún tiempo se estará sobreestimando los
ingresos. Así el rendimiento sobre la inversión
calculado con base en la información histórica será
superior al verdadero. La magnitud del sesgo dependerá
de qué tan alta sea la tasa de inflación, la antigüedad
de los activos y la estructura de costos de la empresa.
- La solvencia: La solvencia se refiere a la capacidad que tiene la
empresa para hacerle frente a sus obligaciones.
Se mide como el número de veces que sus utilidades
antes de impuestos cubren sus pasivos. En un período
inflacionario las utilidades se incrementan más
rápido y muchos pasivos permanecen constantes (en
términos nominales), ya que muchas obligaciones
no se indexan por la inflación, entonces las razones
de solvencia parecen mejorar. En realidad no ha
habido tal mejora, más bien a largo plazo para poder
mantener el volumen de operación real habrá que
aumentar el nivel de financiamiento.
- La liquidez: Las razones de liquidez tratan de determinar la capacidad
de pago de los pasivos a corto plazo que tiene la
empresa. Generalmente se emplea la razón corriente
(Activo circulante/Pasivo circulante) y la prueba
de ácido (activo circulante menos inventarios sobre
pasivo circulante). En este sentido ambas razones
tienden a variar en forma inversa a la tasa de variación
de la tasa de inflación, sobre todo la prueba de
ácido, la cual se afecta por la forma en que se
contabilizan los inventarios. Si la empresa usa
el sistema UEPS de contabilidad de inventarios,
entonces el inventario final se valora en moneda
de antes de ese período contable, así que al aumentar
los precios se subvaloran las existencias y la razón
será más "conservadora". Si se emplea
el sistema PEPS, el inventario se valora en términos
más recientes y entonces habrá una comparación mejor.
Cabe notar también, que en los períodos inflacionarios
los deudores tratan de alargar sus cuentas por pagar,
con lo que aumenta la probabilidad de las cuentas
incobrables y se disminuye la convertibilidad de
las cuentas por cobrar, y consecuentemente una menor
liquidez.
5.
Los
impuestos
Como
se mostró anteriormente, los impuestos sobre las utilidades
crecen en forma desproporcionada en períodos inflacionarios,
lo cual provocará una descapitalización gradual de la
empresa y una disminución de su capacidad productiva,
y a la vez le podrían generar algunos problemas de liquidez.
Esto se da porque la tasa real de impuestos llega a
ser mayor que la tasa impositiva nominal, y en consecuencia
un pago de impuestos en exceso, además del reparto excesivo
de beneficios. Se podría decir que el Estado obtiene
un beneficio de la inflación, al gravar a tasas reales
superiores a las nominales.
6.
La
toma de decisiones
El
empresario debe tener en su poder información suficiente
y válida para la adecuada toma de decisiones, lo cual
implica conocer en todo momento cuál es la posición
financiera de la empresa, su situación en lo comercial,
industrial, etc. Todo esto lleva a una correcta planeación
para conseguir los distintos objetivos planteados y
así poder plantear políticas eficientes y eficaces en
las diferentes áreas de su accionar, es decir políticas
financieras, de crédito y cobros, de inventarios, etc.
Pero
cuando se está en presencia de inflación toda esa labor
descrita se vuelve más compleja e incierta. En este
sentido la gerencia debe desarrollar la habilidad de
tomar medidas que contrarresten las consecuencias de
la inflación y poder tomar decisiones acertadas, aún
en una situación de inestabilidad e incertidumbre como
lo es un período inflacionario.
Uno
de los principales efectos de la inflación con respecto
al proceso de toma de decisiones es la distorsión que
introduce en la información contable, así en el balance
general y en el estado de resultados de la empresa se
provoca un profundo impacto, que va a afectar fuertemente
las decisiones estratégicas de la empresa, todo lo relacionado
con precios, endeudamiento, liquidez, dividendos, inversión,
etc.
El
usar la información en forma inadecuada, suministrada
principalmente por la contabilidad convencional, conduce
a desaciertos en la toma de decisiones, sobre todo en
políticas de precios, de recursos, dividendos, planeación,
etc. La empresa debe recurrir a las técnicas adecuadas
para enfrentar la inflación y poder obtener información
no sesgada, así como el empleo de la Contabilidad Ajustada
al nivel general de precios y contabilidad de costo
de reposición, las cuales son de alta utilidad en estos
casos, además de ser técnicas complementarias entre
ellas y complementarias a la contabilidad tradicional.
Efectos de la devaluación
Del
mismo modo que la inflación incide sobre las actividades
de una empresa, en algunos casos en beneficio y otros
en perjuicio, la devaluación de la moneda nacional también
la afecta positiva o negativamente. Este efecto en un
sentido o en otro y su magnitud dependen del tipo de
empresa, de sus actividades y de que tan sensible sea
a la exposición al riesgo cambiario. La devaluación
genera una situación de inestabilidad y de incertidumbre,
ante la cual la gestión empresarial se vuelve más complicada
y la toma de decisiones se torna en un proceso que debe
prever una serie de variables, muchas de ellas ajenas
al control de la empresa.
