next up previous contents
Next: Pythagorean triple preserving matrices Up: Pythagorean Triples, etc. Previous: Pythagorean triples and the   Contents

Primitive Pythagorean triangles where a - b is a constant.

This section in pdf form. triples1.pdf

If $ a$ , $ b$ , and $ c$ are positive integers and $ a^2+b^2=c^2$ then the solution $ (a,b,c)$ is a Pythagorean triple. If $ \gcd(a,b,c)=1$ then $ (a,b,c)$ is a primitive (or reduced) Pythagorean triple, and the equation $ a^2+b^2=c^2$ is a primitive Pythagorean triangle. Finding primitive Pythagorean triangles with a given difference between the lengths of the hypotenuse and a leg is a simple matter; from the parametrization

$\displaystyle a=m^2-n^2 ,\quad b=2mn,$   and$\displaystyle \quad c=m^2+n^2 ,
$

$ c-a=2n^2$ and $ c-b=(m-n)^2$ . So, just choose the proper $ m$ and/or $ n$ .

However, finding Pythagorean triangles with constant difference between the lengths of the two smaller legs leads to a Pell equation,

$\displaystyle a-b=m^2-n^2-2mn=(m-n)^2-2n^2=d.
$

Hence, if one solution is found, other solutions can be found recursively. From which a closed form can be obtained.

The following scheme does not find solutions for every integer $ d$ , only those where $ d=\pm (2t^2-1)$ , and not all of those. For example, in the Pythagorean triangle $ 35^2+12^2=37^2$ , there exists no integer $ t$ such that $ 2t^2-1=23$ , and the scheme does not generate the triangle $ 15^2+8^2=17^2$ where $ 2 (2)^2-1=7$ .

I'll use the alternative parametrization: $ (a,b,c)$ is a primitive Pythagorean triple if and only if there exists relatively prime, odd positive integers $ m$ and $ n$ ,
$ m > n$ , such that

$\displaystyle a=mn,\quad b=\frac{m^2-n^2}{2},$   and$\displaystyle \quad
c=\frac{m^2+n^2}{2}.
$

I'll give a closed form for $ a$ and $ b$ where $ a-b = \pm
(2t^2-1)$ . Let

$\displaystyle \colorbox{Goldenrod}{\boxed{f(s)=\frac{\left(1+\sqrt{2} \right)^{s}+\left(1-\sqrt{2} \right)^{s}}{2} , }}$ (12)

and

$\displaystyle \colorbox{Goldenrod}{\boxed{g(s)=t f(s)-(t-1) f(s-1).}}$ (13)

where $ s$ and $ t$ are positive integers. Set

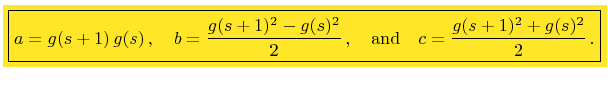
$\displaystyle \colorbox{Goldenrod}{\boxed{a=g(s+1) g(s) ,\quad b=\frac{g(s+1)^2-g(s)^2}{2} ,\quad \mbox{and} \quad c=\frac{g(s+1)^2+g(s)^2}{2} .}}$ (14)

Claim 4   For positive integers $ s$ and $ t$ where $ (a,b,c)$ is as defined in (14),

(i)
     $ 2 f(s)+f(s-1)=f(s+1)$ .
(ii)
     $ 2 g(s)+g(s-1)=g(s+1)$ .
(iii)
     $ \gcd(g(s),g(s+1))=1$ .
(iv)
    $ (a,b,c)$ is a primitive Pythagorean triple.
And
(v)
     $ a-b=(-1)^s(2t^2-1)$ .

Proof. [ of (i)]

$\displaystyle 2 f(s)+f(s-1)$ $\displaystyle =\frac{\left(1+\sqrt{2} \right)^{s-1}\left[2\left(1+\sqrt{2} \r...
...ht]+ \left(1-\sqrt{2}\right)^{s-1}\left[2\left(1-\sqrt{2} \right)+1\right]}{2}$    
  $\displaystyle =\frac{\left(1+\sqrt{2} \right)^{s-1}\left(1+\sqrt{2} \right)^2+ \left(1-\sqrt{2} \right)^{s-1}\left(1-\sqrt{2} \right)^2}{2}$    
  $\displaystyle =\frac{\left(1+\sqrt{2} \right)^{s+1}+\left(1-\sqrt{2} \right)^{s+1}}{2}$    
  $\displaystyle =f(s+1).$    

