Variants of Genesis
By al-Kaafir (ha kofer)

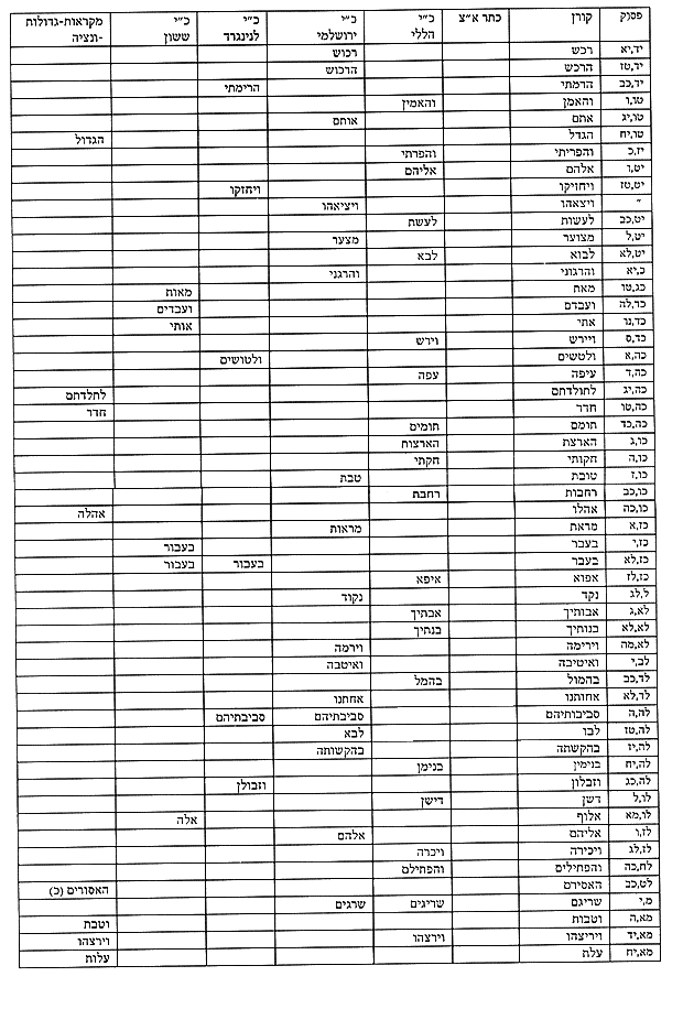
This is just an opening study of the book of Genesis, showing that there are indeed numerous variants of the text of this one book alone. Below will be a chart by Dr. Menachem Cohen, professor at the department of Biblical studies at Bar Ilan University in Israel. The chart is actually part of a scan of a letter Dr. Cohen wrote to Dr. Bar Natan of Hebrew University (also in Israel) with regards to the amazing "Torah Code" (or Bible Code) nonsense. This is not the entire letter, rather it is just a fragment; the part that deals with variant texts of Sefer B'reishit (the book of Genesis). His chart is extremely helpful. After the chart will be a brief explanation, and then a translation of the Hebrew text for those who do not read Hebrew.





Explaining the chart
There are eight collumns in the chart. Starting on the left, the first collumn is for the Miqraot G'dolot manuscript of venice. The second collumn is for the Shashon (Sasson) version. The third collumn is for the Leningrad manuscript. The fourth collumn is for the Y'rushalemi (Jerusalem) version. The fifth collumn is for the Hileli version (which is derived from quotes of ancient Rabbis). The sixth collumn is for the Kheter Aram-Tsubah version. The seventh collumn is for the book of genesis found in the widely used Qoren (Qoran/Koren) version of the TaNaKh ("Old Testament"). The eighth and final collumn simply says pasuq, or "verse."

Now, in the pasuq ("verse") collumn is listed a respective verse. The first entry reads "bet, kaf-heh" and stands for "Genesis 2:25." In each entry, it is shown how variant texts spell words differently, with letters missing. Maybe some day I'll translate the entire chart, but for now just a translation of the first row will be offered. In Genesis 2:25, the Hebrew says V'Lo Itboshashu, or "and they were not ashamed." In the Qoren TaNaKh, the word itboshashu is spelled yod-tav-bet-shin-shin-vav (YTBShShV). In the Hileli version, we find out that ancient Rabbis spelled itboshashu differently, instead writing it as yod-tav-bet-vav-shin-shin-vav (YTBVShShV). The chart goes on to list another 108 examples of this nature. This shows that the Torah has not been perfectly preserved (though fundamentalist Christians and Jews claim it has). This is just the beginning, and Dr. Menachem Cohen of Bar Ilan University has a great deal more information on this subject.


