FUENTE DE ALIMENTACIÓN ESTABILIZADA Y CORTOCIRCUITABLE
Ejemplo practico de diseño
OBJETIVOS:
Cálculo y análisis de las fuentes de alimentación estabilizadas y protegidas frente a sobrecargas y cortocircuitos con circuitos integrados.
CONOCIMIENTOS PREVIOS:
Esta fuente de alimentación está compuesta por un regulador de tensión ( 723 ). Este regulador está diseñado específicamente para trabajar como regulador serie, por sí mismo es capaz de proporcionar corrientes de salida hasta 150 mA, aunque mediante transistores externos puede llegarse hasta los 10 A.
El 723 está formado internamente por una fuente de tensión de referencia V ref, un amplificador de error, destinado al ajuste de la tensión de salida, una etapa Darlington de salida T2, y un transistor limitador de corriente T1.
Sus características principales son:
| Tensión de entrada | 40V máx. |
| Tensión de salida ajustable desde | 2 a 37V |
| Corriente máxima de salida | 150 mA |
| Corriente por Vref | 15 mA máx. |


Diseño de la placa:

MATERIALES NECESARIOS:
Equipo de aparatos del laboratorio de Electrónica y componentes especificados.
PRACTICAS PROPUESTAS:
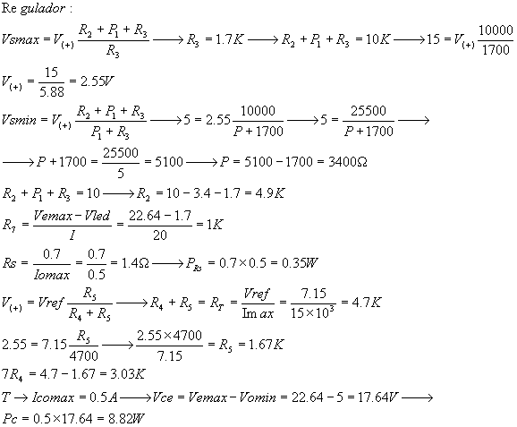
1.- Calcular los componentes del circuito de la fuente de alimentación para una tensión de salida de 5 V a 15V y una corriente máxima de 0.5A.


2.-Ajustar una tensión de salida de 7.5V. Verificar que tanto en vacio como con varias cargas, la tensión de salida permanece constante. Efectuar tamvién medidas en todos los puntos del circuito según la siguiente tabla.
| Punto medida | A-B | C | D | E | F | G | H | I | Riz.C | Riz.F |
| En vacio | 19.7 | 25.6 | 8 | 7.6 | 7.5 | 2.1 | 2.1 | 9.2 | 0.18Vpp | 3mVpp |
| RL1 = 390W | 19.6 | 25.3 | 8.3 | 7.8 | 7.8 | 2.1 | 2.1 | 9.5 | 0.25Vpp | 3.5mV |
| RL2 = 100W | 19 | 24.1 | 8.4 | 7.8 | 7.7 | 2.1 | 2.1 | 9.6 | 0.5Vpp | 4mVpp |
| RL3 = 47W | 18.8 | 23.4 | 8.6 | 7.8 | 7.8 | 2.1 | 2.1 | 9.8 | 1Vpp | 4mVpp |
3.- Comprobar que la corriente máxima suministrada por la fuente debido a la limitación es aproximadamente la que hemos calculado anteriormente.
Imáx = 0.51A
4.- Ajustar la tensión de salida máxima ( P1 a tope ) y conectar diferentes cargas. Hacer medidas de nuevo y anotarlas también en la tabla siguiente.
| Puntos medida | C | D | E | F | G | H | I | Riz.C | Riz.F |
| RL1 = 390W | 24.9 | 15.47 | 14.91 | 14.88 | 2.1 | 2.1 | 16.6 | 0.25Vpp | 1.2mVpp |
| RL2 = 100W | 25.5 | 15.6 | 15 | 14.8 | 2.1 | 2.1 | 16.8 | 0.55Vpp | 2mVpp |
| RL3 = 47W | 22.7 | 17.2 | 16.7 | 14.9 | 2.1 | 2.1 | 18.6 | 1Vpp | 3.8mVpp |
5.- Calcular el valor que tendría que tomar la resistencia Rs para que el consumo máximo que pudiésemos obtener de la F.A. sin que funcione la protección fuese de 1 A.
![]()
6.- Calcular , por último, el fusible que pondríamos en el primario del transformador si la fuente se montase para un funcionamiento real y contínuo.
![]()
CONCLUSIONES:
Al conectar una carga de valor óhmico muy bajo la fuente se viene a bajo disminuyendo la tensión y la tensión de rizado aumenta.