Introdução aos dissipadores de calor em semicondutores de potência
Autor: Miguel Angel Montejo Ráez
Este documento foi extraído do livro: "Dissipadores de calor para semicondutores de potência" de J.D. Aguiar Peña, J. da Cruz Molina Saoido, J. Nieto Pulido e P. López Muñoz
Publicado pela Cámara de Comercio e Industria de Jaesn
Este documento foi autorizado por J.D. Aguiar Peña
Introdução
O estúdio térmico dos dispositivos de potência é fundamental para um ótimo rendimento dos mesmos. Isto devido que em todo semicondutor, o fluxo da corrente elétrica produz uma perda de energia que se transforma em calor.
O calor produz um incremento da temperatura do dispositivo. Se este incremento é excessivo e incontrolado, inicialmente provocará uma redução da vida útil do elemento e no pior dos casos o destruirá.
Em eletrônica de Potência a REFRIGERACÃO faz um papel muito importante na otimização do funcionamento e vida útil do semicondutor de potência.
Propagação do calor
Em todo semicondutor o fluxo da corrente elétrica produz uma perdida de energia que se transforma em calor. Isto devido ao movimento desordenado na estrutura interna da junção. O calor elevará a energia cinética das moléculas dando lugar a um aumento de temperatura no dispositivo; se este aumento é excessivo e incontrolavel provocará uma redução da vida útil do dispositivo no pior dos casos sua destruição.
É evidente que a dissipação do calor gerado em o semicondutor é uma questão de grande importância para assegurar o correto funcionamento e duração do dispositivo.
A capacidade de dissipação do calor ao meio ambiente pode variar de acordo com o tipo de encapsulamento mas em qualquer caso será demasiadamente pequena, por isso é necessário uma ajuda adicional para transferir o calor dissipado mediante um dispositivo de maior volume e superfície conhecido como dissipador de calor , o qual faz a ponte para evacuar o calor da encapsulamento para o meio ambiente.
Formas de transmissão do calor
A experiência demostra que o calor produzido por um foco calorífico se propaga por todo o espaço que o rodeia. Esta transmissão do calor pode produzir de três formas:
1.- CONDUÇÃO:
É o principal meio de transferência de calor. Se realiza por a transferência de energia cinética entre moléculas, é dizer, se transmite pelo interior do corpo estabelecendo-se uma circulação de calor. A máxima quantidade de calor que atravessará o corpo será aquela para a qual se consegue uma temperatura estável em todos os pontos do corpo.
Neste tipo de transmissão se deve levar em conta a condutividade térmica das substancias (quantidade de calor transmitido por unidade de tempo, superfície, gradiente de temperatura).
2.- CONVECÇÃO:
O calor de um sólido se transmite mediante a circulação de um fluido que o rodeia e este o transporta a outro lugar, a este processo se chama convecção natural. Se a circulação do fluido está provocada por um meio externo se denomina convecção forçada.
3.- RADIAÇÃO:
O calor se transfere mediante emissões eletromagnéticas que são irradiadas por qualquer corpo cuja temperatura seja maior a zero graus Kelvin. O estado da superfície influi em grande parte na medida da quantidade de calor irradiado. As superfícies mates são mais favoráveis que as polidas e os corpos negros são os de maior poder de radiação, por este motivo se efetua um enegrecimento da superfície radiante
Parâmetros que interferem no calculo
Para que um semicondutor dissipe a potência adequada, é necessário manter a temperatura da junção abaixo do máximo indicado pelo fabricante.
 |
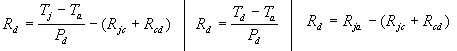
Ao passo que a corrente elétrica produz um aumento da temperatura da junção (Tj). Se quisermos, mante-la a um nivel seguro, devemos evacuar para o exterior a energia calorífica gerada pela junção. Para que se produza um fluxo de energia calorífica de um ponto a outro, deve existir uma diferencia de temperatura. O calor passara do ponto mais quente ao mais frio, mas aparecem fatores que dificultam este fato. A estes fatores se denominam resistências térmicas.
Portanto, aproveitando a lei de ohm realizamos a seguinte comparação elétrica mostrada na figura adjunta. Assemelharemos as temperaturas a tensões, as resistências térmicas as resistências ôhmicas e o fluxo de calor a uma corrente elétrica.
|
| Fazendo analogia a um circuito elétrico pode se dizer que: |  |
| Da figura se obtem-se a expressão: |  |
Resistências térmicas
Na seguinte figura é mostrada a igualdade entre o circuito equivalente de resistências térmicas e os elementos em uma montagem real:
 |
RJC = Resistência Junção - encapsulamento
RCD=Resistência encapsulamento-dissipador
RD = Resistência do dissipador
TJ = Temperatura da junção
TC= Temperatura do encapsulamento
TD = Temperatura do dissipador
TA = Temperatura ambiente
|
Resistência Junção - Encapsulamento (RJC)
Neste caso o foco calorífico é gerado na junção do proprio cristal semicondutor, de tal forma que o calor deve passar desde ponto ao exterior do encapsulamento.
Geralmente este dado é fornecido pelo fabricante, e dependerá do tipo de encapsulamento do dispositivo. Aparecerá bem diretamente o indiretamente em forma de curva de redução de potência. Na figura seguinte é mostrada este tipo de curva.