Translation of Dr. Cohen's letter
The following is a translation of the Hebrew text found on this page. Note that what is presented here is only a fragment of Dr. Cohen's five page letter to Dr. Bar Natan.

Universita Bar-Ilan
Faculty of Jewish Studies
Department of Bible Studies
B"H, Thursday, 2 Elul, 5757
September 2, 1997

Dr. Dror Bar-Natan
Hebrew University
Jerusalem

Shalom Rabbi,

As per your request I am sending you my opinion regarding the following two questions that I was asked to relate to:

A. The existence of several exemplary versions of the TaNaKh which differ textually from the Qoren TaNaKh, and demonstrating their variations in the book of Genesis.

B. My opinion regarding the scientific criteria upon which Professor Havlin's brief dated 16 Cheshvan 5757 (October 30, 1996) regarding the choice of the names of Great Men of Israel for the purpose of locating them in the text of the Book of Genesis using RWR's (Rips, Witztum and Rosenberg) skip method [EDITOR'S NOTE: Dr. Cohen's response to the "Equidistant Letter Sequence" (ELS) study that allegedly proved the Torah is true is not found on this page or in this translation -ed.].

I will answer the questions in the order in which they were asked:

Following is a table of variations between of some of the well-known exemplary textual versions of the TaNaKh, mostly from the Middle Ages and one (MQ"G Venice) [EDITOR'S NOTE: MQ"G = Miqraot G'dolot -ed.] which is the textual version which in the era of printing has become the exemplary model for all printed texts following it. The table is followed by some brief explanations of its findings.

Versions Of Well-Known Exemplary Texts In Genesis Vs. The Qoren TaNaKh
[Table Deleted]


Explanatory Comments

1. All the aforementioned exemplary texts are well-known prestigious editions, having been composed within of the transmission circle of the Masoretic text [the traditional edition of the Bible text -ed.]. Most of those texts are available to us directly while several (the 'Hileli' and 'Jerusalem' texts) have been lost, and we have learned of their variations only through the indirect testimony of the Masoretic notes.

2. The expression "transmission circle of the Masoretic text" attempts to define those manuscripts demonstrating an unmistakable similarity to the likeness of the version arising from the thousands of Masoretic comments, which were formed to preserve the semblance of a specific version selected as an authorized text, the one known as the "Masoretic Text". Even within the "transmission circle (Maagal Hamesira) of the Masoretic text" there were variations between well-known exemplary texts, and the order of magnitude of those variations is represented in this table.

3. Nonetheless, it should be stressed that manuscripts, such as those in the table, which unmistakably belong to the transmission circle of the Masoretic Text, were a small minority among the Biblical manuscripts of the Middle Ages. The great majority of the manuscripts were composed in transmission circles that were relatively distant from the accurate version of the letters of the Masoretic Text (see my article: 'What is the Masoretic text and what is the extent of its influence on the transmission process in the Middle Ages?', Biblical Studies and Commentaries (Iyuney Mikrah Ufarshanut) Volume B, Bar-Ilan University). The variations, which number many hundreds and sometimes even thousands in the Torah alone, are for the most part, variations in orthography, and partly other variations. Strange and surprising as it may sound, it was within this framework that centers of Torah study which made an indelible mark on the life and culture of the Jewish people acted and created, starting from the period of Chazal [Jewish Sages -ed.] (such as the evidence of Babylonian scribes' lack of proficiency with regards to the "full" and "defective" spelling variations - see Talmud, Tractate Kiddushin, page 30, side A), and through to the centers of Torah study such as France and Germany (see for example, Rabbeinu Tam's comments with regard to the laws on writing Torah scrolls, Machzor Vitri, Horowitz edition, pps. 654 - 673, which testify to a textual reality which is far placed from the 'precise lettering of the Masoretic Text'). These factors may be verified by examining the Ashkenazic manuscripts throughout the Middle Ages. These manuscripts are not represented in the above table.

[End Translation of Fragment]

| Home | Sign Guestbook | View Guestbook |
Last Updated: Sunday, December 17, 2000
[email protected]
If for FTMecca Eyes Only specify in the e-mail
Hosted by www.Geocities.ws

1