1.
Devaluación
y tasas de interés
Tal
y como se ha mencionado cuando se describió la teoría
de la paridad de las tasas de interés, existe una relación
entre la tasa de interés y el tipo de cambio presente
y futuro. Además como indican Marín y Ketelhohn
(1988): "el riesgo intrínseco a la economía se
refleja en las tasas de interés" (p. 192).
De
ese modo si se posee un capital en dólares, si:

donde:
1
+ r ¢ Tasa de interés en colones
1
+ r US$ Tasa
de interés en dólares
f(TC ¢/US$ ) Tipo
de cambio a futuro ¢/$
S(TC ¢/US$ ) Tipo
de cambio a contado ¢/$
Entonces
existe un premio por invertir en colones, y así cualquier
inversión en colones será más rentable, pues el rendimiento
en colones menos la tasa de devaluación será superior
a la tasa en dólares.
2.
Riesgo
de cambio: riesgo de devaluación
Cuando
un importador debe esperar un cierto lapso hasta la
entrega y pago de los bienes transados. En ese plazo
pueden presentarse variaciones en los tipos de cambio,
que pueden generar ganancias o pérdidas inesperadas,
según esas variaciones le resulten favorables o desfavorables.
En muchos otros casos hay empresarios que requieren
planear sus negocios a ciertos plazos; para ellos las
fluctuaciones de las tasas de cambio representan una
seria dificultad que bien podrían arruinar sus cálculos
a futuro, y por una causa ajena a su actividad.
Esa
posibilidad de tener pérdidas por causa de fluctuaciones
desfavorables en las tasas de cambio, es lo que, generalmente,
se conoce como riesgo cambiario. Ante esta situación
existe, entonces, la necesidad de cubrirse de este riesgo.
En muchas economías se han creado diversos mecanismos,
como los futuros sobre divisas, para lograr eliminar,
o por lo menos minimizar esas posibilidades de obtener
pérdidas, como consecuencia de las variaciones de los
tipos de cambio.
El
riesgo de cambio surgió en la década de los 70's, cuando
se abandonó definitivamente la paridad oro de las monedas
y se permitió que éstas flotaran. De ese modo sus precios
con respecto a las otras monedas tenían la posibilidad
de fluctuar, según fueran las condiciones de mercado
de divisas y la situación de la economía.
Para
Vives (1984) la exposición de una empresa al riesgo
cambiario puede ser analizada en tres niveles:
- Exposición contable: Se refiere al efecto que tiene la devaluación
sobre los estados financieros de la empresa, básicamente
el balance general. Muestra la exposición a la devaluación
por las diferencias entre los pasivos y activos
denominados en moneda extranjera. El autor considera
que no solo se debe considerar la exposición contable,
porque sería "una apreciación sumamente restrictiva
y miope de la exposición al riesgo cambiario"
(p. 462).
- Exposición de los flujos: Considera la exposición futura al riesgo
cambiario, esto por las obligaciones ya adquiridas
o que se necesite adquirir más adelante y que no
aparecen en el balance general. Para esto se comparan
los flujos de efectivo de la empresa con y sin la
consideración de la devaluación, esto bajo el supuesto
de que las cantidades físicas permanecen constantes.
- Exposición económica: Un análisis completo de la exposición al riesgo
de cambio también debe considerar los mercados en
los que opera la empresa, sus características y
las reacciones que puedan presentarse. Esto lleva
a efectuar una proyección de la situación financiera
de la empresa tomando en cuanta los factores citados,
lo cual permitirá observar el efecto sobre la empresa,
sobre el mercado y las decisiones de la gerencia.
Al
igual que se expuso anteriormente lo que ocurre ante
la inflación, la devaluación también le resta validez
a la contabilidad tradicional, dificultando la planeación,
la toma de decisiones, el análisis financiero, la evaluación
de proyectos, aumentando las necesidades de financiamiento,
mermando la rentabilidad y la productividad, etc. Todos
esto efectos varían de empresa a empresa, es decir,
el efecto de la devaluación no es uniforme, afectará
a aquellas empresas que tengan mayor relación con el
sector externo de la economía y que tengan menor capacidad
para reaccionar ante estas situaciones.
Cabe
destacar que el análisis de las situaciones de devaluación
normalmente es más complejo, ya que en la mayoría de
los casos se ve acompañado de un proceso inflacionario,
que generalmente le precede. Así que la gestión empresarial
en estas condiciones es mucho más compleja, ya que el
número de variables en consideración se aumenta conforme
más realista se quiere hacer el análisis.