Esta mostra a potência em função da temperatura do encapsulamento. Ela depende da reta fornecida e da resistência junção encapsulamento. A fórmula que se utiliza para o calculo desta resistência é:

Onde estes dados se obtem da curva de redução de potência, que será propria de cada dispositivo. Deveremos levar em conta que P
D é a dada pelo fabricante e não é a potência que o dispositivo dissipará no circuito. Normalmente T
C vai a 25 ºC.
Se tomamos de um manual de dados correspondentes a um 2N3055 serão:
Pdmáx =115 W
Tjmáx =200 ºC
Substituindo estes valores na seguinte equação, se obtem o valor da R
JC:

e esta é, precisamente, a R
JC indicada em manuais para o 2N3055.
Resistência Encapsulamento - Dissipador (RCD)
É a resistência térmica entre o semicondutor e o dissipador.
Este valor depende do sistema de fixação entre dissipador e o componente, e do estado de planitude e paralelismo das superfícies de contato, visto que a nivel microscópico, só entram em contato por alguns pontos, contendo brechas de ar que impedem uma total transmissão do calor.
Também depende do tipo de material que se coloca entre ambas superfícies de contato. Os elementos que se situam entre a encapsulamento e o dissipador podem ser de dois tipos:
A)Pastas condutoras de calor , que podem ser ou não ser condutoras da eletricidade.
B)Láminas isolantes elétricas que se podem implementar conjuntamente com siliconas condutoras de calor como mica, kelafilm, etc. Também a condutoras de calor que no precisão de pasta de silicone.
O tipo de contato entre encapsulamento e dissipador poderá ser:
Direto.
Direto com pasta de silicone.
Direto com mica isolante.
Direto com isolante e pasta de silicone.
O valor desta resistência térmica influi notavelmente em o calculo da superfície e longitude que deve possuir a aleta que aplicaremos ao dispositivo a ser refrigerado. Quanto mais baixa é R
CD menor será a longitude e a superfície da aleta requerida.
Por exemplo, para uma encapsulamento TO-3 com contato direto mais pasta de silicone a R
CD vale 0,12 ºC/W, somente com contato direto R
CD = 0,25 ºC/W, com contato direto mais mica e mais pasta de silicone R
CD= 0,4 ºC/W, e com contato direto mais mica R
CD= 0,8 ºC/W.
Portanto podemos dizer que quando é necessário isolar o dispositivo, o tipo de contato que mais interessa é o direto mais pasta de silicone, já que da o menor valor de R
CD e se for necessário isolar o dispositivo é melhor com mica mais pasta de silicone já que a R
CD é menor que se isolar somente com mica. Dessa forma chegamos a seguinte conclusão: A mica aumenta a R
CD enquanto que a pasta de silicone a diminui e como foi dito quanto menor será a R
CD menor superfície da aleta refrigeradora.
Resistência do dissipador (RD)
Representa o passo por convecção ao ar do fluxo calorífico atraves do elemento dissipador. Este dado será, na prática, a incógnita principal do nosso problema, de acordo com o valor que nos de o calculo, assim será o tipo de aleta a implementar.
Depende de muitos fatores: potência a dissipar, condições da superfície, posição da montagem e em o caso de dissipadores planos fatores como o tipo de encapsulamento. Para o calculo da resistência se podem utilizar as seguintes fórmulas:

