Relaciones
entre el tipo de cambio y otras variables financieras
Por
Lic. Gabriel Leandro, MBA
Economista
Relaciones
económicas de paridad
En
este apartado se presentan cuatro teorías que relacionan
igual número de variables, las cuales son importantes
ya que determinan las relaciones existentes entre los
tipos de cambio al contado, los tipos de cambio a plazo
o a futuro, las tasas de interés y las tasas de inflación.
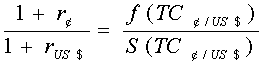
- Teoría de la paridad del tipo de interés: Esta es la teoría que relaciona
las tasas de interés con los tipos de cambio a plazo,
así, establece que la rentabilidad entre dos monedas
cualesquiera debe ser igual, esto libres de riesgo.
Visto de otro modo, se puede establecer la siguiente
relación: la tasa de interés diferencial es igual
al diferencial entre el tipo de cambio a plazo y
el tipo de cambio al contado. En términos matemáticos:

Donde:
1
+ r ¢ Tasa de interés en
colones
1
+ r US$ Tasa de interés en dólares
f(TC ¢/US$ ) Tipo
de cambio a futuro ¢/$
S(TC ¢/US$ )
Tipo de cambio a contado ¢/$
- Teoría de las expectativas de los tipos a plazo: Esta teoría relaciona
los tipos de cambio a plazo, con la tasa de cambio
esperada, de modo tal que el diferencial entre el
tipo a plazo y a contado
sea igual al cambio esperado en el tipo al contado.

Donde:
F(TC ¢/US$)
Tipo de cambio a plazo ¢/$
E(S(TC ¢/US$)) Expectativa sobre el tipo de cambio al contado ¢/$
S(TC ¢/US$) Tipo
de cambio al contado ¢/$
Esto
se debe en parte, al hecho de que los participantes
estudian cuidadosamente las tendencias del mercado llegando,
a obtener previsiones bastante exactas de los precios
futuros, y además, en la práctica se da, que generalmente
los precios a plazo y a contado convergen conforme se
acerca la fecha de liquidación de los contratos de futuros.c.
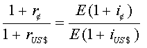
Teoría de la paridad del poder adquisitivo: Esta teoría
postula que la diferencia en las tasas de inflación
esperadas, se iguale a la variación en la tasa de cambio
al contado, esto se da por que supone que bienes idénticos
deben tener el mismo costo en los diferentes países
(Ley del Precio Unico), pues
de otro modo se empezaría a importar bienes de donde
son más baratos, pero el aumento en la demanda hará
que su precio tienda a igualarse con el precio que tiene
en las demás naciones. Expresándolo en términos matemáticos:

Donde:
E(1+i ¢ ) Expectativa
de inflación en Costa Rica
E(1 + i US$)
Expectativa de inflación en Estados Unidos
E(S(TC ¢/US$)) Expectativa sobre el tipo de cambio al contado ¢/$
S(TC ¢/US$) Tipo
de cambio al contado ¢/$
d.
Teoría de Fisher: Los inversionistas buscan llevar sus capitales a los
países donde la rentabilidad real sea mayor. En equilibrio,
y según esta teoría, las rentabilidades reales entre
los países son las mismas, es decir las diferencias
en las tasas de interés son iguales a las diferencias
en las tasas de inflación esperadas.

Donde:
E(1+i ¢ ) Expectativa
de inflación en Costa Rica
E(1 + i US$ ) Expectativa de inflación en Estados Unidos
1
+ r ¢ Tasa de interés en colones
1
+ r US$
Tasa de interés en dólares