$ \qedsymbol$

Proof. [of (ii)]

$\displaystyle 2 g(s)+g(s-1)$ $\displaystyle =2[t f(s)-(t-1) f(s-1)]+[t f(s-1)-(t-1) g(f-2)]$    
  $\displaystyle =t[2 f(s)+f(s-1)]-(t-1)[2 f(s-1)+f(s-2)]$    
  $\displaystyle =t f(s+1)-(t-1) f(s)$   (from (i)$\displaystyle )$    
  $\displaystyle =g(s+1).$    

$ \qedsymbol$

Proof. [ of (iii)]     $ d\vert g(s+1)$ and $ d\vert g(s)$ implies $ d\vert g(s+1)-2 g(s)=g(s-1)$ , from (ii). Then $ d\vert g(s)$ and $ d\vert g(s-1)$ implies $ d\vert g(s-2)$ . And so on, until ultimately, $ d\vert g(0)=-1$ . $ \qedsymbol$

Proof. [of (iv)]    $ g(s+1)$ and $ g(s)$ are relative prime, odd positive integers, $ g(s+1)>g(s)$ where $ a^2+b^2=c^2$ . $ \qedsymbol$

Proof. [of (v)], by induction on s]     If $ s=1$ , then

$\displaystyle f(s+1)$ $\displaystyle =f(2)=3.$    
$\displaystyle f(s)$ $\displaystyle =f(1)=1.$    
$\displaystyle f(s-1)$ $\displaystyle =f(0)=1.$    

Thus

$\displaystyle a$ $\displaystyle =g(s+1)=t f(2)-(t-1) f(1)=3t-(t-1)=2t+1.$    
$\displaystyle b$ $\displaystyle =g(s)=t f(1)-(t-1) f(0)=t-(t-1)=1.$    

Then, from (14),

$\displaystyle a-b=(2t+1)(1)-\left(\frac{(2t+1)^2-1^2}{2}\right)=(-1)^1\left(2t^2-1\right).
$

So the claim is true for $ s=1$ .

Assume it's true for $ s=r$ . That is, assume

$\displaystyle a-b=\frac{2 g(r+1) g(r)-g(r+1)^2+g(r)^2}{2}=(-1)^r(2t^2-1).
$

Then, for $ s=r+1$ ,

$\displaystyle a-b$ $\displaystyle =\frac{2 g(r+2) g(r+1)-g(r+2)^2+g(r+1)^2}{2}$    
  $\displaystyle =\frac{g(r+2)[(2 g(r+1)-g(r+2)]+g(r+1)^2}{2}$    
  $\displaystyle =\frac{[2 g(r+1)+g(r)](-g(r))+g(r+1)^2}{2}$    
  $\displaystyle =\frac{-2 g(r+1) g(r)-g(r)^2+g(r+1)^2}{2}$    
  $\displaystyle =-\left(\frac{2 g(r+1) g(r)-g(r+1)^2+g(r)^2}{2}\right)$    
  $\displaystyle =-(-1)^r(2t^2-1)=(-1)^{r+1}(2t^2-1).$    

$ \qedsymbol$

Examples


Table 1: $ a-b=\pm 1$

$ t$ $ s$ $ g(s+1)$ $ g(s)$ $ a$ $ b$ $ c$
1 1 3 1 3 4 5
1 2 7 3 21 20 29
1 3 17 7 119 120 169
1 4 41 17 697 696 985
1 5 99 41 4059 4060 5741



Table 2: $ a-b=\pm 7$
$ t$ $ s$ $ g(s+1)$ $ g(s)$ $ a$ $ b$ $ c$
2 1 5 1 5 12 13
2 2 11 5 55 48 73
2 3 27 11 297 304 425
2 4 65 27 1755 1748 2477
2 5 157 65 10205 10212 14437



Table 3: $ a-b=\pm 97$
$ t$ $ s$ $ g(s+1)$ $ g(s)$ $ a$ $ b$ $ c$
7 1 15 1 15 112 113
7 2 31 15 465 368 593
7 3 77 31 2387 2484 3445
7 4 185 77 14245 14148 20077
7 5 447 185 82695 82792 117017




Subsections
next up previous contents
Next: Pythagorean triple preserving matrices Up: Pythagorean Triples, etc. Previous: Pythagorean triples and the   Contents
f. barnes 2008-04-29
Hosted by www.Geocities.ws

1