Este valor de R
JA não é o que da o fabricante já que este o fornece sem o dissipador, e o que vai se utilizar é com o dissipador. O fabricante fornece os valores de R
JC e R
CA ja que estes ignoram o tipo de dissipador que utilizaremos.
Uma vez calculada a R
D se passa a escolher a aleta refrigeradora. Para a selecão da aleta, deve ser levado em conta o tipo de encapsulamento do dispositivo a refrigerar, se é o adequado para sua montagem na aleta dissipadora que se havia escolhido.
Depois de cumprir a condicão anterior deve-se calcular a longitude o a superfície do dissipador escolhido. Para isso é necessário dispor de um dos dois tipos de gráficos que oferecem os fabricantes de dissipadores, a R
D - longitude e a R
D - superfície.
De acordo com o gráfico disponível se obterá um valor de longitude e um valor de superfície do dissipador que será usado para refrigerar adequadamente o dispositivo semicondutor.
Resistência Junção - Ambiente ( RJA )
 |
Como seu nome indica é a resistência que existe entre a junção do semicondutor e o ambiente. Com esta resistência deveremos distinguir os casos, o de resistência junção ambiente com dissipador e sem dissipador. Quando se fala de resistência junção ambiente sem dissipador, nos referimos a resistência junção encapsulamento junto com a encapsulamento ambiente:
(fig. b)
Este valor é dado pelo fabricante em função do tipo de encapsulamento.
Quando se fala da resistência junção ambiente com dissipador nos referimos a soma da resistência junção encapsulamento (RJC), a resistência encapsulamento dissipador (RCD) e a resistência dissipador ambiente (RD):
(fig. a)
Este valor não é conhecido já que varia de acordo com o tipo de dissipador que se utilize. O valor de RJA dependerá dos valores de RD e de RCD. Como não é um valor fixo, não existe uma tabela de valores típicos.
|
Temperaturas
Temperatura da junção ( TJ )
A temperatura máxima da junção é o limite superior de temperatura a que não se deve chegar e muito menos ultrapassar se queremos evitar a destruição da junção. Este valor normalmente é fornecido nos manuais dos fabricantes de semicondutores.
Caso este valor não seja mencionado em manuais ou, simplesmente, não se encontrem lá, podemos adotar alguns valores típicos em função do dispositivo a refrigerar como os mostrados na tabela que é mostrada a seguir:
| Dispositivo | Faixa de Tjmáx |
| de junção de Germanio | Entre 100 e 125 ºC |
| de junção de Silício | Entre 150 e 200 ºC |
| JFET | Entre 150 e 175 ºC |
| MOSFET | Entre 175 e 200 ºC |
| Tiristores | Entre 100 e 125 ºC |
| Transistores unijunção | Entre 100 e 125 ºC |
| Diodos de Silício | Entre 150 e 200 ºC |
| Diodos zener | Entre 150 e 175 ºC |
Em algums casos, em lugar da temperatura da junção é fornecido o "OPERATING TEMPERATURE RANGE" que é o faixa de valores entre os quais pode funcionar o semicondutor, mas que não tem reação com a temperatura da junção. Se deve distinguir entre a temperatura máxima da junção permitida para um dispositivo e a temperatura real da junção a que se pretende que trabalhar com o dispositivo que, logicamente, sempre será menor que a máxima permitida. O objetivo do projeto será manter a temperatura da junção abaixo da máxima. Para isso se utiliza um coeficiente ( K ) de seguridade cujo valor dará uma temperatura da junção compreendida entre o 50% e o 70% da máxima. Por o tanto k estará compreendido entre 0,5 e 0,7. Nós asseguramos o valor de acordo com o margem de seguridade que queremos que tenha o dispositivo. A temperatura da junção que se utilizará nos cálculos será:
TJ= TJmáx x k
As condições de funcionamento em função de k serão:
Para valores de k=0,5
Dispositivo pouco quente. Máxima margem de seguridade, mas o tamanho da aleta refrigeradora será maior.
Para valores de k=0,6
Dimensão menor da aleta refrigeradora sem que o dispositivo esquente demasiadamente.
Para valores de k=0,7
Máximo risco para o dispositivo, máxima economia no tamanho da aleta refrigeradora. Este coeficiente de seguridade exige que a aleta se situe na parte exterior do equipamento.
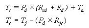
Temperatura do Encapsulamento (TC)
Este dado não é fornecido nos manuais ja que depende do valor da potência que dissipa o dispositivo, da resistência do dissipador e da temperatura ambiente.
Portanto só podemos calcular quando conhecemos todos os dados referidos nas seguintes expressões:
Temperatura do dissipador (TD)
Este valor se obtem apartir da potência disipada P
D, da resistência térmica da aleta R
D e finalmente da temperatura ambiente T
A. Se calculará com qualquer a destas expressões:

A temperatura obtida será sempre inferior a temperatura da encapsulamento esta será o suficientemente alta na maioria de os casos para não poder tocar o dissipador com as mãos.
Isto não é motivo de preocupação já que temos tomado as medidas necessárias para que a temperatura da junção disponha de um margem de seguridade dentro das margens já explicadas.
Pode suceder que a temperatura da aleta seja bastante elevada, tanto que se tocar com um dedo notaríamos que queima. Mas em todo momento a temperatura da junção estará dentro da margem dos limites permitidos. Não estando satisfeito, se quiser diminuir esta temperatura, só é necessário calcular de novo a resistência térmica R
D da aleta, colocando desta vez 0,5 como fator ( k ) necessário para determinar T
J. Isto levará a adaptar uma aleta maior, mas tanto a T
C, como a T
D diminuirá como se desejava.
Temperatura ambiente (TA)
Na interpretação de este dado pode haver alguma confusão ja que se pode tomar seu valor como a temperatura do meio ambiente quando na realidade é a temperatura existente no entorno do local onde está fixado o dissipador.
Potência dissipada
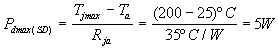
A potência máxima é um dado que nos dará o fabricante. Este dado é para as melhores condições de
funcionamento do dispositivo, é dizer, para uma temperatura do encapsulamento de 25 ºC e um dissipador
adequado. Por exemplo, se de um determinado transistor nos diz o fabricante que pode dissipar um máximo
de 116 W, a primera vista se pode pensar que dissipando 90 W no se corre nenhum risco visto que esta
temperatura respeita ao valor máximo e não se necessita dissipador. Se conhecermos a temperatura da
junção é de 200 ºC e R
JA de 35 ªC/W temos:

Esta é a máxima potência dissipavel sem dissipador. Se pode ver que este valor é muito mais baixo do que o
indicado pelo fabricante. Se consideramos uma aleta com uma boa resistência térmica como uma de:
0,6 ºC/W e uma resistência térmica encapsulamento - dissipador R
CD e junção -
encapsulamento R
JC de 0,12 ºC/W e de 1,5 ºC/W respetivamente, ambos valores tambem bastante
adequados, teremos:

Se quisermos dissipar 90 W como pretendíamos se destruíra a junção. Como se pode observar a potência
obtida é superior a dissipavel sem dissipador e inferior a que nos fornece o fabricante. Isso acontece porque
o fabricante calculou a Pdmáx mantendo a temperatura do encapsulamento a 25 ºC, coisa que na prática é
impossível:

Como havia dito este dado de 116 W é para as melhores condições de funcionamento e o fabricante deve
indicar em quais se realizou essa medida.
Resumindo, é importante saber interpretar adequadamente os dados fornecido pelo fabricante, caso contrario
podem aparecer surpresas desagradáveis.
Sabemos que a máxima potência que se pode fazer dissipar a um semicondutor sem dissipador vem dada
pelo coeficiente entre o incremento da temperatura e a resistência térmica junção ambiente:

Onde R
JA é nos fornecida pelo fabricante o que não inclui R
D.
Quando se utiliza um dissipador, a resistência térmica se divide em três Parâmetros: a resistência entre a
junção e o encapsulamento (R
JC), entre o encapsulamento e o dissipador (R
CD)
e entre o dissipador e o ambiente (R
D):